Content not available in English
1
Como instrumento básico de la política económica que desarrolla la Comunidad Autónoma, los presupuestos del año 2001 habrán de contribuir a la continuidad del proceso de convergencia entre Galicia y los restantes países europeos.
Esa orientación, que desde una perspectiva macroeconómica hará necesario conseguir crecimientos medios superiores a los de la economía española –mayores a su vez que los de la europea–, que vayan acompañados de creación de empleo y que resulten compatibles con el mantenimiento de tasas de inflación y de productividad que no pongan en riesgo la capacidad competitiva del sistema, se traslada desde un punto de vista presupuestario hacia el seguimiento de líneas de actuación y el cumplimiento de objetivos concretos, dirigidos a la supresión del déficit, la formación de capital y la consolidación, y en algunos casos al refuerzo de políticas redistributivas y de producción de servicios básicos.
2
Como punto de partida, los presupuestos ofrecen una situación que culmina el proceso de reducción del déficit iniciado en años anteriores en el marco de los compromisos adquiridos para la implantación de políticas de estabilidad preconizadas por la Unión Europea. Como consecuencia de esa relación de equilibrio, la deuda de la Comunidad Autónoma detendrá en el actual ejercicio su crecimiento.
Por otra parte, la supresión del déficit descansa cualitativamente sobre el esfuerzo de contención del gasto corriente, principalmente el vinculado a la actividad más estrictamente administrativa, ya que los programas de gasto social, sobre todo en educación y en sanidad, mantienen como mínimo, cuando no incrementan, los apreciables niveles de cobertura existentes hasta el momento.
El decisivo papel que la formación de capital puede desempeñar dentro de un proceso de expansión económica plantea la necesidad de reforzar la inversión pública. En ese sentido, los gastos de capital reciben un impulso considerable, que ante una situación de ausencia de déficit sólo resulta posible si va acompañado, como en este caso, por el crecimiento paralelo del ahorro presupuestario.
Los sectores que en mayor medida pueden contribuir a la expansión de la actividad económica, la elevación de la renta y la creación de empleo son precisamente los que canalizarán la mayor parte de esas inversiones, utilizando como referencia las propuestas del Plan estratégico de desarrollo económico de Galicia, para el período 2000-2006.
3
En lo que respecta al texto articulado, junto a las disposiciones que en anteriores ejercicios demostraron su utilidad en la ordenación de la actividad económico-financiera desarrollada a través de los presupuestos, y que por esa razón se mantienen, figuran otras que aparecen recogidas por primera vez. Entre estas últimas pueden ser destacadas las siguientes:
Dentro del título I, para que no resulte afectada la capacidad de respuesta del Servicio Gallego de Salud en situaciones concretas, y para favorecer una gestión más adecuada de los fondos finalistas correspondientes a competencias asumidas por la Comunidad Autónoma en el ámbito de las políticas activas de empleo, se establecen excepciones singulares a las limitaciones existentes en materia de transferencias de crédito.
En el título II, además del incremento de las retribuciones del personal que presta sus servicios en el sector público de la Comunidad Autónoma, que se actualiza con arreglo a la previsión de evolución del índice de precios al consumo (IPC), se establece el número máximo de mensualidades que podrán alcanzar las indemnizaciones que en su caso se establezcan en los supuestos de extinción anticipada de relación laboral del personal de alta dirección. Por otra parte, se contempla un tratamiento singularizado, respecto al del restante personal de carácter temporal, para la imputación del gasto derivado de la contratación de personal sometido a la regulación especial de la relación laboral de artistas en espectáculos públicos, así como de la contratación de personal eventual dedicado a tareas de extinción de incendios forestales.
Como confirmación del equilibrio inicial que se desprende de los estados numéricos del presupuesto entre los ingresos procedentes de operaciones de crédito y los gastos derivados de las amortizaciones de deuda, en el título III de la ley se establece que la posición neta deudora de la Comunidad Autónoma tampoco podrá experimentar variación al final del ejercicio.
De esa forma se incorpora a una norma jurídica de mayor rango la decisión de detener el crecimiento del endeudamiento.
En lo que respecta a las normas tributarias, en el título IV se dispone la actualización con carácter general de los tipos de las tasas de cuantía fijas establecidos en el Decreto Legislativo 1/1992, además de la modificación singularizada de algunas de las mismas.
Dentro del título V, referente a la gestión presupuestaria, y con arreglo a la modificación introducida por la Ley de medidas fiscales y de régimen presupuestario y administrativo, en el artículo 97 del texto refundido de la Ley de régimen financiero y presupuestario de Galicia, que remite a la Ley de presupuestos de cada ejercicio la determinación del importe de los gastos de obras y de adquisición de bienes y servicios no sometidos a intervención previa, se establece esa cuantía para el año 2001 en 1.100.000 pesetas, por tanto se deja invariable el importe que en un sentido equivalente se aplicaba en el ejercicio anterior.
También en esta misma parte del articulado se establece que la fiscalización de nombramientos o contratos para sustituciones de personal por razones de necesidad y urgencia se habrá de realizar con carácter previo al alta en nómina, determinándose el sistema de garantías que se habrá de seguir en el procedimiento de control subsiguiente.
El tratamiento que ha de darse a los créditos destinados al pago de expropiaciones que no hubiesen llegado a ser abonadas dentro de un ejercicio, para garantizar la generación de crédito con la misma finalidad en el año siguiente, y la modificación de algunos aspectos, que se demostraron perfectibles, recogidos en la Ley de presupuestos del año 2000, referentes a las modalidades de pago y las garantías exigibles en materia de ayudas y subvenciones, son otros temas abordados dentro del título de la gestión presupuestaria, que se completa con la autorización al Consello de la Xunta para establecer, en función de los acuerdos que puedan alcanzarse por representaciones sindicales y patronales, los módulos económicos de distribución de fondos públicos para el sostenimiento de centros concertados.
Finalmente, y dentro de las disposiciones adicionales, parece oportuno mencionar el incremento experimentado por la cuantía del complemento variable de la renta de integración social, siguiendo la línea de años anteriores.
Por todo lo expuesto, el Parlamento de Galicia y yo, de conformidad con el artículo 13.2 del Estatuto de Galicia y con el artículo 24 de la Ley 1/1983, de 23 de febrero, reguladora de la Xunta y de su Presidente, promulgo en nombre del Rey la Ley de presupuestos generales de la Comunidad Autónoma de Galicia para 2001.
El Parlamento de Galicia aprueba los presupuestos generales de la Comunidad Autónoma para el año 2001, en los que se integran:
a) Los presupuestos de la Administración general y los de los organismos autónomos.
b) Los presupuestos de explotación y capital de las sociedades públicas de carácter mercantil.
c) Los presupuestos de los demás entes públicos a que se refiere el artículo 12 del texto refundido de la Ley de régimen financiero y presupuestario de Galicia, aprobado por Decreto legislativo 1/1999, de 7 de octubre.
Uno. En los estados de gastos consolidados de los presupuestos de la Administración general de la Comunidad Autónoma y de sus organismos autónomos se consignan créditos por importe de 1.124.526.155.000 pesetas, distribuidas de la forma siguiente:
(Miles de pesetas)
| Organismo | Cap. I-VII Gastos no financieros | Cap. VIII Activos financieros | Cap. IX Pasivos financieros | Total | 
|---|---|---|---|---|
| Administración general. | 676.545.297 | 12.074.445 | 35.860.000 | 724.479.742 | 
| OO.AA. administrativos. | 361.150.717 | 104.000 | – | 361.254.717 | 
| OO.AA. comerciales, industriales y financieros. | 38.486.696 | 305.000 | – | 38.791.696 | 
| Total. | 1.076.182.710 | 12.483.445 | 35.860.000 | 1.124.526.155 | 
Las transferencias internas entre los presupuestos de la Administración general de la Comunidad Autónoma y los de los organismos autónomos representan 47.671.873.000 pesetas, distribuidas según el siguiente detalle:
(Miles de pesetas)
| Origen | Destino | |||
|---|---|---|---|---|
| Administración general | OO.AA. administrativos | OO.AA. comerciales, industriales y financieros | Total | |
| Administración general. | – | 21.756.177 | 25.915.696 | 47.671.873 | 
| Total. | – | 21.756.177 | 25.915.696 | 47.671.873 | 
Dos. La desagregación de los créditos con arreglo a la finalidad a que van destinados se establece de esta forma:
| Funciones | (Miles de ptas.) | |
|---|---|---|
| 11 | Alta dirección de la Comunidad Autónoma. | 5.082.566 | 
| 12 | Administración general. | 19.486.294 | 
| 13 | Administración electoral y partidos políticos. | 1.334.700 | 
| 21 | Seguridad Social y protección social. | 40.135.913 | 
| 23 | Protección civil y seguridad. | 1.735.619 | 
| 24 | Promoción del empleo. | 29.815.148 | 
| 31 | Sanidad. | 354.561.416 | 
| 32 | Educación. | 252.600.807 | 
| 33 | Vivienda y urbanismo. | 25.242.240 | 
| 34 | Bienestar comunitario. | 18.597.923 | 
| 35 | Cultura. | 27.018.919 | 
| 36 | Otros servicios comunitarios y sociales. | 12.462.839 | 
| 41 | Infraestructura básica y del transporte. | 35.573.855 | 
| 42 | Otras infraestructuras. | 17.210.775 | 
| 43 | Investigación científica, técnica y aplicada. | 8.081.342 | 
| 44 | Información estadística básica. | 916.046 | 
| 51 | Actuaciones económicas generales. | 11.379.802 | 
| 52 | Comercio. | 3.421.596 | 
| 53 | Actividades financieras. | 6.140.450 | 
| 61 | Agricultura, ganadería, silvicultura y pesca. | 30.394.204 | 
| 62 | Industria. | 1.431.500 | 
| 63 | Energía. | 3.456.220 | 
| 64 | Minería. | 265.808 | 
| 65 | Turismo. | 492.686 | 
| 66 | Industrialización y reordenación industrial. | 12.248.130 | 
| 67 | Desarrollo empresarial. | 75.000 | 
| 71 | Complejo agroganadero. | 15.933.712 | 
| 72 | Complejo mar-industria. | 15.685.945 | 
| 73 | Complejo silvicultura-madera. | 2.750.000 | 
| 74 | Actividades prioritarias del sector industrial. | 2.327.000 | 
| 75 | Complejo turístico, logística y servicios a empresas. | 6.693.742 | 
| 81 | Transferencias a entidades locales. | 96.034.900 | 
| 91 | Deuda pública. | 65.939.058 | 
| Total. | 1.121.526.155 | 
Tres. La distribución orgánica y económica del presupuesto consolidado es como sigue:
(Miles de pesetas)
| Capítulos | I | II | III | IV | VI | VII | VIII | IX | Total | 
|---|---|---|---|---|---|---|---|---|---|
| Parlamento. | 1.100.060 | 645.295 | 219.800 | 708.200 | 6.500 | 17.000 | 2.696.855 | ||
| Consejo de Cuentas. | 495.917 | 154.424 | 660 | 87.500 | 8.000 | 746.501 | |||
| Consejo de la Cultura Gallega. | 72.388 | 160.225 | 32.000 | 34.000 | 298.613 | ||||
| Presidencia y Administración Pública. | 4.204.025 | 3.830.972 | 1.524 | 3.909.402 | 3.715.287 | 4.239.913 | 6.000 | 19.907.123 | |
| Economía y Hacienda. | 3.353.184 | 620.495 | 65 | 2.290.430 | 2.218.150 | 14.632.446 | 633.100 | 23.747.870 | |
| Política Territorial, O.P. y Vivienda. | 3.219.975 | 358.626 | 1.846.700 | 20.736.695 | 27.420.502 | 53.582.498 | |||
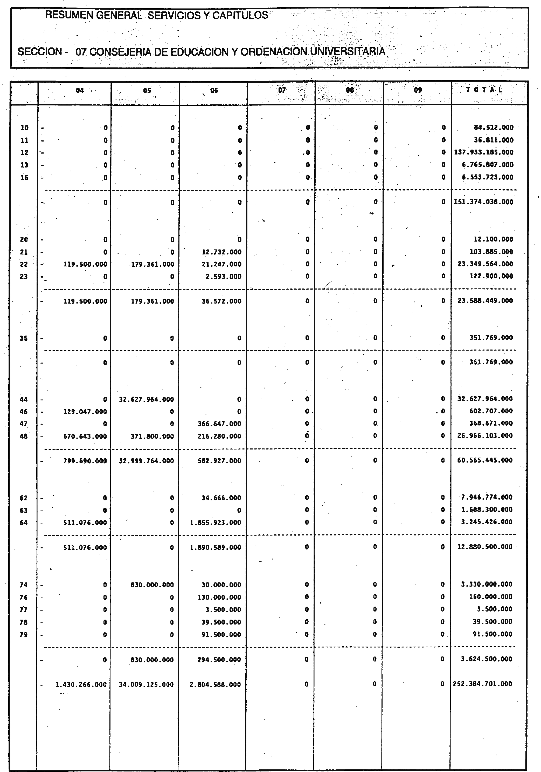
| Educación y Ordenación Universitaria. | 151.374.038 | 23.588.449 | 351.769 | 60.565.445 | 12.880.500 | 3.624.500 | 252.384.701 | ||
| Industria y Comercio. | 1.387.569 | 179.254 | 1.676.665 | 1.719.160 | 12.312.065 | 959.345 | 18.234.058 | ||
| Agricultura, Ganadería y Política Agroalimentaria. | 6.185.445 | 512.569 | 1.038.083 | 10.951.411 | 24.948.487 | 43.635.995 | |||
| Cultura, Comunicación Social y Turismo. | 2.939.188 | 807.900 | 4.862.014 | 6.385.778 | 9.874.222 | 9.651.000 | 34.520.102 | ||
| Sanidad y Servicios Sociales. | 12.232.467 | 6.306.407 | 18.074.162 | 3.729.455 | 3.284.545 | 43.627.036 | |||
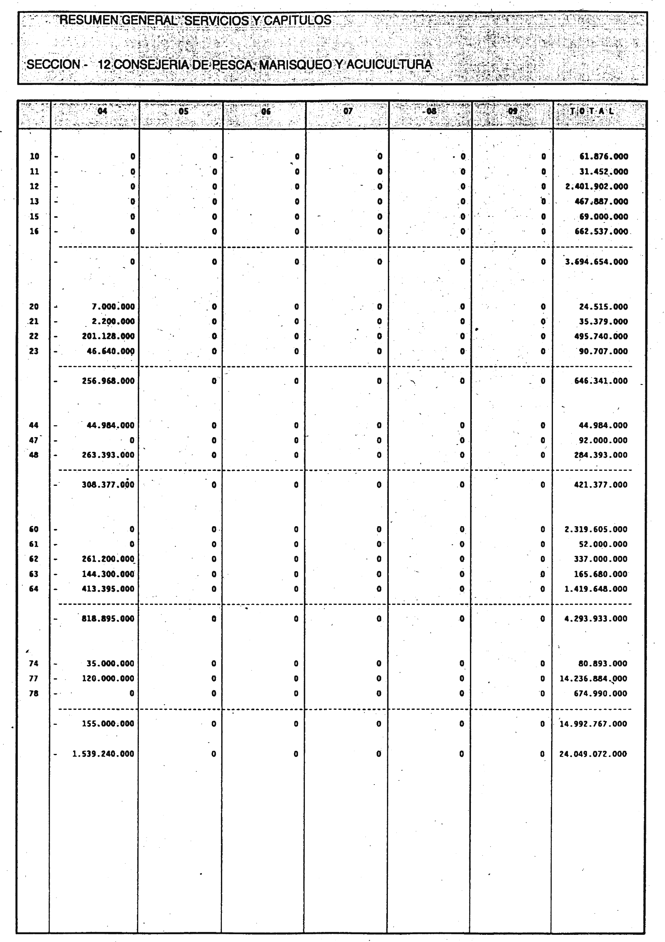
| Pesca, Marisqueo y Acuicultura. | 3.694.654 | 646.341 | 421.377 | 4.293.933 | 14.992.767 | 24.049.072 | |||
| Justicia, Interior y Relaciones Laborales. | 8.415.190 | 2.167.199 | 2.018.780 | 2.225.000 | 1.375.000 | 16.201.169 | |||
| Familia y Prom. del Empleo, Mujer y Juventud. | 7.865.886 | 4.748.469 | 28.190.436 | 1.290.000 | 860.000 | 42.954.791 | |||
| Medio Ambiente. | 8.126.411 | 369.324 | 30.300 | 11.957.180 | 7.221.132 | 600.000 | 28.304.347 | ||
| Consejo Consultivo de Galicia. | 198.400 | 38.759 | 19.000 | 256.159 | |||||
| Transferencias a CC. LL. | 91.300.000 | 91.300.000 | |||||||
| Deuda pública. | 30.079.058 | 35.860.000 | 65.939.058 | ||||||
| Gastos diversas Consellerías. | 2.625.000 | 1.389.519 | 400.000 | 4.151.148 | 1.000.000 | 200.000 | 9.765.667 | ||
| Total Administración General. | 217.489.797 | 46.524.227 | 30.432.416 | 216.876.254 | 87.102.397 | 125.792.079 | 12.074.445 | 35.860.000 | 772.151.615 | 
| Escuela Gallega de Administracion Pública. | 121.792 | 276.505 | 21.155 | 10.140 | 429.592 | ||||
| Instituto Gallego de Estadística. | 355.183 | 53.958 | 6.100 | 237.756 | 140.022 | 793.019 | |||
| Aguas de Galicia. | 640.451 | 148.416 | 175.000 | 10.500.000 | 500.000 | 11.963.867 | |||
| Instituto Gallego de Consumo. | 445.756 | 46.409 | 101.000 | 173.580 | 766.745 | ||||
| Servicio Gallego de Salud. | 146.854.000 | 92.499.815 | 82.122.058 | 21.132.000 | 185.000 | 104.000 | 345.896.873 | ||
| Academia Gallega de Seguridad. | 96.871 | 177.750 | 274.621 | ||||||
| Segapihom. | 96.913 | 65.762 | 967.325 | 1.130.000 | |||||
| Instituto Gallego de la Vivienda y Suelo. | 970.942 | 297.898 | 246.058 | 11.093.045 | 9.084.647 | 305.000 | 21.997.590 | ||
| Instituto Lácteo y Ganadero de Galicia. | 628.402 | 121.491 | 30.000 | 455.000 | 14.651.319 | 15.886.212 | |||
| Instituto Gallego de Artes Escénicas y Musicales. | 214.813 | 103.561 | 29.520 | 560.000 | 907.894 | ||||
| Total OO.AA. | 150.425.123 | 93.791.565 | 246.058 | 86.452.158 | 44.161.521 | 24.560.988 | 409.000 | 400.046.413 | |
| Total presupuesto bruto. | 367.914.920 | 140.315.792 | 30.678.474 | 303.328.412 | 131.263.918 | 150.353.067 | 12.483.445 | 35.860.000 | 1.172.198.028 | 
| Total transferencias internas. | 10.925.966 | 36.745.907 | 47.671.873 | ||||||
| Total presupuesto consolidado. | 367.914.920 | 140.315.792 | 30.678.474 | 292.402.446 | 131.263.918 | 113.607.160 | 12.483.445 | 35.860.000 | 1.124.526.155 | 
Cuatro. En los estados de ingresos de los presupuestos de la Administración General de la Comunidad Autónoma y en los de sus organismos autónomos se recogen las estimaciones de los derechos económicos que se prevé liquidar durante el ejercicio, por un importe consolidado de 1.124.526.155.000 pesetas, distribuidas de la siguiente forma:
(Miles de pesetas)
| Organismos | Cap. I-VII Ingresos no financieros | Cap. VIII Activos financieros | Cap. IX Pasivos financieros | Total | 
|---|---|---|---|---|
| Administración General. | 686.029.742 | 2.590.000 | 35.860.000 | 724.479.742 | 
| OO.AA. administrativos. | 361.150.717 | 104.000 | – | 361.254.717 | 
| OO.AA. comerciales, industriales y financieros. | 38.786.696 | 5.000 | – | 38.791.696 | 
| Total. | 1.085.967.155 | 2.699.000 | 35.860.000 | 1.124.526.155 | 
Cinco. Los beneficios fiscales que afectan a los tributos cedidos total o parcialmente por el Estado a la Comunidad Autónoma se estiman en 5.553.851.000 pesetas, con arreglo al siguiente desglose:
Impuesto sobre Sucesiones y Donaciones: 783.159.000 pesetas.
Impuesto sobre la Renta de las Personas Físicas (tarifa autonómica): 814.865.000 pesetas.
Impuesto sobre Transmisiones Patrimoniales y Actos Jurídicos Documentados: 3.955.827.000 pesetas.
En cumplimiento de lo establecido en el artículo 42.2 de la Ley 13/1991, de 9 de diciembre, de Tasas, Precios y Exacciones Reguladoras de la Comunidad Autónoma de Galicia, el importe de las subvenciones reguladoras se fija en 2.260.850.000 pesetas.
Uno. Presupuesto de las sociedades mercantiles.
Las dotaciones concedidas y los recursos estimados de las sociedades públicas de carácter mercantil se elevan a 63.318.000.000 de pesetas, de acuerdo con la distribución que se indica:
| Sociedades mercantiles | Dotaciones | Recursos | 
|---|---|---|
| Sociedad Gallega del Medio Ambiente, S. A. | 29.556.000 | 29.556.000 | 
| Sociedad de Imagen y Promoción Turística de Galicia, S. A. | 1.832.000 | 1.832.000 | 
| Gestión Urbanística de A Coruña, S. A. | 1.553.000 | 1.553.000 | 
| Gestión Urbanística de Lugo, S. A. | 979.000 | 979.000 | 
| Gestión Urbanística de Ourense, S. A. | 2.452.000 | 2.452.000 | 
| Gestión Urbanística de Pontevedra, S. A. | 3.727.000 | 3.727.000 | 
| S. A. de Gestión del Plan Jacobeo. | 4.137.000 | 4.137.000 | 
| S. A. de Gestión del Centro de Sepercomputación de Galicia. | 425.000 | 425.000 | 
| Sociedad para el Desarrollo Comarcal de Galicia. | 865.000 | 865.000 | 
| Instituto Gallego de Medicina Técnica, S. A. | 3.621.000 | 3.621.000 | 
| Galicia Calidad, S. A. | 261.000 | 261.000 | 
| S. A. para el Desarrollo Industrial de Galicia. | 2.110.000 | 2.110.000 | 
| Centro Europeo de Empresas e Innovación de Galicia, S. A. | 261.000 | 261.000 | 
| Sociedad Pública de Inversiones de Galicia, S. A. | 10.345.000 | 10.345.000 | 
| Genética Fontao, S. A. | 125.000 | 125.000 | 
| Retegal, S. A. | 730.000 | 730.000 | 
| Xesgalicia, Sociedad Gestora de Entidades de Capital Riesgo, S. A. | 339.000 | 339.000 | 
| Total. | 63.318.000 | 63.318.000 | 
(Miles de pesetas)
Dos. Presupuesto de los restantes entes públicos.
Los estados de gastos e ingresos de los entes públicos a que se refiere el apartado c) del artículo 1 alcanzan un total de 51.804.000.000 de pesetas, detallados como sigue:
(Miles de pesetas)
| Entidades públicas | Ingresos | Gastos | 
|---|---|---|
| Compañía de Radio-Televisión de Galicia y sociedades. | 17.081.000 | 17.081.000 | 
| Instituto Gallego de Promoción Económica. | 13.262.000 | 13.262.000 | 
| Fundación Pública Hospital de Verín. | 1.547.000 | 1.547.000 | 
| Puertos de Galicia. | 5.017.000 | 5.017.000 | 
| Obras y Servicios Hidráulicos. | 119.000 | 119.000 | 
| Consejo Económico y Social. | 164.000 | 164.000 | 
| Fundación Instituto Gallego de Oftalmología. | 432.000 | 432.000 | 
| Fundación Hospital Comarcal Virxe de Xunqueira. | 1.840.000 | 1.840.000 | 
| Fundación Hospital Comarcal A Barbanza. | 1.981.000 | 1.981.000 | 
| Centro Informático para la Gestión Tributaria, Económico-Financiera y Contable. | 1.640.000 | 1.640.000 | 
| Fundación Pública Escuela Gallega de Administración Sanitaria. | 406.000 | 406.000 | 
| Fundación Foro Permanente Gallego-Iberoamericano de la Salud. | 168.000 | 168.000 | 
| Fundación Pública Urgencias Sanitarias de Galicia (061. | 2.729.000 | 2.729.000 | 
| Instituto Energético de Galicia. | 395.000 | 395.000 | 
| Fundación Pública Hospital Comarcal do Salvés. | 844.000 | 844.000 | 
| Fundación Pública Comarcal de la Cultura de Galicia. | 4.179.000 | 4.179.000 | 
| Total. | 51.804.000 | 51.804.000 | 
Tres. Aprobación de subvenciones de explotación y de capital a las sociedades públicas.
Se autorizan las dotaciones iniciales de subvenciones de explotación y de capital de las sociedades públicas que se indican seguidamente, con cargo a los presupuestos de gastos de las Consellerías u organismos autónomos a que figuran adscritas:
(Miles de pesetas)
| Sociedad pública | Consellería u organismo autónomo de adscripción | Subvención de explotación | Subveción de capital | 
|---|---|---|---|
| S. A. de Gestión del Centro de Supercomputación de Galicia. | Presidencia y Administración Pública. | 95.000 | 0 | 
| Sociedad para el Desarrollo Comarcal de Galicia. | Presidencia y Administración Pública. | 502.000 | 95.000 | 
| Instituto Gallego de Promoción Económica. | Economía y Hacienda. | 8.061.000 | 2.225.000 | 
| Consejo Económico y Social. | Economía y Hacienda. | 157.000 | 4.000 | 
| Centro de Información para la Gestión Tributaria, Económico-Financiera y Contable. | Economía y Hacienda. | 654.000 | 705 | 
| Centro Europeo de Empresas e Innovación de Galicia, S. A. | Economía y Hacienda. | 16.000 | 0 | 
| Puertos de Galicia. | Política Territorial, Obras Públicas y Vivienda. | 0 | 2.689.000 | 
| Galicia Calidad, S. A. | Industria y Comercio. | 50.000 | 120.000 | 
| Instituto Energético de Galicia. | Industria y Comercio. | 250.000 | 80.000 | 
| Genética Fontao, S. A. | Instituto Lácteo y Ganadero de Galicia. | 30.000 | 20.000 | 
| Compañía de Radio-Televisión de Galicia y sociedades. | Cultura, Comunicación Social y Turismo. | 0 | 1.266.000 | 
| Sociedad de Imagen y Promoción Turística de Galicia, S. A. | Cultura, Comunicación Social y Turismo. | 349.000 | 900.000 | 
| S. A. de Gestión del Plan Jacobeo. | Cultura, Comunicación Social y Turismo. | 3.400.000 | 340.000 | 
| Retegal, S. A. | Cultura, Comunicación Social y Turismo. | 77.000 | 25.000 | 
| Fundación Pública Ciudad de la Cultura de Galicia. | Cultura, Comunicación Social y Turismo. | 95.000 | 3.055.000 | 
| Fundación Pública Escuela Gallega de Administración Sanitaria. | Sanidad y Servicios Sociales. | 274.000 | 0 | 
| Fundación Foro Permanente Gallego-Iberoamericano de la Salud. | Sanidad y Servicios Sociales. | 46.000 | 0 | 
| Total | 14.056.000 | 11.524.000 | |
Uno. Las modificaciones de créditos presupuestarios únicamente podrán ser autorizadas de acuerdo con los requisitos establecidos en el texto refundido de la Ley de Régimen Financiero y Presupuestario de Galicia, aprobado por Decreto Legislativo 1/1999, de 7 de octubre, con las excepciones derivadas de la aplicación de lo dispuesto en el presente capítulo.
Dos. Las propuestas de modificación habrán de indicar, con el mayor nivel de desagregación orgánica, funcional y económica, las aplicaciones presupuestarias afectadas, recogiendo adecuadamente los motivos que la justifican, tanto los referentes a la realización del nuevo gasto propuesto como, en su caso, a la suspensión de la actuación inicialmente prevista y a la repercusión sobre los objetivos del programa afectado.
Sin perjuicio de las facultades que se le asignan en el texto refundido de la Ley de Régimen Financiero y Presupuestario de Galicia, aprobado por Decreto Legislativo 1/1999, de 7 de octubre, y con validez exclusiva para el año 2001, se atribuyen al Conselleiro de Economía y Hacienda competencias específicas para llevar a cabo las siguientes modificaciones presupuestarias:
a) Para incorporar los créditos de ejercicios anteriores, que correspondan a actuaciones financiadas o cofinanciadas por la Unión Europea.
b) Para incorporar el crédito que no hubiese alcanzado la fase de reconocimiento de la obligación en cada ejercicio del fondo de reserva constituido con arreglo a lo establecido en el artículo 4 de la Ley 12/1995, de 29 de diciembre, por la que se aprueba el impuesto sobre la contaminación atmosférica.
c) Para incorporar al crédito 11.03.212A.481.1 (RISGA), del presupuesto del año 2001, el crédito 11.03.212A.481.1 del año 2000, destinado a la renta de integración social de Galicia, en la parte que no hubiese alcanzado la fase «O» en contabilidad.
d) Para generar crédito por el importe que corresponda a la mayor recaudación de las tasas, precios públicos y privados respecto a las previsiones que inicialmente se establecen para las distintas Consellerías en el anexo I de la presente Ley, siempre que quede garantizado el necesario equilibrio económico-financiero, de acuerdo con lo previsto en el artículo 9.
e) Para generar crédito por el importe que corresponda a los mayores ingresos por la prestación del servicio de recaudación ejecutiva a otros entes, del subconcepto 399.04, del presupuesto de ingresos.
f) Para generar crédito por el importe que corresponda a la mayor recaudación de las sanciones impuestas por la Consellería de Política Territorial, Obras Públicas y Vivienda, derivadas de la inspección de urbanismo en el medio rural, y por la Consellería de Cultura, Comunicación Social y Turismo que se deriven de las inspecciones realizadas por la Dirección General de Turismo, respecto a las previsiones inicialmente establecidas, que figuran en el anexo II.
En sentido contrario, en la medida en que durante el transcurso del ejercicio se considere que las previsiones de recaudación no serán cumplidas, se efectuará retención de crédito por el importe que se estime no realizable.
g) Para generar crédito en el programa 531B «Imprevistos y funciones no clasificadas», por un importe igual a la diferencia que puede existir entre la liquidación definitiva de ejercicios anteriores por participación en los ingresos del Estado y la estimada en el estado de ingresos para dicho concepto.
h) Para generar crédito, en la aplicación presupuestaria correspondiente, por cuantía igual al importe de las compensaciones económicas a favor de la Comunidad Autónoma derivadas de pólizas suscritas con compañías de seguros.
i) Para generar crédito en el capítulo VIII de los presupuestos de gastos de la Administración General, o en su caso en los de los organismos autónomos, en el supuesto previsto en el artículo 43 de la Ley 11/1996, de 30 de diciembre, de Presupuestos Generales de la Comunidad Autónoma de Galicia para 1997, sobre tratamiento de los créditos para provisiones de riesgos no ejecutados.
j) Para generar crédito destinado a la atención de las obligaciones derivadas de expedientes de expropiación, en el supuesto previsto en el artículo 37 de la presente Ley.
k) En relación con el presupuesto del Servicio Gallego de Salud:
1) Para generar o minorar créditos por un importe igual a la diferencia que pueda resultar entre las previsiones iniciales de transferencias procedentes de los presupuestos de la Seguridad Social y las que efectivamente se liquiden.
2) Para generar créditos como consecuencia de los mayores ingresos recaudados sobre los inicialmente previstos en cada una de las siguientes aplicaciones del presupuesto de ingresos del SERGAS:
30 «Tasas administrativas».
37 «Ingresos por ensayos clínicos».
36 «Prestaciones de servicios sanitarios», y
39 «Otros ingresos», computados conjuntamente.
3) Para generar crédito derivado de los ingresos devengados en ejercicios anteriores que no hubiesen alcanzado la fase de reconocimiento del derecho y que correspondan a las aportaciones de las corporaciones locales destinadas a la financiación de sus centros y servicios sanitarios transferidos a la Comunidad Autónoma.
l) Para introducir en los estados de gastos las modificaciones precisas para adecuar los créditos afectados por transferencias finalistas de cualquier procedencia, incluyendo entre esas medidas la declaración de indisponibilidad del crédito.
En el supuesto de que las obligaciones reconocidas hasta ese momento hubiesen superado el importe real de la transferencia, su financiación se realizará mediante las oportunas minoraciones en otros créditos, preferentemente de operaciones corrientes, de la sección de que se trate.
m) Para introducir las variaciones que sean necesarias en los programas de gasto de los organismos autónomos y de los entes públicos para reflejar las repercusiones que en los mismos tengan las modificaciones de los créditos que figuran en el estado de transferencias entre subsectores de los presupuestos generales de la Comunidad Autónoma.
Uno. Sin perjuicio de lo dispuesto en el artículo 56 del texto refundido de la Ley de Régimen Financiero y Presupuestario de Galicia, aprobado por Decreto Legislativo 1/1999, de 7 de octubre, se consideran vinculantes, con el grado de desagregación que a continuación se indica, los siguientes créditos:
130.02 «Plus de peligrosidad, penosidad y toxicidad».
202 «Edificios y otras construcciones».
220.03 «Diario Oficial de Galicia».
222.00 «Comunicaciones telefónicas».
223.08 «Transporte escolar».
226.01 «Atenciones protocolarias y representativas».
226.02 «Publicidad y propaganda».
226.06 «Reuniones y conferencias».
226.99 «Otros».
226.13 «Gastos de funcionamiento de tribunales de oposiciones y de pruebas selectivas».
227.06 «Estudios y trabajos técnicos».
La misma consideración tendrán los créditos correspondientes a la aplicación 06.03.413B.600.2 y a las diferentes aplicaciones del capítulo VI denominadas «Obra nueva por mandatos a la Sociedad Pública de Inversiones de Galicia».
Dos. Las transferencias a que se refiere el artículo 67 del texto refundido de la Ley de Régimen Financiero y Presupuestario de Galicia, aprobado por Decreto Legislativo 1/1999, de 7 de octubre, cuando afecten a los créditos anteriores, habrán de ser autorizadas por el Conselleiro de Economía y Hacienda.
Con independencia de los supuestos previstos en el apartado a) del artículo 64 del texto refundido de la Ley de Régimen Financiero y Presupuestario de Galicia, aprobado por Decreto Legislativo 1/1999, de 7 de octubre, durante el año 2001 tendrán excepcionalmente condición de ampliables los créditos siguientes:
a) Los incluidos en la aplicación 05.03.531A.226.05, destinados al pago de los premios de cobranza autorizados por la recaudación de tributos y demás ingresos de derecho público.
b) Los destinados a satisfacer las cantidades que han de percibir los liquidadores de los distritos hipotecarios en concepto de indemnizaciones y compensaciones de los gastos originados por la recaudación y gestión de autoliquidaciones practicadas por el impuesto sobre transmisiones patrimoniales y actos jurídicos documentados y por la recaudación y práctica de las liquidaciones del impuesto sobre sucesiones y donaciones.
c) Las obligaciones contraídas en el exterior y que hayan de ser pagadas en divisas de cambio variable, por la diferencia existente entre el tipo de cambio previsto y su importe real en el momento del pago.
d) Los destinados al pago de las obligaciones derivadas de quiebras de operaciones de crédito avaladas por la Comunidad Autónoma. Cuando se trate de un organismo autónomo o de una sociedad pública, la ampliación se materializará a través de la sección presupuestaria a que figuren adscritos.
e) Los créditos destinados al pago de los premios de cobranza y participaciones en función de la recaudación de ventas y restantes créditos de viviendas, solares, locales y edificaciones complementarias correspondientes al Instituto Gallego de la Vivienda y el Suelo, así como los referentes a los trabajos de facturación y apoyo a la gestión del patrimonio inmobiliario de dicho instituto, que se establezcan de acuerdo con las cifras recaudadas en el período voluntario.
f) Los créditos de transferencias a favor de la Comunidad Autónoma que figuren en los presupuestos de gastos de los organismos autónomos hasta el importe de los remanentes de la tesorería que resulten como consecuencia de su gestión.
Uno. Con independencia de las limitaciones a que se refiere el artículo 68.1 del texto refundido de la Ley de Régimen Financiero y Presupuestario de Galicia, aprobado por Decreto Legislativo 1/1999, de 7 de octubre, y sin perjuicio de lo previsto en el punto 3 del citado artículo, durante el año 2001 no podrán tramitarse expedientes de transferencias de crédito que afecten a los capítulos VI y VII cuando de los mismos se derive incremento del gasto corriente.
Esa restricción no será de aplicación a los incrementos del capítulo I que en su caso puedan originarse por el desarrollo de procesos de regularización derivados de acuerdos sobre materias de función pública suscritos entre la Xunta de Galicia y las organizaciones sindicales.
Dos. Por lo que se refiere a las secciones 07 «Educación y Ordenación Universitaria», 11 «Sanidad y Servicios Sociales», y 14 «Familia y Promoción del Empleo, Mujer y Juventud» en lo que afecte a créditos destinados a prestaciones sociales, la limitación indicada en el punto anterior únicamente será de aplicación una vez superado el 10 por 100 de las dotaciones iniciales de los capítulos VI y VII. Ese porcentaje será del 20 por 100 para el Servicio Gallego de Salud.
En caso de que las transferencias realizadas bajo ese supuesto incrementasen créditos del capítulo I destinados a la celebración de contratos de duración determinada previstos en el Real Decreto 2720/1998, de 18 de diciembre, por el que se desarrolla el artículo 15 del Estatuto de los Trabajadores, cuando la modalidad de contratación fuese la de realización de obra o servicio prevista en la letra a) del artículo 1 de la citada disposición, será necesaria la existencia de informe previo y favorable de la Dirección General de la Función Pública sobre la adecuación de la modalidad de contratación que se pretende.
Tres. Con vigencia exclusiva para el ejercicio del año 2001 no podrán realizarse transferencias de crédito que incrementen los autorizados inicialmente en las siguientes aplicaciones presupuestarias:
226.02 «Publicidad y propaganda».
227.06 «Estudios y trabajos técnicos».
Esas limitaciones no afectarán al SERGAS cuando la transferencia tenga su causa en la necesidad de hacer público cualquier tipo de modificación en el funcionamiento de los servicios que deban ser conocidos por los usuarios para permitirles su mejor utilización, por lo que respecta a la aplicación 226.02, o cuando vengan originadas por necesidades excepcionales de realización de pruebas de laboratorio en centros externos, en lo referente a la aplicación 227.06.
Cuatro. Las limitaciones sobre transferencias de crédito contenidas en los apartados b) y c) del artículo 68 del texto refundido de la Ley de Régimen Financiero y Presupuestario de Galicia, aprobado por el Decreto Legislativo 1/1999, de 7 de octubre, se entenderán referidas, en el presupuesto del Servicio Gallego de Salud, al presupuesto individualizado de cada uno de los centros de gasto y no a los presupuestos totales.
Cinco. A las transferencias de crédito que afecten únicamente a la clasificación orgánica y que se efectúen entre centros de gasto del Servicio Gallego de Salud no les serán de aplicación las limitaciones previstas en el artículo 68 del Decreto Legislativo 1/1999, de 7 de octubre, por el que se aprueba el texto refundido de la Ley de Régimen Financiero y Presupuestario de Galicia, por tener la consideración de simples retribuciones de crédito.
Seis. Sin perjuicio de lo establecido en el artículo 68.3 del texto refundido de la Ley de Régimen Financiero y Presupuestario de Galicia, aprobado por el Decreto Legislativo 1/1999, de 7 de octubre, y en los apartados anteriores de este artículo, el importe máximo de las transferencias de crédito que se autoricen para cada Consellería durante el presente ejercicio no podrá disminuir las consignaciones iniciales, al nivel de vinculación legalmente establecido, en más de un 20 por 100.
Lo indicado en el párrafo anterior no será de aplicación en los siguientes casos:
a) Cuando afecten al capítulo I de gastos.
b) Cuando se refieran a la sección 23 «Gastos de diversas Consellerías».
c) Cuando afecten al centro de gestión 5001 del Servicio Gallego de Salud.
d) Cuando correspondan a la gestión de los fondos finalistas, procedentes de la Administración General del Estado, correspondientes a competencias asumidas por la Comunidad Autónoma en el ámbito de las políticas activas de empleo.
Siete. Los expedientes de transferencias de crédito incluirán en todos los casos informe de la intervención delegada referente al menos a los siguientes aspectos:
a) Cumplimiento de lo establecido en el artículo 68 del texto refundido de la Ley de Régimen Financiero y Presupuestario de Galicia, aprobado por el Decreto Legislativo 1/1999, de 7 de octubre, y en las normas concordantes, sobre las limitaciones que afectan a las transferencias de crédito.
b) Adecuación y disponibilidad de crédito que se pretende minorar.
c) Cualquier otra cuestión relacionada con el cumplimiento de la normativa vigente en materia de transferencias de crédito.
Ocho. Los expedientes que se tramiten para la autorización de transferencias de crédito desde las partidas correspondientes al plan de crecimiento y empleo que figuran relacionadas en la memoria de objetivos y programas de estos presupuestos habrán de incluir informe de la Dirección General de Planificación Económica y Fondos Comunitarios.
Para facilitar la consecución del equilibrio económico-financiero en la ejecución del presupuesto para el año 2001, los créditos incluidos en los estados de gastos experimentarán los ajustes necesarios para acomodar su importe al de los recursos, en la medida en que estos últimos difieran de los inicialmente previstos en los presupuestos de ingresos de la Administración General de la Comunidad Autónoma o de sus organismos autónomos.
Sin perjuicio de lo indicado en el artículo 5.l) de la presente Ley, el Consello de la Junta adoptará, a propuesta de la Consellería de Economía y Hacienda, los acuerdos de no disponibilidad de crédito que sean precisos para cumplir lo previsto en el párrafo anterior.
Uno. Las retribuciones íntegras del personal al servicio de la Comunidad Autónoma no podrán experimentar en el año 2001 un incremento global superior al 2 por 100 con respecto a las establecidas en el ejercicio de 2000, en términos de homogeneidad para los dos períodos de comparación, tanto por lo que respecta a efectivos de personal como a su antigüedad.
Dos. Los acuerdos, convenios o pactos que impliquen crecimientos retributivos superiores habrán de ajustarse a lo establecido en este artículo, resultando inaplicables en caso contrario.
Tres. Lo dispuesto en los apartados precedentes se entenderá sin perjuicio de las adecuaciones retributivas que con carácter singular y excepcional resulten imprescindibles por el contenido de los puestos de trabajo, por la variación del número de efectivos asignados a cada programa o por el grado de consecución de sus objetivos.
Cuatro. Este artículo se aplicará al personal al servicio de:
a) Los órganos estatutarios de Galicia, sin perjuicio de lo dispuesto en el artículo 12.2 del Estatuto de Autonomía de Galicia para el Parlamento.
b) La Administración de la Comunidad Autónoma y de sus organismos autónomos.
c) Las Universidades de Galicia.
d) Las fundaciones públicas constituidas por la Comunidad Autónoma para la gestión de centros de su red hospitalaria.
e) Las restantes sociedades públicas autonómicas a que se refiere el artículo 12 del texto refundido de la Ley de Régimen Financiero y Presupuestario de Galicia, aprobado por el Decreto Legislativo 1/1999, de 7 de octubre.
f) Las fundaciones en las que exista mayoría de capital público de la Xunta.
a) Las retribuciones básicas y las complementarias de carácter fijo y periódico experimentarán un incremento del 2 por 100 con respecto a las establecidas en el ejercicio de 2000, sin perjuicio, en su caso, de la adecuación de estas últimas cuando sea necesaria para asegurar que la retribución total de cada puesto de trabajo guarde la relación procedente con su especial dificultad técnica, dedicación, responsabilidad, peligrosidad y penosidad.
b) El conjunto de las restantes retribuciones complementarias, en su caso, experimentará asimismo un incremento del 2 por 100 respecto al del ejercicio de 2000, sin perjuicio de las modificaciones que se deriven de la variación del número de efectivos asignados a cada programa, del grado de consecución de los objetivos fijados para aquél y del resultado individual de su aplicación.
c) Los complementos personales y transitorios y las demás retribuciones que tengan análogo carácter se regirán por su normativa específica y por lo dispuesto en la presente Ley.
d) Las indemnizaciones por razón del servicio se regirán por su normativa específica.
Las prestaciones familiares establecidas por la normativa específica del régimen especial de la Seguridad Social de los funcionarios civiles del Estado, de las Fuerzas Armadas y de la Administración de Justicia, extensiva, preceptivamente, a determinados funcionarios de la Comunidad Autónoma, se liquidarán a los beneficiarios con arreglo a lo que determinen las leyes anuales de presupuestos generales del Estado o cualquier otra disposición que las regule.
La masa salarial del personal laboral de los entes y organismos que se indican en el número cuatro del artículo 10 no podrá experimentar un crecimiento global superior al 2 por 100 respecto a la correspondiente al año 2000, sin perjuicio de lo que pudiese derivarse de la consecución de los objetivos asignados a cada ente u organismo mediante el incremento de la productividad o la modificación de los sistemas de organización del trabajo o clasificación profesional.
Lo previsto en el párrafo anterior representa el límite máximo de la masa salarial, cuya distribución y aplicación individual se producirá a través de la negociación colectiva.
Se entenderá por masa salarial, a los efectos de la presente Ley, el conjunto de las retribuciones salariales y extrasalariales y los gastos de acción social devengados durante el año 2000 por el personal laboral afectado, por el límite de las cuantías sobre la que emitió informe favorable la Consellería de Economía y Hacienda para dicho ejercicio presupuestario, exceptuándose en todo caso:
a) Las prestaciones e indemnizaciones de la Seguridad Social.
b) Las cotizaciones al sistema de la Seguridad Social a cargo del empleador.
c) Las indemnizaciones correspondientes a traslados, suspensiones o despidos.
d) Las indemnizaciones o los suplidos por gastos que tuviese que realizar el trabajador.
Las variaciones de la masa salarial bruta se calcularán en términos de homogeneidad respecto a los dos períodos objeto de comparación, tanto en lo que respecta a efectivos reales del personal laboral y antigüedad del mismo como el régimen privativo de trabajo, jornada legal o contractual, horas extraordinarias efectuadas y otras condiciones laborales, computándose, en consecuencia, por separado las cantidades que correspondan a la variación de tales conceptos. Con cargo a la masa salarial así obtenida para el año 2001 habrá de satisfacerse la totalidad de las retribuciones del personal laboral derivadas del pertinente acuerdo y todas las que se produzcan a lo largo del ejercicio, salvo las que corresponde devengar a dicho personal en el citado año por el concepto de antigüedad.
Las indemnizaciones o los suplidos de este personal no podrán experimentar crecimientos superiores a los que se establezcan con carácter general para el personal no laboral de la Administración de la Comunidad Autónoma.
Uno. Las retribuciones totales y exclusivas, incluidas las pagas extraordinarias, de los altos cargos se fijan para el año 2001 en las siguientes cuantías, sin perjuicio de la percepción de 14 mensualidades de la retribución por antigüedad que pudiese corresponderles de conformidad con la normativa vigente:
Presidente: 12.274.800 pesetas.
Conselleiros: 10.107.960 pesetas.
Secretarios generales, Directores generales y asimilados: 8.047.236 pesetas.
Dos. Las retribuciones de los miembros del Consejo de Cuentas de Galicia serán las establecidas en el punto uno de este artículo para los Conselleiros, salvo las correspondientes al Consejero mayor, que se fijan para el año 2001 en 10.756.776 pesetas.
Tres. Las retribuciones totales de los altos cargos del Consejo Consultivo de Galicia, incluidas las pagas extraordinarias, quedan establecidas para el año 2001 en las siguientes cuantías:
Presidente: 10.756.776 pesetas.
Consejeros: 10.107.960 pesetas.
Cuatro. Las retribuciones de los presidentes y vicepresidentes y, en su caso, las de los directores generales de las sociedades públicas a que se refiere el artículo 12 del texto refundido de la Ley de Régimen Financiero y Presupuestario de Galicia, aprobado por Decreto Legislativo 1/1999, de 7 de octubre, serán autorizadas por el Conselleiro de Economía y Hacienda, a propuesta del titular de la Consellería a que se encuentren adscritos, aunque en ningún caso podrán experimentar incrementos superiores al 2 por 100 con respecto a las percibidas en el año 2000.
Los funcionarios de carrera designados para ocupar puestos incluidos en los anexos de personal de los Presupuestos de la Administración General y de sus organismos autónomos que den lugar a la consideración de alto cargo y que en el momento de su nombramiento mantuviesen una relación de servicio permanente, no contractual, con alguna administración pública no podrán percibir retribuciones inferiores a las que tenían asignadas en el puesto de procedencia.
Cuando se produzca esa circunstancia, el personal indicado tendrá derecho a percibir un complemento personal equivalente a la diferencia entre la totalidad de los conceptos retributivos, básicos y complementarios, del puesto de origen, con exclusión de las gratificaciones por servicios extraordinarios, en cómputo anual, y las retribuciones del mismo carácter que le corresponda por el puesto que ocupe en la Administración Autonómica gallega.
El complemento indicado, que se percibirá hasta el momento del cese en el cargo, se actualizará, en su caso, en el mismo porcentaje que corresponda al incremento retributivo atribuido con carácter general en la Ley de Presupuestos de cada ejercicio.
El reconocimiento del derecho a la percepción de este complemento será realizado en cada caso por la Dirección General de la Función Pública.
Las retribuciones de los Delegados provinciales y territoriales de las Consellerías para el año 2001 serán idénticas en su cuantía a las de los subdirectores generales.
Tendrán derecho a percibir los trienios que pudiesen tener reconocidos como funcionarios y personal al servicio de las administraciones públicas.
Uno. De conformidad con lo establecido en el artículo 11 de la presente Ley, las retribuciones que percibirán en el año 2001 los funcionarios incluidos en el ámbito de aplicación de la Ley 4/1988, de 26 de mayo, que desempeñan puestos de trabajo para los que el Gobierno de la Comunidad aprobó la aplicación del régimen retributivo previsto en dicha Ley serán las siguientes:
a) El sueldo y los trienios que correspondan al grupo en el que se encuentre clasificado el Cuerpo o escala a que pertenezca el funcionario, de acuerdo con las siguientes cuantías referidas a doce mensualidades:
| Grupo | Sueldo | Trienios | 
|---|---|---|
| A | 1.972.920 | 75.780 | 
| B | 1.674.480 | 60.636 | 
| C | 1.248.204 | 45.504 | 
| D | 1.020.624 | 30.396 | 
| E | 931.752 | 22.800 | 
b) Las pagas extraordinarias, que serán dos al año, por un importe cada una de ellas de una mensualidad de sueldo y trienios y que se devengarán de acuerdo con lo previsto en el artículo 15 de la Ley 13/1988, de 30 de diciembre, de Presupuestos Generales de la Comunidad Autónoma para 1989. Cuando los funcionarios prestasen una jornada de trabajo reducida durante los seis meses inmediatos anteriores a los meses de junio o diciembre, el importe de la paga extraordinaria experimentará la correspondiente reducción proporcional.
c) El complemento de destino correspondiente al nivel del puesto de trabajo que se desempeñe, de acuerdo con las siguientes cuantías referidas a doce mensualidades:
| Nivel | Pesetas | 
|---|---|
| 30 | 1.732.416 | 
| 29 | 1.553.964 | 
| 28 | 1.488.600 | 
| 27 | 1.423.224 | 
| 26 | 1.248.612 | 
| 25 | 1.107.792 | 
| 24 | 1.042.428 | 
| 23 | 977.100 | 
| 22 | 911.712 | 
| 21 | 846.468 | 
| 20 | 786.300 | 
| 19 | 746.124 | 
| 18 | 705.960 | 
| 17 | 665.784 | 
| 16 | 625.692 | 
| 15 | 585.504 | 
| 14 | 545.376 | 
| 13 | 505.200 | 
| 12 | 465.012 | 
| 11 | 424.908 | 
| 10 | 384.744 | 
En el ámbito de la docencia universitaria, la cuantía del complemento de destino fijada en la escala anterior podrá ser modificada en los casos en que así proceda, de acuerdo con la normativa vigente, sin que ello implique variación del nivel de complemento de destino asignado al puesto de trabajo.
d) El complemento específico que, en su caso, esté fijado al puesto que se desempeñe, cuya cuantía experimentará un incremento del 2 por 100 con respecto a la aprobada para el ejercicio del año 2000, sin perjuicio de lo previsto en el artículo 11 de la presente Ley.
e) El complemento de productividad que, en su caso, se destine a retribuir el especial rendimiento, la actividad extraordinaria y el interés o iniciativa con que el funcionario desempeñe su trabajo, en los términos establecidos en el artículo 64.3.c) de la Ley 4/1988, de 26 de mayo.
El complemento de productividad se concederá de acuerdo con criterios objetivos que apruebe el Consello de la Xunta de Galicia, a propuesta de las Consellerías de la Presidencia y Administración Pública y de Economía y Hacienda. Los complementos de productividad deben hacerse públicos en los centros de trabajo.
Las cuantías asignadas por complemento de productividad durante un período de tiempo no originarán tipo alguno de derecho individual respecto a las valoraciones o apreciaciones correspondientes a períodos sucesivos.
f) Las gratificaciones por servicios extraordinarios que concederá el Consello de la Xunta a propuesta de la Consellería correspondiente y dentro de los créditos asignados a tal fin.
Estas gratificaciones tendrán carácter excepcional y solamente podrán ser reconocidas por los servicios extraordinarios prestados fuera de la jornada normal de trabajo, sin que, en ningún caso, puedan ser fijas en su cuantía ni periódicas en su devengo.
g) Los complementos personales y transitorios reconocidos en cumplimiento de lo dispuesto en el artículo 10 de la Ley 13/1988, de 30 de diciembre, de Presupuestos Generales de la Comunidad Autónoma para 1989.
Estos complementos personales y transitorios serán absorbidos por cualquier mejora retributiva que se produzca en el año 2001, incluidas las derivadas del cambio de puesto de trabajo. En ningún caso se considerarán los trienios, el complemento de productividad ni las gratificaciones por servicios extraordinarios.
Incluso en caso de que el cambio de puesto de trabajo determine una disminución de las retribuciones se mantendrá el complemento personal transitorio fijado al producirse la aplicación del nuevo sistema a cuya absorción se imputará cualquier mejora retributiva ulterior, incluso las que puedan derivarse del cambio de puesto de trabajo.
Dos. Los funcionarios interinos incluidos en el ámbito de aplicación de la Ley 4/1988 percibirán el 100 por 100 de las retribuciones básicas, excluidos trienios, correspondientes al grupo en que esté incluido el cuerpo en que ocupen vacante y el 100 por 100 de las retribución complementarias que correspondan al puesto de trabajo que desempeñen, excluidos los que están vinculados a la condición de funcionario de carrera.
Tres. El complemento de productividad podrá atribuirse, en su caso, a los funcionarios interinos a que se refiere el punto anterior, así como al personal eventual y a los funcionarios en prácticas cuando las mismas se realicen desempeñando un puesto de trabajo y esté autorizada la aplicación de dicho complemento a los funcionarios de carrera que desempeñen análogos puestos de trabajo, salvo que dicho complemento esté vinculado a la condición de funcionario de carrera.
Uno. El personal incluido en el ámbito de aplicación del Real Decreto Ley 3/1987, de 11 de septiembre, sobre retribuciones del personal estatutario del Instituto Nacional de la Salud, percibirá las retribuciones básicas y el complemento de destino en las cuantías señaladas para dichos conceptos retributivos en el artículo 16.uno.a), b) y c) de la presente Ley, sin perjuicio de los establecido en la disposición transitoria segunda.dos, de dicho Real Decreto Ley y de que la cuantía anual del complemento de destino se satisfaga en 14 mensualidades.
El importe de las retribuciones correspondientes a los complementos específicos, complemento de atención continuada y complemento de penosidad, responsabilidad y dificultad que, en su caso, correspondan al referido personal experimentará el incremento del 2 por 100 respecto al importe aprobado para el ejercicio de 2000.
La cuantía individual del complemento de productividad se determinará de conformidad con los criterios señalados en el artículo 2.tres.c), en la disposición transitoria tercera del Real Decreto Ley 3/1987 y en las demás normas dictadas para su desarrollo.
Dos. Las retribuciones del restante personal estatutario, funcionario y laboral de las instituciones sanitarias del Servicio Gallego de Salud experimentarán el incremento previsto en el artículo 10.uno de la presente Ley.
Los empleados públicos comprendidos dentro del ámbito de aplicación de la presente Ley, a excepción de aquéllos sometidos al régimen de arancel, no podrán percibir participación alguna en los tributos, comisiones u otros ingresos de cualquier naturaleza que correspondan a la Administración o a cualquier poder público como contraprestación de cualquier servicio o jurisdicción, ni participación o premio en multas impuestas aunque estuviesen normativamente atribuidas a los mismos, debiendo percibir únicamente las remuneraciones del correspondiente régimen retributivo, sin perjuicio de lo que resulte de la aplicación del sistema de incompatiblidades y de lo dispuesto en la normativa específica sobre disfrute de vivienda por razón del trabajo o cargo desempeñado.
Uno. Cuando las retribuciones percibidas en el año 2000 no se correspondiesen con las establecidas con carácter general en el título II de la Ley 7/1999 y no sean de aplicación las establecidas en el mismo título de la presente Ley, experimentarán en el año 2001 un incremento del 2 por 100 sobre las percibidas en el año anterior.
Dos. En la Administración de la Comunidad Autónoma y de sus organismos autónomos, en los casos de adscripción durante el año 2001 de un funcionario sujeto a un régimen retributivo distinto del correspondiente al puesto de trabajo a que se adscribe, dicho funcionario percibirá las retribuciones que correspondan al puesto de trabajo que desempeñe, previa oportuna asimilación que autorice la Consellería de la Presidencia y Administración Pública a propuesta de las Consellerías interesadas.
A los solos efectos de la asimilación a que se refiere el párrafo anterior, la Consellería de la Presidencia y Administración Pública podrá autorizar que la cuantía de la retribución por antigüedad sea la que proceda de acuerdo con el régimen retributivo de origen del funcionario.
La Consellería de la Presidencia y Administración Pública comunicará estas autorizaciones a la Consellería de Economía y Hacienda para su conocimiento.
Tres. Las referencias relativas a retribuciones contenidas en la presente Ley se entienden siempre hechas a retribuciones íntegras.
Cuatro. Las referencias contenidas en la normativa vigente relativas a haberes líquidos, a los efectos del cálculo de anticipos reintegrables a los funcionarios, se entenderá hechas a las retribuciones básicas y complementarias que perciban los mismos en sus importes líquidos.
Las relaciones de puestos de trabajo vigentes el 1 de enero del año 2001 podrán ser objeto de las modificaciones necesarias para ajustarlas a las previsiones presupuestarias que se deducen del anexo de personal de la presente Ley.
Uno. Será necesario informe favorable emitido conjuntamente por las Consellerías de Economía y Hacienda y de la Presidencia y Administración Pública para proceder a determinar o modificar las condiciones retributivas del personal no funcionario y laboral al servicio de:
a) Los órganos estatutarios de Galicia, sin perjuicio de lo dispuesto en el artículo 12.2 del Estatuto de Autonomía de Galicia para el Parlamento.
b) La Administración de la Comunidad Autónoma y de sus organismos autónomos.
c) Las Universidades de Galicia.
d) Las fundaciones públicas constituidas por la Comunidad Autónoma para la gestión de servicios sanitarios.
e) Las restantes sociedades públicas autonómicas a que se refiere el artículo 12 del texto refundido de la Ley de Régimen Financiero y Presupuestario de Galicia, aprobado por Decreto Legislativo 1/1999, de 7 de octubre.
f) Las fundaciones en las que exista mayoría de capital público de la Xunta.
Dos. Con carácter previo a las negociaciones de Convenios o acuerdos colectivos que se firmen en el año 2001, habrá de solicitarse de la Consellería de Economía y Hacienda la correspondiente autorización de masa salarial, que cuantifique el límite máximo de las obligaciones que puedan contraerse como consecuencia de dichos pactos, acompañando al efecto la certificación de las retribuciones salariales satisfechas y devengadas durante el año 2000.
Cuando se trate de personal no sujeto a Convenio Colectivo, cuyas retribuciones vengan determinadas en todo o en parte mediante contrato individual, habrán de comunicarse a la Consellería de Economía y Hacienda las retribuciones satisfechas y devengadas durante el año 2000.
Para la determinación de las retribuciones de puestos de trabajo de nueva creación bastará con la emisión del informe a que se refiere el punto uno de este artículo.
Tres. A los efectos de los puntos anteriores, se entenderá por determinación o modificación de condiciones retributivas del personal no funcionario las siguientes actuaciones:
a) Firma de Convenios Colectivos suscritos por los organismos señalados en el punto uno anterior, así como sus revisiones y las adhesiones o extensiones a los mismos.
b) Aplicación de Convenios Colectivos de ámbito sectorial, así como sus revisiones y las adhesiones o extensiones a los mismos.
c) Fijación de retribuciones mediante contrato individual, ya se trate de personal fijo o contratado por tiempo determinado, cuando no vengan reguladas en todo o en parte mediante Convenio Colectivo.
d) Otorgamiento de cualquier clase de mejoras salariales de tipo unilateral con carácter individual o colectivo, aunque se deriven de la aplicación extensiva del régimen retributivo de los funcionarios públicos.
Cuatro. A fin de emitir el informe señalado en el punto uno de este artículo, las Consellerías, organismos y entes remitirán a las Consellerías de Economía y Hacienda y de la Presidencia y Administración Pública el correspondiente proyecto, con carácter previo a su acuerdo o firma en el caso de los Convenios Colectivos o contratos individuales, acompañando la valoración de todos sus aspectos económicos.
Cinco. El señalado informe será cumplimentado en el plazo máximo de quince días, a contar desde la fecha de recepción del proyecto y de su valoración, y versará sobre todos aquellos extremos de los que se deriven consecuencias directas o indirectas en materia de gasto público, tanto para el año 2001 como para ejercicios futuros, y, especialmente, en lo que se refiere a la determinación de la masa salarial correspondiente y al control de su crecimiento, sin perjuicio de lo dispuesto en el artículo 12 de la presente Ley.
Seis. Serán nulos de pleno derecho los acuerdos adoptados en esta materia con omisión del trámite de informe o en contra de un informe desfavorable, así como los pactos que impliquen crecimientos salariales para ejercicio sucesivos contrarios a lo que determinen las futuras leyes de presupuestos.
Siete. No podrán autorizarse gastos derivados de la aplicación de las retribuciones para el año 2001 sin el cumplimento de los requisitos establecidos en este artículo.
En los contratos laborales del personal de alta dirección de las entidades a que se refiere este artículo no podrán fijarse indemnizaciones, en razón de la extinción de la relación jurídica con la entidad correspondiente, de cuantía superior a la fijada en la legislación reguladora de esta relación laboral de carácter especial.
Excepcionalmente, el Consello de la Xunta podrá autorizar rizar la inclusión de cláusulas indemnizatorias que garanticen hasta un 15 por 100 de las retribuciones que se percibirían desde la extinción anticipada de la relación laboral hasta el término inicialmente previsto como duración del contrato, con un máximo de 12 mensualidades.
En cualquier caso, cuando la extinción de la relación laboral tuviese lugar dentro de los últimos doce meses de vigencia del vínculo contractual, la única indemnización aplicable será la prevista en el párrafo primero de este artículo.
Uno. Las Consellerías y organismos autónomos podrán formalizar durante el año 2001 contrataciones de personal de carácter temporal para la realización de obras o servicios, siempre que se dé la concurrencia de los siguientes requisitos:
a) Que la contratación tenga por objeto la ejecución de obras por administración directa y con aplicación de la legislación de contratos del Estado, o la realización de servicios que tengan la naturaleza de inversiones.
b) Que tales obras o servicios correspondan a inversiones previstas y aprobadas en los presupuestos generales de la Comunidad Autónoma.
c) Que por la naturaleza de las obras o servicios no puedan ser ejecutados por personal fijo.
Del cumplimiento de los anteriores requisitos ha de dejarse constancia en el correspondiente expediente de contratación.
Dos. Los contratos tendrán que formalizarse siguiendo las prescripciones de los artículos 15 y 17 del Estatuto de los Trabajadores y con arreglo a lo dispuesto en la Ley 53/1984, de 26 de diciembre, de Incompatibilidades del Personal al Servicio de las Administraciones Públicas. En los contratos se hará constar la obra o servicio para cuya realización se formaliza el contrato y el tiempo de duración, así como el resto de las formalidades que impone la legislación sobre contratos laborales, eventuales o temporales. Los incumplimientos de estas obligaciones formales, así como la asignación de personal contratado para funciones distintas de las que se determinen en los contratos, de los que pudiesen derivarse derecho de fijeza para el personal contratado, podrán dar lugar a la exigencia de responsabilidades, según el artículo 122 del texto refundido de la Ley de Régimen Financiero y Presupuestario de Galicia, aprobado por Decreto Legislativo 1/1999, de 7 de octubre.
El gasto generado por estas contrataciones, con excepción de las sujetas normativamente al Real Decreto 1435/1985, de 1 de agosto, por el que se regula la relación laboral especial de artistas en espetáculos públicos, y el gasto que corresponda a las contrataciones de personal eventual dedicado a la extinción de incendios forestales, se imputará al concepto 131 del programa correspondiente de la Consellería de que se trate.
Tres. La realización de estos contratos será objeto de fiscalización previa en los casos en que la misma resulte preceptiva, de conformidad con lo establecido en los artículos 94 a 117 del texto refundido de la Ley de Régimen Financiero y Presupuestario de Galicia, aprobado por Decreto Legislativo 1/1999, de 7 de octubre. La intervención delegada de la Consellería certificará que existe crédito adecuado y suficiente en la aplicación presupuestaria que corresponda computado siempre en su proyección anual.
Cuatro. La contratación podrá exceder del ejercicio presupuestario cuando se trate de obras o servicios que sobrepasen dicho ejercicio y correspondan a proyectos de inversión de carácter plurianual que cumplan los requisitos que para éstos se prevén en el artículo 58 del texto refundido de la Ley de Régimen Financiero y Presupuestario de Galicia, aprobado por Decreto Legislativo 1/1999, de 7 de octubre, o en esta propia Ley de Presupuestos Generales de la Comunidad Autónoma para el año 2001.
Cinco. El servicio jurídico de la Consellería, organismo o entidad emitirá informe sobre los contratos con carácter previo a su formalización y, en especial, se pronunciará sobre la modalidad de contratación utilizada y la observancia en las cláusulas del contrato de los requisitos y formalidades exigidos por la legislación laboral.
Seis. No podrán realizarse contrataciones de personal de carácter temporal para la realización de obras o servicios previstos en el anexo de inversiones sin autorización previa de la Consellería de la Presidencia y Administración Pública.
Siete. Los contratos que se hubiesen iniciado durante el ejercicio de 1999 o anteriores y que tengan una fecha de finalización posterior al 31 de diciembre de 1999 podrán continuar imputándose al capítulo VI del presupuesto de gastos de la correspondiente Consellería hasta su finalización.
Uno. El Consello de la Xunta podrá autorizar, a propuesta de la Consellería de la Presidencia y Administración Pública o, en su caso, de las Consellerías competentes en la materia y con el informe favorable de la Consellería de Economía y Hacienda, la convocatoria de plazas vacantes que se considere que puedan afectar al funcionamiento de los servicios públicos esenciales, y que se concentrarán en los sectores, funciones y categorías profesionales que se consideren absolutamente prioritarios, siempre que el número de plazas de nuevo ingreso sea inferior al 25 por 100 de la tasa de reposición de efectivos. A estos efectos se considerarán efectivos aquellos que vengan desempeñando su actividad en servicios que tienen carácter permanente en la Comunidad Autónoma. A este fin, se realizarán las adecuaciones en los presupuestos que resulten precisas y siempre de acuerdo con lo previsto en el artículo 9 de la presente Ley.
Dos. La restricción sobre el número de plazas indicada en el punto anterior no será de aplicación a las relativas al personal adscrito a centros de enseñanza, sanitarios y de servicios sociales, que se ajustarán en todo caso a los efectivos dotados presupuestariamente.
Tres. No obstante lo dispuesto en el apartado uno de este artículo, podrán convocarse los puestos o plazas que, estando presupuestariamente dotados e incluidos en las correspondientes relaciones de puestos de trabajo, catálogos o plantillas, se encuentren desempeñados interina o temporalmente.
Cuatro. Durante el año 2001 no se procederá a la contratación de nuevo personal temporal ni al nombramiento de funcionarios interinos, salvo en casos excepcionales y para cubrir necesidades urgentes e inaplazables, con autorización conjunta de las Consellerías de la Presidencia y Administración Pública y de Economía y Hacienda.
Adecuándose estrictamente a las necesidades del servicio y con el límite máximo de las previsiones presupuestarias que se establecen al efecto, no será necesaria esa autorización para las contrataciones siguientes:
a) Personal docente.
b) Personal que preste servicios en instituciones sanitarias dependientes del Servicio Gallego de Salud.
c) Personal laboral de centros y residencias de servicios sociales.
Asimismo, y siempre dentro de las limitaciones presupuestarias previstas, no requerirán autorización previa las contrataciones para sustituciones del personal que resulten imprescindibles para el buen funcionamiento de los servicios.
Cinco. Las convocatorias de plazas vacantes de los entes públicos a que se refiere el apartado b) del punto 1 del artículo 12 del texto refundido de la Ley de Régimen Financiero y Presupuestario de Galicia, aprobado por Decreto Legislativo 1/1999, de 7 de octubre, y de las sociedades de carácter mercantil dependientes del ente público Compañía de Radio-Televisión de Galicia habrán de ser autorizadas conjuntamente por las Consellerías de la Presidencia y Administración Pública y de Economía y Hacienda.
Seis. En todo caso, en materia de oferta de empleo público se tendrán en cuenta los criterios establecidos en la normativa básica estatal.
Uno. De conformidad con lo dispuesto en el artículo 54.4 de la Ley Orgánica 11/1983, de 25 de agosto, de Reforma Universitaria, se autorizan para el año 2001 los costes de personal funcionario, docente y no docente, de las Universidades de competencia de la Administración Autonómica, por los siguientes importes que se indican a continuación:
| Universidad | Personal funcionario docente | Personal funcionario no docente | 
|---|---|---|
| Santiago de Compostela. | 7.674.811.968 | 1.486.145.146 | 
| A Coruña. | 4.439.544.224 | 1.329.389.015 | 
| Vigo. | 4.791.725.771 | 1.484.753.400 | 
Dos. Las Universidades de competencia de la Administración de la Comunidad Autónoma ampliarán sus créditos del capítulo I en función de la distribución que del crédito 07.05.322C.440.0 realice la Consellería de Educación y Ordenación Universitaria, en cuyo caso no será de aplicación el contenido del artículo 55.1 de la citada Ley Orgánica de Reforma Universitaria.
Se autoriza al Consello de la Xunta de Galicia, dentro de las disponibilidades presupuestarias existentes, para dictar las disposiciones y adoptar los acuerdos que afecten al régimen jurídico y retributivo del personal sanitario funcionario perteneciente a la clase de Matronas titulares que sean necesarios para la implantación de la nueva ordenación de la atención primaria en la Comunidad Autónoma de Galicia, con la adecuación funcional, territorial y retributiva de sus puestos de trabajo, sin menoscabo del respeto al Estatuto Funcionarial de estos profesionales.
Uno. La posición neta deudora de la Comunidad Autónoma al final del ejercicio no experimentará variación.
Dos. Se autoriza al Instituto Gallego de la Vivienda y Suelo a concertar con entidades financieras préstamos hipotecarios subrogables con destino a la financiación de actuaciones en materia de vivienda y suelo, no pudiendo establecerse ningún tipo de cláusula de la que se derive responsabilidad por parte del Instituto Gallego de la Vivienda y Suelo una vez realizada la subrogación.
El importe de los créditos hipotecarios vivos en el año 2001 no podrá superar en ningún caso la cifra existente, al cierre del ejercicio del año anterior.
Para su instrumentación será preciso informe favorable de la Consellería de Economía y Hacienda.
El Consello de la Xunta, a propuesta del Conselleiro de Economía y Hacienda podrá concertar o emitir operaciones de deuda de tesorería, durante el ejercicio del año 2001, con arreglo a lo dispuesto en el artículo 31 del texto refundido de la Ley de Régimen Financiero y Presupuestario de Galicia, aprobado por Decreto Legislativo 1/1999, de 7 de octubre, hasta un importe que no supere el 15 por 100 de la consignación que figura en el presupuesto de la Administración General como ingresos corrientes incondicionados, entendiendo como tal la suma de los capítulos I, II y III y los conceptos 400 y 408.
Uno. Durante el ejercicio del año 2001 los organismos autónomos y sociedades públicas de la Comunidad Autónoma podrán concertar operaciones para atender a necesidades transitorias de tesorería, en plazo de reembolso no superior a un año, con un límite máximo del 10 por 100 de su previsión inicial de ingresos corrientes o de explotación. La superación de este límite habrá de ser autorizada por el Conselleiro de Economía y Hacienda.
Dos. En ningún caso podrán concertarse sin autorización previa del Conselleiro de Economía y Hacienda operaciones que impliquen la superación de la variación de pasivos establecida en los presupuestos iniciales de los organismos autónomos y sociedades públicas de la Comunidad Autónoma.
Tres. En todo caso, las disposiciones de las operaciones financieras previstas en este artículo habrá de ser comunicadas a la Consellería de Economía y Hacienda en el plazo máximo de un mes.
Uno. Con carácter general y de conformidad con lo dispuesto en el artículo 41 del texto refundido la Ley de Régimen Financiero y Presupuestario de Galicia, aprobado por Decreto Legislativo 1/1999, de 7 de octubre, el importe máximo de los avales que podrán ser concedidos por la Xunta de Galicia durante el año 2001 será de 2.000.000.000 de pesetas.
Con independencia de esa cantidad, el Igape podrá conceder avales en cuantía que no supere en ningún momento un saldo efectivo vigente de 25.000.000.000 de pesetas.
No obstante, por acuerdo de la Comisión Delegada de la Xunta de Galicia para Asuntos Económicos, podrá autorizarse la ampliación de la cantidad fijada para el Igape hasta un importe igual al no utilizado por la Xunta, sin que en ningún caso el saldo efectivo vigente del conjunto de los avales que por este artículo se autorizan pueda superar la cifra de 27.000.000.000 de pesetas.
Dos. El Consello de la Xunta, a propuesta del Conselleiro de Economía y Hacienda, podrá acordar, previa petición fundada de los interesados, a la Consellería correspondiente, y a instancia de la misma, el inejercicio de las acciones de regreso que al amparo del artículo 10.2 del Decreto 284/1994, de 15 de septiembre, de Regulación de Avales del Instituto Gallego de Promoción Económica, corresponden a la Comunidad Autónoma como consecuencia de la prestación por aquél de avales o contraavales, cuando, de hacerse efectivas aquéllas, se afectase grave o sustancialmente al mantenimiento de la capacidad productiva o del nivel de empleo o de renta de cualquiera de los sectores o subsectores básicos de la economía gallega.
Uno. Se elevan los tipos de las tasas de cuantía fija establecidas en el Decreto Legislativo 1/1992, de 11 de abril, por el que se aprueba el texto articulado de las bases contenidas en el capítulo III del título II de la Ley 13/1991, de 9 de diciembre, de Tasas, Precios y Exacciones Reguladoras de la Comunidad Autónoma de Galicia, y demás normas que lo modifican, hasta la cantidad que resulte de la aplicación del coeficiente del 1,03 a las cuantías exigibles a la entrada en vigor de la presente Ley, exceptuando las tarifas que experimenten alguna modificación en la cuantía en el número dos de este artículo; este coeficiente será de aplicación a las cuantías que con carácter mínimo o máximo se establecen en todo tipo de tarifas, tanto de tasas de cuantía fija como variable.
El resultado de la aplicación del anterior coeficiente se obtendrá teniendo en cuenta la siguiente norma de redondeo: Se redondea al 5 las comprendidas entre el 1 y el 5, y al 0 las comprendidas entre el 6 y el 9, con el aumento en este último supuesto de una cantidad en la cifra de las decenas. Cuando el redondeo sea inferior a 20 pesetas no se redondeará, tampoco se producirá ese redondeo cuando se trate de tarifas fijadas en función de algún tipo de unidad y exista un máximo fijado en la misma y se obtenga un redondeo inferior a 100 pesetas.
Se consideran tasas de cuantía fija cuando no están determinadas por un porcentaje sobre una base o ésta no se valora en unidades monetarias.
Se exceptúan del incremento establecido anteriormente aquellas tasas que se recaudan mediante efectos timbrados.
Dos. Se introducen las siguientes modificaciones en el Decreto Legislativo 1/1992, en su redacción vigente:
1) Se modifica el apartado 19 del artículo 18, que queda redactado como sigue:
«19. Inscripción para la realización de pruebas extraordinarias de aptitud para la obtención de los certificados profesionales de pesca y buceo: 2.500 pesetas.»
2) Se modifica el apartado 20 del artículo 18, que queda redactado como sigue:
«20. Expedición de títulos académicos y profesionales correspondientes a las enseñanzas establecidas por la LOGSE y de sus duplicados:
| Título | Tarifa normal – Pesetas | Familia numerosa 1.ª categoría – Pesetas | Familia numerosa 2.ª categoría – Pesetas | Duplicado – Pesetas | 
|---|---|---|---|---|
| Bachiller. | 6.970 | 3.490 | 0 | 640 | 
| Técnico. | 2.850 | 1.430 | 0 | 330 | 
| Técnico superior. | 6.970 | 3.490 | 0 | 640 | 
| Conservación y Restauración de Bienes Culturales. | 6.970 | 3.490 | 0 | 640 | 
| Certificado de aptitud ciclo superior del primer nivel de Enseñanzas Especializadas de Idiomas. | 3.315 | 1.675 | 0 | 320 | 
| Profesional de Música. | 3.330 | 1.665 | 0 | 310» | 
3) Se suprime el subapartado 02 del apartado 21 del artículo 18.
4) Se modifica el subapartado 03 del apartado 21 del artículo 18, que queda redactado como sigue:
«03. Por expedición de tarjetas acreditativas de las titulaciones o certificados anteriores: 7.000 pesetas.»
5) Se modifica el subapartado 04 del apartado 21 del artículo 18, que queda redactado como sigue:
«04. Renovación de tarjetas acreditativas de las titulaciones de patrón de embarcación de recreo: 4.000 pesetas.
Cuando las anteriores renovaciones tengan un período de validez de dos años: 800 pesetas.»
6) Se modifica la redacción del apartado 26 del artículo 18, que queda como sigue:
«26. Emisión de tarjetas correspondientes a los certificados profesionales de pesca y buceo.»
7) Se añade el apartado 31 al artículo 18, con la siguiente redacción:
«31. Homologación de la formación y calificación de los Mediadores e inscripción en el Registro de Mediadores:
01. Homologación e inscripción en el Registro: 15.000 pesetas.
02. Renovación de la homologación: 2.000 pesetas.»
8) Se añade el apartado 32 al artículo 18, con la siguiente redacción:
«32. Emisión de certificaciones de ejecución de obras públicas: 1.000 pesetas.»
9) Se modifica el subapartado 01 del apartado 07 del artículo 23, que queda redactado como sigue:
«01. Comprobación sanitaria, lucha contra enfermedades de las ganaderías afectadas y en las campañas de saneamiento cuando la prestación deba realizarse por incumplimiento de la normativa que la regula o para movimiento pecuario fuera del período de revisión obligatoria, o por pérdida de la identificación del ganado:
Por explotación: 15.000 pesetas.
Por cada animal:
Équidos, bóvidos, ovino, caprino y similares (por cabeza): 515 pesetas.
Mínimo: 10.000 pesetas.
Máximo: 30.900 pesetas.
Porcino (por cabeza): 105 pesetas.
Máximo: 12.345 pesetas.
Aves, conejos, visones y similares (por cabeza): 2,31 pesetas.
Máximo: 6.170 pesetas.
Colmenas, por unidad: 66 pesetas.
Máximo: 6.170 pesetas.»
10) Se modifica el subapartado 02 del apartado 07 del artículo 23, que queda redactado como sigue:
«02. Prestación de servicios facultativos relacionados con los análisis, dictámenes, peritajes, etcétera, cuando así lo exija la normativa vigente:
Por análisis fisicoquímicos o bromatológicos (por determinación): 790 pesetas.
Máximo: 6.170 pesetas.
Por recuento celular:
Por muestra de leche: 52 pesetas.
Por otras muestras: 130 pesetas.
Máximo: 1.245 pesetas.
Aislamiento e identificación bacteriológicos:
Por muestra de leche: 105 pesetas.
Por otras muestras: 290 pesetas.
Máximo: 1.245 pesetas.
Determinación de susceptibilidad de antimicrobianos e inhibidores del crecimiento con muestras o tejidos o secreciones de animales:
Por muestra de leche: 155 pesetas.
Por otras muestras: 405 pesetas.
Análisis parasitológicos (por muestra): 405 pesetas. Serodiagnóstico y pruebas alérgicas (por determinación): 445 pesetas.
Porcino: cada 30 muestras y por enfermedad investigada correspondientes a explotaciones integradas en agrupaciones de defensa sanitaria: 430 pesetas.
Necropsias y análisis anatomopatológicos por muestra o animal:
Vacuno, equino y similares (adultos): 2.480 pesetas.
Porcino, ovino, caprino, perros y similares: 1.860 pesetas.
Aves, conejos o similares: 630 pesetas.
Análisis histopatológico (por animal): 810 pesetas.
Análisis virológico:
Aislamiento e identificación (por muestra): 810 pesetas.
Otras técnicas virológicas (por técnica): 445 pesetas.
Contrastación de dosis seminales de vacuno: 3.000 pesetas.
Mínimo, en cualquier caso: 415 pesetas.»
11) Se modifica el subapartado 03 del apartado 07 del artículo 23, que queda redactado como sigue:
«03. Autorizaciones y revisiones relativas a las actividades contempladas en los artículos 4, 39, 56, 76, 87 y 92 del Real Decreto 109/1995, de 27 de enero, sobre Medicamentos Veterinarios:
Autorización inicial, ampliación o cambio de ubicación:
Centros elaboradores de autovacunas: 22.000 pesetas.
Resto de las autorizaciones contempladas: 18.000 pesetas.
Revisión:
Centros elaboradores de autovacunas: 12.000 pesetas.
Resto de las autorizaciones contempladas: 9.000 pesetas.»
12) Se modifica el subapartado 04 del apartado 07 del artículo 23, que queda redactado como sigue:
«04. Expedición de certificados zoosanitarios y zootécnicos, incluidos los relacionados con movimientos de animales vivos y productos de origen animal (mínimo 415 pesetas, por cada certificación):
Équidos, bóvidos adultos y similares (por animal): 335 pesetas.
Máximo: 6.685 pesetas.
Ovino, caprino, porcino, terneros, colmenas y similares (por animal o colmena): 62 pesetas.
Máximo: 1.860 pesetas.
Lechones, corderos, cabritos y animales de peletería (por animal): 36 pesetas.
Máximo: 1.860 pesetas.
Conejos y similares, gallinas y otras aves (por animal), esperma, óvulos y embriones (por unidad): 1,24 pesetas.
Máximo: 1.860 pesetas.
Peces vivos, gametos y moluscos para reaparcamiento o depuración, por tonelada o fracción: 260 pesetas.
Máximo: 3.095 pesetas.
Productos de origen animal, incluidos los destinados a alimentación animal (por tonelada): 315 pesetas.
Máximo: 3.710 pesetas.
Certificado de transporte: 400 pesetas.
Comprobación de carga:
Équidos, bóvidos y similares: 17.465 pesetas.
Porcino, ovino, caprino y similares: 11.645 pesetas.
Aves, conejos, visones, colmenas y similares: 5.820 pesetas.
Esperma, óvulos y embriones (por unidad): 2,06 pesetas.
Máximo: 5.000 pesetas.»
13) Se modifica el subapartado 05 del apartado 07 del artículo 23, que queda redactado como sigue:
«O5. Autorización, vigilancia y revisión de operaciones de desinfección:
Por autorización de centros de desinfección: 10.000 pesetas.
Por revisión anual de los centros de desinfección: 5.000 pesetas.
Por vigilancia y revisión de las operaciones en vehículo o embarcación: 1.080 pesetas.
Por vigilancia y revisión de las operaciones en local, nave o explotación: 1.350 pesetas.»
14) Se modifica el subapartado 06 del apartado 07 del artículo 23, que queda redactado como sigue:
«06. Autorizaciones de delegaciones y depósitos de productos genéticos, centros de recogida de esperma e inseminación artificial y autorizaciones de paradas de sementales, y revisión anual de las autorizaciones y de los animales alojados en dichos centros:
Por autorización de delegaciones de productos genéticos: 13.355 pesetas.
Por autorización de depósito de productos genéticos: 9.730 pesetas.
Por revisión anual de delegaciones: 6.490 pesetas.
Por revisión anual de depósitos: 3.900 pesetas.
Por autorización de centros de recogida de esperma e inseminación artificial: 13.355 pesetas.
Por autorización de parada de sementales: 3.000 pesetas.
Por revisión anual de los animales alojados en dichos centros:
Por revisión de sementales:
Équinos y bovinos (por unidad): 1.000 pesetas.
Ovinos, caprinos y porcinos (por unidad): 200 pesetas.»
15) Se modifica el subapartado 09 del apartado 07 del artículo 23, que queda redactado como sigue:
«09. Autorización y registro de comerciantes de ganado y centros de concentración:
Autorización y registro de operadores comerciales de ganado: 1.350 pesetas.
Expedición y actualización de la acreditación de operador comercial de ganado: 1.350 pesetas.
Expedición de duplicados de la acreditación de operador comercial de ganado: 2.700 pesetas.
Autorización de centros de concentración: 15.000 pesetas.
Revisión y renovación anual: 5.000 pesetas.»
16) Se suprime el subapartado 17 del apartado 07 del artículo 23.
17) Se suprime el subapartado 18 del apartado 07 del artículo 23.
18) Se añade el subapartado 24 al apartado 07 del artículo 23, con la siguiente redacción:
«24. Autorizaciones y revisiones de fábricas de pienso para la elaboración y comercialización de piensos medicamentosos con arreglo al Real Decreto 157/1995, de 3 de febrero, y de los centros de dispensación de éstos (en este último caso, no será acumulativa con la tasa 31.07.03 cuando el dispensador solicite conjuntamente autorización como dispensador de medicamentos veterinarios y piensos medicamentosos):
Autorización inicial, ampliación y cambio de ubicación:
Fabricación de piensos medicamentosos: 28.000 pesetas.
Dispensación de piensos medicamentosos: 18.000 pesetas.
Revisión:
Fabricación de piensos medicamentosos: 15.000 pesetas.
Dispensación de piensos medicamentosos: 9.000 pesetas.»
19) Se añade el subapartado 25 al apartado 07 del artículo 23, con la siguiente redacción:
«25. Autorizaciones y/o registros de establecimientos intermediarios del sector de alimentación animal en la Comunidad Autónoma de Galicia con arreglo al Decreto 92/1999, de 25 de marzo, que desarrolla el Real Decreto 1191/1998, de 12 de junio:
Autorización inicial, ampliación o cambio de ubicación:
Fabricación de aditivos, productos, premezclas o piensos: 35.000 pesetas.
Intermediarios de aditivos, productos o premezclas: 18.000 pesetas.
Registro inicial, ampliación o cambio de ubicación:
Fabricación de aditivos, productos, premezclas o piensos: 30.000 pesetas.
Intermediarios de aditivos, productos o premezclas: 18.000 pesetas.
Revisión:
Fabricación de aditivos, productos, premezclas o piensos: 15.000 pesetas.
Intermediarios de aditivos, productos o premezclas: 9.000 pesetas.»
20) Se modifica el subapartado 01 del apartado 14 del artículo 23, que queda redactado como sigue:
«01. Autorización previa de instalación o modificación:
a) Fase de estudio e informe del proyecto de instalación o modificación:
Hospitales y balnearios: 33.370 pesetas.
Servicios sanitarios hospitalarios: 26.700 pesetas.
Servicios de farmacia de centros hospitalarios: 26.700 pesetas.
Servicios de farmacia de centros de asistencia social y psiquiátricos: 26.700 pesetas.
Unidad de radiofarmacia: 26.700 pesetas.
Oficinas de farmacia: 81.885 pesetas.
Botiquines de medicamentos y productos sanitarios: 20.475 pesetas.
Servicios farmacéuticos de explotaciones ganaderas, comerciales detallistas y botiquines de urgencia: 19.535 pesetas.
Unidades de dosificación de medicamentos: 21.140 pesetas.
Centros de distribución de medicamentos y productos sanitarios: 51.245 pesetas.
Resto de centros, servicios o establecimientos sanitarios: 13.355 pesetas.
b) Fase de estudio e informe del proyecto para el traslado y transmisión de
Oficinas de farmacia: 40.945 pesetas.
c) Fase de estudio del proyecto para el cierre o supresión de:
Oficinas de farmacia: 20.475 pesetas.
Centros de distribución de medicamentos y productos sanitarios: 12.810 pesetas.
Unidades de radiofarmacia: 6.675 pesetas.»
21) Se modifica el subapartado 02 del apartado 14 del artículo 23, que queda redactado como sigue:
«02. Autorización de funcionamiento:
Fase de visita de inspección, una vez finalizadas las obras e instalado el equipamiento y emisión del informe previo al permiso para su apertura: 13.355 pesetas.»
22) Se añade el subapartado 07 al apartado 14 del artículo 23, que queda redactado como sigue:
«07. Autorización de funcionamiento según la normativa vigente en materia de autorización de centros, servicios y establecimientos sanitarios en funcionamiento: 25.930 pesetas.»
23) Se añade el subapartado 08 al apartado 14 del artículo 23, que queda redactado como sigue:
«08. Renovación, autorización de funcionamiento: 12.965 pesetas.»
24) Se modifica la redacción del apartado 17 del artículo 23, que queda como sigue:
«17. Autorización y/o acreditación de centros sanitarios extractores y transplantadores de órganos, o de obtención e implantación de tejidos.»
25) Se modifica el subapartado 19 del artículo 23, que queda redactado como sigue:
«19. Actuaciones en materia de turismo:
01. Apertura y clasificación; cambios de grupo, categoría, titularidad, especialidad, modalidad, ampliaciones, modificaciones, reformas y cualquier otro sujeto a autorización turística de establecimientos hoteleros, extrahoteleros y turismo rural:
Establecimientos de hasta 10 unidades de alojamiento:
Apertura y clasificación: 7.875 pesetas.
Cambios: 3.940 pesetas.
Establecimientos de 11 a 20 unidades de alojamiento:
Apertura y clasificación: 11.250 pesetas.
Cambios: 5.625 pesetas.
Establecimientos de 21 de 50 unidades de alojamiento:
Apertura y clasificación: 20.245 pesetas.
Cambios: 10.125 pesetas.
Establecimientos de 51 a 100 unidades de alojamiento:
Apertura y clasificación: 28.115 pesetas.
Cambios: 14.060 pesetas.
Establecimientos de más de 100 unidades de alojamiento:
Apertura y clasificación: 33.740 pesetas.
Cambios: 16.870 pesetas.
03. Apertura y clasificación; cambios de categoría, titularidad, ampliaciones, modificaciones, reformas y cualquier otro sujeto a autorización turística de campamentos de turismo:
Campamento de turismo de hasta 100 plazas:
Apertura y clasificación: 16.875 pesetas.
Cambios: 8.435 pesetas.
Campamento de turismo de 101 a 200 plazas:
Apertura y clasificación: 22.495 pesetas.
Cambios: 11.250 pesetas.
Campamento de turismo de más de 200 plazas:
Apertura y clasificación: 28.115 pesetas.
Cambios: 14.060 pesetas.
04. Autorización, concesión de los títulos licencia, cambios de grupo, titularidad, domicilio y cualquier otro sujeto a autorización turística de las agencias de viajes y de las sucursales:
Agencias de viajes:
Concesión título licencia: 28.115 pesetas.
Cambios: 14.060 pesetas.
Sucursales:
Autorización: 11.250 pesetas.
Cambios: 5.625 pesetas.
05. Apertura y clasificación; cambios de categoría, titularidad, ampliaciones, modificaciones, reformas y cualquier otro sujeto a autorización turística de restaurantes, cafeterías, cafés, bares y discotecas, salas de fiestas y empresas de cátering y de colectividades:
Apertura y clasificación: 10.920 pesetas.
Cambios: 5.460 pesetas.
06. Expedición de la habilitación de guía de turismo especializado de Galicia: 5.460 pesetas.
07. Inscripción para participar en los exámenes para la habilitación de guía de turismo especializado de Galicia: 5.460 pesetas.
08. Renovación de las habilitaciones de guía de turismo especialidad de Galicia: 2.060 pesetas.
09. Autorización y cambios de titularidad, modificaciones y cualquier otro sujeto a autorización turística de las empresas relacionadas con la organización de actividades de turismo activo:
Autorización: 10.300 pesetas.
Cambios: 5.150 pesetas.»
26) Se modifica el subapartado 06 del apartado 07 del artículo 24, que queda redactado como sigue:
«06. Autorización de organismos notificados, laboratorios de ensayo, entidades auditoras y de inspección y laboratorios de calibración industrial: 30.850 pesetas.»
27) Se añade el subapartado 15 al apartado 07 del artículo 24, con la siguiente redacción:
«15. Autorización de organismos de control autorizados y verificadores medioambientales: 30.850 pesetas.»
28) Se añade el subapartado 16 al apartado 07 del artículo 24, con la siguiente redacción:
«16. Renovación de la autorización de utilización de productos: 6.175 pesetas.»
29) Se modifica el subapartado «e)» del apartado 29 del artículo 24, que queda redactado como sigue:
«e) Perímetros de protección:
Por las primeras 30 hectáreas: 200.000 pesetas.
Por cada una de las restantes: 500 pesetas.»
30) Se suprime el apartado 30 del artículo 24.
31) Se modifica el subapartado 02 del apartado 39 del artículo 24, que queda redactado como sigue:
«02. Cambio de titularidad, renovación de la autorización e inscripción: Sobre la tarifa anterior se devengará el 50 por 100 de ésta.»
32) Se modifica el apartado 47 del artículo 24, que queda redactado como sigue:
«47. Autorizaciones para realizar comprobaciones de tensiones de paso y de contacto de instalaciones de puesta a tierra: 11.985 pesetas.»
33) Se modifica el apartado 05 del artículo 28, que queda redactado como sigue:
«05. Venta del libro: Diario de buceo: 500 pesetas.»
La cuantía a que se refiere el artículo 97.1 del texto refundido de la Ley de Régimen Financiero y Presupuestario de Galicia, aprobado por Decreto Legislativo 1/1999, de 7 de octubre, queda establecida en 1.100.000 pesetas para el ejercicio del año 2001.
La fiscalización de nombramientos y de contratos para sustituciones de personal por razones de necesidad y de urgencia coyuntural se realizará con carácter previo al alta en nómina, verificándose la adecuación del proceso de selección con la normativa vigente, y la existencia de nombramiento o de contrato, y de crédito adecuado y suficiente de acuerdo con el procedimiento de control que al efecto determine la intervención general.
Las modificaciones de los programas de inversión que impliquen el inicio de nuevos proyectos o la variación de los existentes requerirán la asignación de un nuevo código por la intervención delegada de la Consellería correspondiente, previa tramitación de la oportuna modificación por el órgano competente según lo previsto en el texto refundido de la Ley de Régimen Financiero y Presupuestario de Galicia, aprobado por Decreto Legislativo 1/1999, de 7 de octubre.
Requerirá autorización previa por parte del Consello de la Xunta la tramitación de expedientes de gasto de los capítulos II y VI por cuantía superio a 500.000.000 de pesetas. Una vez obtenida la autorización, la aprobación del gasto corresponderá al órgano de contratación de la Consellería, organismo o sociedad pública que gestione el crédito.
Con independencia de los supuestos previstos en el artículo 58 del texto refundido de la Ley de Régimen Financiero y Presupuestario de Galicia, aprobado por Decreto Legislativo 1/1999, de 7 de octubre, por acuerdo del Consello de la Xunta se podrán adquirir compromisos de gastos de carácter plurianual en la tramitación de expedientes que tengan alguna de las siguientes finalidades:
a) Adquisición de viviendas para la calificación de promoción pública.
b) Adquisición de terrenos para la construcción de viviendas de protección oficial.
c) Concesión de préstamos para la promoción de viviendas mediante convenios.
d) Ayudas económicas personales y para el apoyo financiero en viviendas sociales.
e) Concesión de subvenciones para subsidiación de intereses de préstamos para viviendas de protección oficial.
f) Contratos de seguros de gestión centralizada.
Los créditos destinados al pago de expropiaciones autorizadas con motivo de la realización de expedientes de obras, que al final del anterior ejercicio hubiesen dado lugar a la emisión de documentos «ADOK» en formalización con imputación a la cuenta extrapresupuestaria, serán considerados en el año 2001 como ingresos del artículo 68, «Reintegros por operaciones de capital», y darán lugar a la generación de crédito en el subconcepto de expropiaciones del capítulo VI de gastos.
Con carácter general se autoriza a los órganos de contratación la tramitación urgente, prevista en el artículo 71 del texto refundido de la Ley de Contratos de las Administraciones Públicas, aprobado por Real Decreto Legislativo 2/2000, de 16 de junio.
A los efectos de lo establecido en este artículo, son órganos de contratación de la Xunta los establecidos en el artículo 72 del texto refundido de la Ley de Régimen Financiero y Presupuestario de Galicia, aprobado por Decreto Legislativo 1/1999, de 7 de octubre.
Con carácter general las revisiones de precios que se establezcan en los conciertos o convenios que firmen durante el año 2001 la Administración General de la Comunidad Autónoma, sus organismos autónomos o las entidades de derecho público previstas en el artículo 12.1.b) del texto refundido de la Ley de Régimen Financiero y Presupuestario de Galicia, aprobado por Decreto Legislativo 1/1999, de 7 de octubre, así como las revisiones de precios y tarifas de conciertos o convenios establecidos con anterioridad, no podrán superar el incremento del índice de precios al consumo (IPC) gallego durante el ejercicio.
Excepcionalmente, por causas plenamente justificadas o por alteración de las condiciones de los conciertos o convenios, el Conselleiro de Economía y Hacienda, a propuesta de la Consellería correspondiente, podrá autorizar la inclusión de cláusulas de revisión por cuantía diferente a la indicada en el párrafo anterior.
Con independencia de lo dispuesto en el artículo 78 del texto refundido de la Ley de Régimen Financiero y Presupuestario de Galicia, aprobado por Decreto Legislativo 1/1999, de 7 de octubre, podrán concederse de forma directa ayudas o subvenciones en los siguientes casos:
a) Las que se deriven de convenios entre la Comunidad Autónoma y entes públicos o privados para prestación de servicios o actividades de carácter público o de interés general, o para la adquisición de bienes de interés público, previa oportuna justificación razonada del órgano gestor, en las que no sea posible promover la concurrencia pública por la especificidad de las características que ha de cumplir la entidad o actividad destinataria de la subvención.
b) Las ayudas o subvenciones corrientes a las por su objetivo de utilidad e interés social o cultural, o para promover la consecución de un fin público, no les sean de aplicación los principios de publicidad y concurrencia, siempre que su cuantía no supere el importe de 1.000.000 de pesetas por beneficiario y año y las concedidas por cada Consellería no excedan globalmente de 10.000.000 de pesetas en el ejercicio. Estos importes se elevarán a 3.000.000 y 40.000.000 de pesetas, respectivamente, para la sección 04, servicio 01, Secretaría General del Presidente.
Las que participando de la misma condición excedan de los límites cuantitativos anteriores habrán de ser concedidas por acuerdo motivado del Consello, dando cuenta a la Comisión correspondiente del Parlamento de Galicia.
c) Excepcionalmente, las ayudas o subvenciones de capital, previa declaración por la Comisión Delegada de la Xunta para Asuntos Económicos de su utilidad e interés social o de su carácter estratégico.
Los acuerdos de concesión habrán de ser adoptados por el Consello de la Xunta de Galicia a propuesta de la Consellería competente por razón de la materia.
Sin perjuicio de la justificación o liquidación definitiva de las subvenciones a que se refiere el artículo 78 del texto refundido de la Ley de Régimen Financiero y Presupuestario de Galicia, aprobado por Decreto Legislativo 1/1999, de 7 de octubre, y del control y fiscalización posterior del gasto incurrido, así como de las funciones de inspección y control financiero pertinentes, podrán efectuarse pagos parciales o anticipos de pagos sobre la subvención o ayuda concedida, en los casos y con las condiciones siguientes:
Uno. Subvenciones corrientes:
Para aquéllas que no superen el importe 1.000.000 de pesetas podrá acordarse en el momento de la concesión un anticipo de pago de hasta un 80 por 100 y se librará el importe restante en el momento de la completa justificación por parte del beneficiario del cumplimiento de la finalidad y demás condiciones con las que fue concedida.
Cuando el importe de la ayuda o subvención supere la cifra de 1.000.000 de pesetas y se conceda bajo principios de publicidad y concurrencia a entidades sin ánimo de lucro, podrá autorizarse un anticipo del 10 por 100 de la subvención en el momento de la concesión, siempre que la norma reguladora o convocatoria así lo prevea y establezca los medios documentales de justificación provisional que hayan de aportar los beneficios. Excepcionalmente, y previa oportuna justificación, el Consello de la Xunta de Galicia podrá autorizar que la norma reguladora o convocatoria prevea anticipos, en el momento de la concesión de la subvención, en un porcentaje superior al señalado.
En los demás casos, podrán acordarse pagos parciales a cuenta de la liquidación definitiva, a medida que el beneficiario justifique los libramientos anteriores, hasta el porcentaje que establezca la norma reguladora o convocatoria, que nunca será superior al 80 por 100 de la subvención concedida.
Dos. Subvenciones de capital:
1. En aquellas que no excedan de 5.000.000 de pesetas podrán efectuarse pagos parciales a medida que el beneficiario justifique las inversiones efectuadas. Estos pagos no superarán el 80 por 100 de la subvención concedida, y el importe restante se librará en el momento de la completa justificación por parte del beneficiario del cumplimiento de la finalidad y demás condiciones para las que fue concedida.
2. Igualmente, en aquellas que superen la cifra de 5.000.000 de pesetas podrán efectuarse pagos parciales a cuenta de la liquidación siempre que concurran los requisitos y circunstancias siguientes:
a) Que el interesado lo solicite.
b) Que se justifiquen no sólo la inversión sino los pagos efectuados en la misma proporción que represente el pago parcial respecto a la subvención concedida hasta ese momento con cargo al proceso de inversión aprobado.
c) El importe que pueda satisfacerse por pagos parciales no podrá exceder en ningún caso de la anualidad prevista en cada ejercicio presupuestario ni tampoco superar el 80 por 100 del total de la subvención concedida.
d) Los pagos parciales quedan condicionados al resultado de la liquidación definitiva de la subvención y a estos efectos estarán garantizados mediante seguro de caución prestado por entidad aseguradora o mediante aval subsidiario de entidad de crédito o sociedad de garantía recíproca y deberán alcanzar como mínimo hasta los dos meses siguientes al final del plazo de justificación previsto en la norma reguladora o convocatoria. Este aval estará a disposición de la Consellería gestora y solamente podrá levantarse una vez que la subvención se liquide definitivamente de conformidad o que se haya comprobado la realización de la actividad o proyecto para el que se concedió, de conformidad con lo establecido en la resolución de concesión. Dicho aval garantizará el principal y los intereses calculados por el interés legal del dinero vigente en el momento de la concesión y por un plazo que medie entre la fecha de solicitud y como mínimo aquella en la que se cumplan dos meses del final del plazo de justificación previsto en la norma reguladora o convocatoria.
Quedan exentos de este requisito los beneficiarios que se citan en el apartado tres de este artículo.
3. Con carácter excepcional y por resolución motivada de la Consellería correspondiente, podrá autorizarse un anticipo de hasta el 50 por 100 de subvención en aquellos casos en que la inversión exija pagos inmediatos. En caso de que el anticipo no supere el importe de 5.000.000 de pesetas o corresponda a los beneficiarios que se citan en el apartado tres de este artículo no serán exigibles las garantías previstas en el apartado d) del número 2 anterior.
4. Quedan exentas de los requisitos y limitaciones a que se refieran los apartados dos y tres de este artículo las ayudas y subvenciones instrumentadas mediante convenio con otras administraciones públicas, que se gestionarán en los términos previstos en el mismo.
5. Respecto al Fondo de Cooperación Local se estará a lo dispuesto en su normativa reguladora.
Tres. De acuerdo con la naturaleza y régimen de las subvenciones concedidas con cargo a los presupuestos de la Comunidad Autónoma, quedan exentas de aportar los justificantes del cumplimiento de las obligaciones a que se refiere el artículo 78 del texto refundido de la Ley de Régimen Financiero y Presupuestario de Galicia, aprobado por Decreto Legislativo 1/1999, de 7 de octubre:
a) Las libradas a favor de la Comunidad Autónoma y de sus sociedades públicas, así como de los órganos estatutarios de Galicia.
b) Las libradas a favor de la Administración del Estado, de sus organismos autónomos y de las entidades públicas de ella dependientes, así como de los órganos constitucionales.
c) Las libradas a favor de las universidades.
d) Las libradas a favor de las corporaciones locales.
e) Las becas y ayudas destinadas expresamente a financiar estudios en centros de formación públicos y privados, cuando las perciban directamente las personas individuales beneficiarias.
f) Las subvenciones o ayudas con cargo a los créditos presupuestarios correspondientes al artículo 48, «Familias e instituciones sin fines de lucro», y aquellas que no superen las 250.000 pesetas individualmente y se concedan con cargo al artículo 78, «Familias e Instituciones sin fines de lucro».
g) Las subvenciones o ayudas que se concedan con arreglo al artículo 77 del presupuesto de gastos, cuando no superen por beneficiario y ayuda el importe de 250.000 pesetas.
h) Las concedidas a los beneficiarios para la mejora de la condición de financiación que se abonen a través de las entidades financieras correspondientes.
De conformidad con lo dispuesto en el artículo 18.1 del texto refundido de la Ley General Presupuestaria aprobado por Real Decreto Legislativo 1091/1988, de 23 de septiembre, en los reglamentos (CEE) números 4042/1989 a 4253/1988, ahora integrados en el Reglamento (CEE) número 2080/1994, del Consejo, de 20 de julio de 1994 (Instrumento Financiero de Orientación de la Pesca, IFOP), y en las demás disposiciones de aplicación, corresponde en el ámbito de Galicia a la Intervención General de la Comunidad Autónoma la elaboración y ejecución de los planes de control sobre beneficiarios de ayudas financiadas total o parcialmente con los fondos comunitarios a que se refieren las citadas normas.
A la entrada en vigor de la presente Ley, el 70 por 100 de los créditos afectados a la realización de trabajos de dotación artística, en las aplicaciones correspondientes a proyectos técnicos de obras nuevas del capítulo VI no financiados por el Fondo de Compensación Interterritorial o con fondos finalistas o procedentes de la Unión Europea, será objeto de retención y transferido seguidamente a la Consellería de Cultura, Comunicación Social y Turismo para la finalidad determinada en la Ley 12/1991, de 14 de noviembre, de Trabajos de Dotación Artística en las Obras Públicas y en los Caminos de Santiago de la Comunidad Autónoma de Galicia.
La transferencia indicada tendrá carácter de «a cuenta» sobre la liquidación definitiva del porcentaje que de acuerdo con la Ley 12/1991 corresponde a los trabajos de dotación artística, y no le serán de aplicación las limitaciones establecidas en el artículo 68 del texto refundido de la Ley de Régimen Financiero y Presupuestario de Galicia, aprobado por Decreto Legislativo 1/1999, de 7 de octubre, y en el punto seis del artículo 8 de la presente Ley.
Con la finalidad de continuar el proceso de acercamiento de las retribuciones del profesorado de la enseñanza privada, concertada y subvencionada, a las retribuciones del profesorado de la enseñanza pública de la Comunidad Autónoma, así como de proseguir el proceso de aplicación de los equipos docentes de centros privados concertados, se autoriza al Consello de la Xunta para establecer, en función de los acuerdos que puedan alcanzarse y dentro de los créditos presupuestados, el importe anual de los módulos económicos de distribución de fondos públicos para el sostenimiento de centros concertados, dentro de los créditos presupuestados.
Uno. La Consellería de Economía y Hacienda facilitará trimestralmente a la Comisión de Economía, Hacienda y Presupuestos del Parlamento información referente a las siguientes actuaciones:
a) Ampliaciones de crédito realizadas para atender al pago de obligaciones derivadas de quiebras de operaciones de crédito avaladas por la Comunidad Autónoma.
b) Operaciones de endeudamiento por plazo superior a un año, formalizadas por la Comunidad Autónoma y por sus organismos autónomos o sociedades públicas, con arreglo a las autorizaciones contenidas en la presente Ley.
c) Avales amortizados, pagos efectuados por fallidos, importes recuperados y riesgo acumulado, tanto por lo que respeta a los avales concedidos por la Comunidad Autónoma como por sus organismos autónomos y sociedades públicas.
d) Compromisos de gasto de carácter plurianual adquiridos con arreglo a la autorización del artículo 36 de la presente Ley.
e) Autorizaciones de revisiones de precios en conciertos o convenios que superen el incremento de índice de precios al consumo (IPC).
f) Concesiones de subvenciones o ayudas otorgadas por el Consello de la Xunta a que se refieren los apartados b) y c) del artículo 40 de la presente Ley.
Dos. La Consellería de Economía y Hacienda comunicará a la Comisión de Economía, Hacienda y Presupuestos del Parlamento, en un plazo de treinta días:
a) La realización de las adaptaciones técnicas de los presupuestos autorizados con arreglo a lo previsto en la disposición final segunda de la presente Ley.
b) Las modificaciones efectuadas de conformidad con lo indicado en el artículo 9.
c) Los presupuestos de los organismos autónomos y sociedades públicas que puedan entrar en funcionamiento a lo largo del año 2001.
Tres. La «Sociedad Pública de Inversiones de Galicia Sociedad Anónima», comunicará mensualmente a la Comisión de Economía, Hacienda y Presupuestos del Parlamento los planes económico-financieros que suscriba en desarrollo de su actividad.
Los organismos autónomos y sociedades públicas de carácter no mercantil de la Comunidad Autónoma transferirán al presupuesto de la Administración General de la Comunidad Autónoma el importe del remanente de tesorería no afectado resultante de la liquidación del anterior ejercicio presupuestario.
La Consellería de Economía y Hacienda podrá generar crédito con este importe en el programa 531B «Imprevistos y funciones no clasificadas».
No obstante, y con la finalidad de evitar que se produzcan estos remanentes, la Consellería de Economía y Hacienda podrá limitar los libramientos de fondos a estas entidades en función de su nivel de ejecución presupuestaria.
Se autoriza al Consello de la Xunta de Galicia, a propuesta de la Consellería de Economía y Hacienda a aprobar los presupuestos de explotación y capital previstos en el artículo 83 del texto refundido de la Ley de Régimen Financiero y Presupuestario de Galicia, aprobado por Decreto Legislativo 1/1999, de 7 de octubre, de las sociedades públicas que se constituyan o entren en funcionamiento a lo largo del año 2001.
Para el año 2001 la cuantía del complemento variable de la prestación económica de la renta de integración social de Galicia, en función del número de miembros del hogar, prevista en el artículo 12.2 de la Ley 9/1991, de 2 de octubre, será la siguiente:
7.039 pesetas por el primer miembro adicional.
5.668 pesetas por el segundo miembro adicional.
4.284 pesetas por cada uno de los restantes miembros adicionales.
La distribución de los créditos previstos en el estado de gastos de los presupuestos en el programa 05.06.811B.760.0 se realizará tomando como criterios básicos de referencia los acuerdos de la Comisión Gallega de Cooperación Local.
Los créditos de la aplicación 13.05.811B.760.0 serán distribuidos de conformidad con lo dispuesto en el Plan de Parques Comarcales Contra Incendios.
Si la demanda de apoyo a proyectos viables, durante el año 2001, lo hiciese necesario, las aportaciones destinadas a financiar el desarrollo de actuaciones de los fondos Emprende y Adiante, que figuran en los presupuestos del Igape, podrán incrementarse conjuntamente en un importe máximo de 1.000.000.000 de pesetas.
La Consellería de Economía y Hacienda habilitará, en su caso, las medidas necesarias para el cumplimento de lo indicado en esta disposición.
Las retribuciones del personal contratado administrativo a que hacía referencia la disposición transitoria tercera de la Ley 4/1988, de 26 de mayo, de la Función Pública de Galicia, en tanto no se concluya el proceso de extinción previsto en dicha Ley, experimentarán un incremento del 2 por 100 respecto a las establecidas en el año 2000.
Se autoriza al Consello de la Xunta para dictar, a propuesta del Conselleiro de Economía y Hacienda, las disposiciones necesarias para el desarrollo y ejecución de cuanto se prevé en la presente Ley.
Se autoriza a la Consellería de Economía y Hacienda para que efectúe en los presupuestos de la Comunidad Autónoma las adaptaciones técnicas que procedan como consecuencia de reorganizaciones administrativas, puesta en marcha de organismos autónomos o traspaso de competencias desde otras administraciones a fin de crear los programas, secciones, servicios y conceptos presupuestarios que sean necesarios y autorizar las transferencias de crédito correspondientes. Estas operaciones en ningún caso darán lugar a un incremento del gasto.
Tendrá vigencia permanente el artículo 31 de la presente Ley, en cuanto a las modificaciones del Decreto Legislativo 1/1992, de 11 de abril, que incorpora.
La presente Ley entrará en vigor el día 1 de enero del año 2001.
Santiago de Compostela, 27 de diciembre de 2000.–Presidente, Manuel Fraga Iribarne.
(Publicada en el «Diario Oficial de Galicia» número 251, de 29 de diciembre de 2000)
           
        
           
        
           
        
           
        
           
        
           
        
           
        
           
        
           
        
           
        
           
        
           
        
           
        
           
        
           
        
           
        
           
        
           
        
           
        
           
        
           
        
           
        
           
        
           
        
           
        
           
        
           
        
           
        
           
        
           
        
           
        
           
        
           
        
           
        
           
        
           
        
           
        
           
        
           
        
           
        
           
        
           
        
           
        
           
        
           
        
           
        
           
        
           
        
           
        
           
        
           
        
           
        
           
        
           
        
State Agency Official State Gazette
Avda. de Manoteras, 54 - 28050 Madrid