Contido non dispoñible en galego

Está Vd. en

Documento BOE-A-1981-23562

Orden de 17 de septiembre de 1981 por la que se establecen métodos oficiales de análisis de aceites y grasas, aguas, carnes y productos cárnicos, fertilizantes, productos fitosanitarios, leche y productos lácteos, piensos y sus primeras materias, productos orgánicos fertilizantes, plantas, suelos, productos derivados de la uva y similares y toma de muestras.

Publicado en:
«BOE» núm. 246, de 14 de octubre de 1981, páginas 24003 a 24034 (32 págs.)
Sección:
I. Disposiciones generales
Departamento:
Presidencia del Gobierno
Referencia:
BOE-A-1981-23562
Permalink ELI:
https://www.boe.es/eli/es/o/1981/09/17/(3)

TEXTO ORIGINAL

Excelentísimos señores:

De conformidad con lo establecido en las Ordenes ministeriales de 30 de noviembre de 1976 («Boletín Oficial del Estado» de 4 de enero de 1977), 31 de enero de 1977 («Boletín Oficial del Estado» de 14 a 27 de julio) y 31 de julio do 1979 («Boletín Oficial del Estado» de 20 y 30 de agosto), por las que se declaraban como oficiales diversos métodos de análisis, se ha continuado ensayando y poniendo a punto nuevos métodos, no sólo de las materias comprendidas en las citadas Ordenes, sino de otras nuevas donde existe necesidad urgente de disponer de métodos de análisis para el control de determinados parámetros analíticos.

En su virtud, y a propuesta de los Ministros de Agricultura y Pesca, de Hacienda, de Administración Territorial, de Defensa, de Trabajo, Sanidad y Seguridad Social, de Industria y Energía, de Economía y Comercio, de Educación y Ciencia, de Obras Públicas y Urbanismo, esta Presidencia del Gobierno dispone:

Primero.

Se aprueban como oficiales los métodos de análisis de aceites y grasas, aguas, carne y productos cárnicos, fertilizantes, productos fitosanitarios, leche y productos lácteos, piensos y sus primeras materias, productos orgánicos fertilizantes, plantas, suelos, productos derivados de la uva y similares y toma de muestras que se citan respectivamente en los anejos I al XII.

Segundo.

Cuando no existan métodos oficiales para determinados análisis, y hasta que sean estudiados por el grupo de trabajo correspondiente, podrán ser utilizados los adoptados por Organismos nacionales o internacionales de reconocida solvencia.

Tercero.

Quedan derogadas las disposiciones de igual o inferior rango que se opongan a la presente Orden.

Cuarto.

La presente disposición entrará en vigor a los treinta días de su publicación en el «Boletín Oficial del Estado».

Lo que se comunica a VV. EE. para su conocimiento y efectos.

Dios guarde a VV. EE.

Madrid, 17 de septiembre de 1981.

RODRIGUEZ INCIARTE

Excmos. Sres. Ministros de Agricultura y Pesca, Hacienda, Administración Territorial, Industria y Energía, Obras Públicas y Urbanismo, Defensa, Trabajo, Sanidad y Seguridad Social, Economía y Comercio y de Educación y Ciencia.

INDICE DE ANEJOS

Anejo I. Aceites y grasas

35. Prueba de Vizern.

43. Reconocimiento de ésteres no glicéridos en grasas comestibles por cromatografía en capa fina.

49. Acidos docosenoicos.

Anejo II. Aguas

14. Flúor.

15 (a). Boro (curcumina).

16. Mercurio.

Anejo III. Carne y productos cárnicos

16. Tiuracilos.

Anejo IV. Fertilizantes

6 (a). Nitrógeno total (método de Kjeldahl, modificado para muestras que no contengan nitratos).

6 (c). Nitrógeno total.

7 (a). Nitrógeno amoniacal (método del óxido de magnesio).

7 (b). Nitrógeno amoniacal (método del formaldehído).

8. Nitrógeno amoniacal y nítrico conjuntamente (método de Devarda).

Anejo V. Fitosanitarios

4 (a). Dimetoato (por ultravioleta).

4 (b). Dimetoato (por infrarrojo).

14. Cobre total (por iodometría).

Anejo VI. Leche

19. Sustancias proteicas reductoras.

Anejo VII. Piensos

13. Nitrógeno amoniacal.

14. Carbonatos

15. Aflatoxina B1.

Anejo VIII. Productos orgánicos fertilizantes

1. Preparación de la muestra.

2. Humedad (pérdida de peso a 105° C).

3 (b). Materia orgánica total (por oxidación).

5. Cenizas.

13. Fósforo total.

16. Potasio soluble en agua (por fotometría de llama).

Anejo IX. Plantas

1. Preparación de la muestra.

2. Nitrógeno.

Anejo X. Suelos

9. Capacidad de cambio catiónico.

11. Acidez valorable de los suelos.

14. Sodio por fotometría de llama.

Anejo XII. Vinos

3 (a). Color.

51. Presión del anhídrido carbónico.

52. Antisépticos y antifermentos (método microbiológico).

Vinagre

17. Acido acético de síntesis.

Alcoholes

2. Bases nitrogenadas.

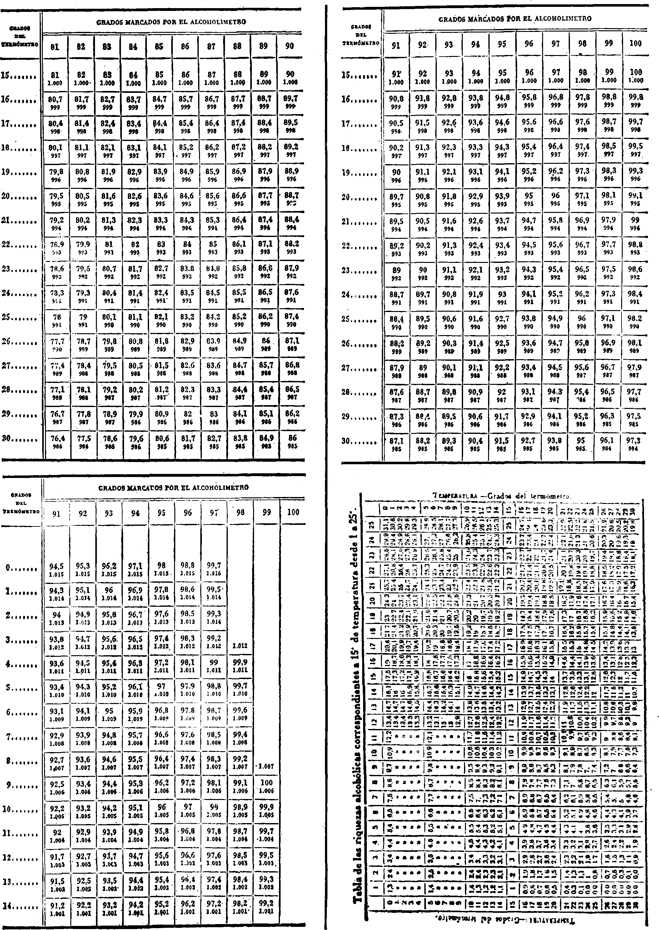
3. Grado alcohólico (método areométrico).

Anejo XII. Toma de muestras

Toma de muestras de suelos.

Anejo A. Toma de muestras de fertilidad.

Anejo B. Toma de muestras para prospecciones edafológicas.

Anejo C. Toma de muestras de suelos afectados por salinidad.

Imagen: /datos/imagenes/disp/1981/246/23562_16589883_image1.png

Imagen: /datos/imagenes/disp/1981/246/23562_16589883_image2.png

Imagen: /datos/imagenes/disp/1981/246/23562_16589883_image3.png

Imagen: /datos/imagenes/disp/1981/246/23562_16589883_image4.png

Imagen: /datos/imagenes/disp/1981/246/23562_16589883_image5.png

Imagen: /datos/imagenes/disp/1981/246/23562_16589883_image6.png

Imagen: /datos/imagenes/disp/1981/246/23562_16589883_image7.png

Imagen: /datos/imagenes/disp/1981/246/23562_16589883_image8.png

Imagen: /datos/imagenes/disp/1981/246/23562_16589883_image9.png

Imagen: /datos/imagenes/disp/1981/246/23562_16589883_image10.png

Imagen: /datos/imagenes/disp/1981/246/23562_16589883_image11.png

Imagen: /datos/imagenes/disp/1981/246/23562_16589883_image12.png

Imagen: /datos/imagenes/disp/1981/246/23562_16589883_image13.png

Imagen: /datos/imagenes/disp/1981/246/23562_16589883_image14.png

Imagen: /datos/imagenes/disp/1981/246/23562_16589883_image15.png

Imagen: /datos/imagenes/disp/1981/246/23562_16589883_image16.png

Imagen: /datos/imagenes/disp/1981/246/23562_16589883_image17.png

Imagen: /datos/imagenes/disp/1981/246/23562_16589883_image18.png

Imagen: /datos/imagenes/disp/1981/246/23562_16589883_image19.png

Imagen: /datos/imagenes/disp/1981/246/23562_16589883_image20.png

Imagen: /datos/imagenes/disp/1981/246/23562_16589883_image21.png

Imagen: /datos/imagenes/disp/1981/246/23562_16589883_image22.png

Imagen: /datos/imagenes/disp/1981/246/23562_16589883_image23.png

Imagen: /datos/imagenes/disp/1981/246/23562_16589883_image24.png

Imagen: /datos/imagenes/disp/1981/246/23562_16589883_image25.png

Imagen: /datos/imagenes/disp/1981/246/23562_16589883_image26.png

Imagen: /datos/imagenes/disp/1981/246/23562_16589883_image27.png

Imagen: /datos/imagenes/disp/1981/246/23562_16589883_image28.png

Imagen: /datos/imagenes/disp/1981/246/23562_16589883_image29.png

Imagen: /datos/imagenes/disp/1981/246/23562_16589883_image30.png

Imagen: /datos/imagenes/disp/1981/246/23562_16589883_image31.png

ANÁLISIS

  • Rango: Orden
  • Fecha de disposición: 17/09/1981
  • Fecha de publicación: 14/10/1981
  • Entrada en vigor: a los 30 días desde el 14 de octubre de 1981.
Referencias posteriores

Criterio de ordenación:

  • SE DEROGA lo indicado , por Real Decreto 971/2014, de 21 de noviembre (Ref. BOE-A-2014-12561).
  • SE DICTA EN RELACIÓN:
    • aprobando Metodos oficiales de Analisis de Leche y productos Lacteos: Real Decreto 1533/1991, de 18 de octubre (Ref. BOE-A-1991-26241).
    • aprobando Métodos de Análisis de productos Orgánicos Fertilizantes: Real Decreto 1110/1991, de 12 de julio (Ref. BOE-A-1991-18408).
  • SE DEROGA:
    • determinados métodos de análisis, por Orden de 18 de julio de 1989 (Ref. BOE-A-1989-17510).
    • determinados Métodos de Análisis, por Orden de 23 de mayo de 1989 (Ref. BOE-A-1989-12209).
    • determinados métodos de análisis, por Orden de 26 de enero de 1989 (Ref. BOE-A-1989-2695).
    • lo indicado del anexo II, por Orden de 1 de julio de 1987 (Ref. BOE-A-1987-15871).
Referencias anteriores
Materias
  • Abonos
  • Aceites vegetales
  • Agricultura
  • Aguas
  • Alcoholes
  • Análisis
  • Carnes
  • Grasas
  • Leche
  • Piensos
  • Plantas
  • Productos fitosanitarios
  • Productos lácteos
  • Vinagres
  • Vinos

subir

Axencia Estatal Boletín Oficial do Estado

Avda. de Manoteras, 54 - 28050 Madrid