Contingut no disponible en català
La Ley 24/2013, de 26 de diciembre, del Sector Eléctrico, establece en su artículo 14.8, que «las metodologías de retribución de las actividades de transporte y distribución se establecerán atendiendo a los costes necesarios para construir, operar y mantener las instalaciones, de acuerdo al principio de realización de la actividad al menor coste para el sistema eléctrico, según lo dispuesto en el artículo 1.1».
Asimismo, el artículo 14.12 de la Ley 24/2013, de 26 de diciembre, establece que «corresponderá a la Comisión Nacional de los Mercados y la Competencia la aprobación de la retribución para cada año de las empresas titulares de instalaciones de transporte y distribución de conformidad con lo previsto en la Ley 3/2013, de 4 de junio.»
El artículo 7.1. de la Ley 3/2013, de 4 de junio, de creación de la Comisión Nacional de los Mercados y la Competencia, en la redacción dada por el Real Decreto-ley 1/2019, de 11 de enero, prevé que la Comisión Nacional de los Mercados y la Competencia establecerá mediante circular «la metodología, los parámetros y la base de activos para la retribución de las instalaciones de transporte y distribución de energía eléctrica».
De conformidad con lo anterior, la Comisión Nacional de los Mercados y la Competencia aprobó, en fecha 5 de diciembre de 2019, la Circular 6/2019, de 5 de diciembre, por la que se establece la metodología para el cálculo de la retribución de la actividad de distribución de energía eléctrica.
De acuerdo con lo establecido en el artículo 14.4 de la Ley 24/2013, de 26 de diciembre, del Sector Eléctrico, la retribución de la actividad de distribución se determinará por periodos regulatorios de seis años de duración. Dado que el primer periodo regulatorio de aplicación de la referida Circular 6/2019, de 5 de diciembre, según su disposición adicional primera, abarca los ejercicios 2020 a 2025, se hace necesario llevar a cabo una revisión de la metodología a aplicar a partir del año 2026.
Asimismo, el artículo 3.5 de la citada Circular establece que, antes del inicio de cada nuevo periodo regulatorio, la Comisión Nacional de los Mercados y la Competencia establecerá, previo trámite de audiencia, el conjunto de parámetros técnicos y económicos que se utilizarán para el cálculo de la retribución de la actividad de distribución durante dicho periodo regulatorio.
A los efectos anteriores, se ha procedido a la elaboración del presente proyecto de Circular, acompañado de la correspondiente memoria justificativa.
La Circular 6/2019, de 5 de diciembre, permitió aumentar la libertad de las empresas a la hora de tomar decisiones, teniendo en cuenta las nuevas inversiones necesarias para la integración de las energías renovables y la digitalización de las redes, y posibilitando el alargamiento de vida útil de las instalaciones, de tal forma que se rentabilicen las inversiones y se racionalicen los gastos necesarios de las empresas.
En la presente circular se mantienen los principios generales establecidos en la metodología previa, si bien se introducen señales adicionales orientadas a introducir eficiencia, tanto en la construcción de las infraestructuras, como en la operación y mantenimiento de las redes. Asimismo, se incorporan disposiciones orientadas a adaptar las redes a la realidad actual, reconociendo la importancia de las inversiones en digitalización y automatización de las redes y contemplando el reconocimiento de otras actuaciones relacionadas con medidas de adaptación al cambio climático o de respuesta a fenómenos meteorológicos adversos.
La presente circular se adecúa a los principios de buena regulación previstos en el artículo 129 de la Ley 39/2015, de 1 de octubre, del Procedimiento Administrativo Común de las Administraciones Públicas, en la medida en que las modificaciones planteadas son resultado de la experiencia obtenida durante la vigencia de la Circular 6/2019, de 5 de diciembre. Se atiene a los principios de necesidad y eficiencia, siendo el instrumento más adecuado para garantizar la consecución de los objetivos que persigue. Asimismo, para las modificaciones pretendidas, se ha dado aplicación al principio de proporcionalidad.
Conforme a todos estos principios, considerando el rol cada vez más activo del distribuidor como gestor de las redes, se ha optado por modificar el modelo retributivo, definiendo al inicio del periodo regulatorio una trayectoria multianual de TOTEX (suma de retribución a la inversión y a la operación y mantenimiento), combinada con un esquema de incentivos, que se ajusta con un mecanismo de reparto de beneficios entre el distribuidor y el sistema. De esta forma, se busca fomentar las inversiones eficientes en nuevas instalaciones, a la vez que se incrementa el uso y la operación eficiente de la red existente.
Por otro lado, se modifican los incentivos a la reducción de pérdidas y a la mejora de la calidad, manteniendo en esencia la formulación de la regulación anterior, pero simplificando su aplicación, y estableciendo referencias al inicio del periodo regulatorio, con el objetivo de fomentar la estabilidad regulatoria.
Adicionalmente, se incrementa la intensidad de la penalización relativa a la prudencia financiera a partir del cuarto año del siguiente periodo regulatorio, del 1 % de la retribución, al 1,5 %, para incentivar a las empresas que aún no lo han hecho, a que se sitúen dentro de los rangos de valores recomendables de los ratios de la Comunicación 1/2019, de 23 de octubre. Téngase en cuenta que la Ley 7/2021, de 20 de mayo, de cambio climático y transición energética, modificó la Ley 24/2013, de 26 de diciembre, del Sector Eléctrico, con un nuevo apartado 8.bis en el artículo 14, estableciendo que las metodologías de retribución deberán contemplar incentivos económicos, que podrán tener signo positivo o negativo, para la mejora de la disponibilidad de las instalaciones, para garantizar el nivel de endeudamiento adecuado a fin de disponer de una estructura de deuda sostenible y otros objetivos.
Por todo lo anterior, de conformidad con lo establecido en el artículo 14, apartados 8 y 12, de la Ley 24/2013, de 26 de diciembre, del Sector Eléctrico, y en el artículo 7.1.g) de la Ley 3/2013, de 4 de junio, de creación de la Comisión nacional de los Mercados y la Competencia, previos trámites de audiencia y, oído el Consejo de Estado, el Pleno del Consejo de la Comisión Nacional de los Mercados y la Competencia, en su sesión de 22 de diciembre de 2025 ha acordado emitir, la presente circular.
Esta circular tiene por objeto establecer la metodología para determinar la cuantía a retribuir a las empresas que desarrollan la actividad de distribución de energía eléctrica, con el fin de garantizar la adecuada prestación del servicio, incentivando la mejora de la calidad de suministro y la reducción de las pérdidas en las redes de distribución, con criterios objetivos, homogéneos en todo el territorio español y al menor coste posible para el sistema.
Esta circular es de aplicación a todas aquellas sociedades mercantiles o sociedades cooperativas de consumidores y usuarios que desarrollen la actividad de distribución.
1. La metodología desarrollada en la presente circular para el cálculo de la retribución de la actividad de distribución tiene como finalidad establecer los criterios de remuneración de las empresas distribuidoras tanto como titulares de redes como gestores de la red que operan, considerando las instalaciones de la red de distribución y su operación y mantenimiento, e incentivando la mejora continua de la eficacia de la gestión, de la eficiencia económica y técnica.
2. El devengo y el cobro de la retribución generada por instalaciones de distribución que cuenten con autorización de explotación en el año n-2 se iniciará desde el 1 de enero del año n, siempre y cuando las empresas distribuidoras titulares de las mismas estén inscritas en el Registro Administrativo de Distribuidores del Ministerio para la Transición Ecológica y el Reto Demográfico.
3. A efectos retributivos, únicamente se considerarán los costes necesarios para realizar la actividad de distribución por una empresa eficiente y bien gestionada. Una empresa eficiente y bien gestionada será aquella que ejerza su actividad de distribución de forma segura, sostenible y al menor coste posible para el sistema, manteniendo una calidad del suministro adecuada en todas sus zonas de distribución y una optimizada gestión técnica y operativa para reducir sus pérdidas eléctricas.
4. Los pagos en concepto de retribuciones serán liquidados de conformidad con lo establecido por el Real Decreto 2017/1997, de 26 diciembre, por el que se organiza y regula el procedimiento de liquidación de los costes de transporte, distribución y comercialización a tarifa, de los costes permanentes del sistema y de los costes de diversificación y seguridad de abastecimiento. El cobro de dicha retribución se realizará con cargo a las liquidaciones del ejercicio para el que se haya establecido, aplicándose la misma periodificación que al resto de actividades reguladas.
5. Antes del inicio de cada nuevo periodo regulatorio, la Comisión Nacional de los Mercados y la Competencia establecerá, previo trámite de audiencia, el conjunto de parámetros técnicos y económicos que se utilizarán para el cálculo de la retribución de la actividad de distribución durante dicho periodo regulatorio.
6. De conformidad con el artículo 14.4 de la Ley 24/2013, de 26 de diciembre, del Sector Eléctrico, los parámetros técnicos y económicos objeto de la metodología de retribución podrán ser modificados por la Comisión Nacional de los Mercados y la Competencia antes del comienzo de cada periodo regulatorio.
7. Si se produjesen transmisiones de activos entre empresas distribuidoras de energía eléctrica, las empresas afectadas deberán comunicarlo a la Comisión Nacional de los Mercados y la Competencia y solicitar la modificación de la retribución a percibir desde el momento en que se produzca la transmisión de activos, aportando la información necesaria para el cálculo de ésta, todo ello previa autorización del órgano competente.
8. Las empresas distribuidoras de energía eléctrica deberán comunicar a la Comisión Nacional de los Mercados y la Competencia las infraestructuras de evacuación y de consumo susceptibles de ser incorporadas a la red de distribución, y que cuenten con resolución a tal efecto de la Dirección General de Política Energética y Minas. Asimismo deberán solicitar la modificación de su retribución, que se devengará desde el momento en que se produzca la incorporación de las mismas a su red de distribución, aportando la información necesaria para el cálculo de ésta, todo ello previa autorización del órgano competente.
De acuerdo con lo establecido en el artículo 14.4 de la Ley 24/2013, de 26 de diciembre, la retribución de la actividad de distribución se determinará por periodos regulatorios de seis años de duración.
1. La Comisión Nacional de los Mercados y la Competencia establecerá por años naturales, mediante resolución y previa audiencia a los interesados, la retribución reconocida a cada distribuidora por la actividad de distribución, que se calculará de acuerdo con lo dispuesto en el presente Capítulo.
Antes del 15 de noviembre de cada año, la Comisión Nacional de los Mercados y la Competencia someterá a audiencia pública la propuesta de resolución de retribución total a percibir el año siguiente por cada una de las empresas, la cual contendrá un anexo en formato digital de hoja de cálculo con su desglose en los términos señalados en el presente artículo.
2. La retribución de la actividad de distribución reconocida a la distribuidora i en el año n por el desempeño de su actividad el año n-2 se determinará mediante la siguiente formulación:
Donde:
–
es la retribución anual tanto a la inversión como a la operación y mantenimiento a percibir por la empresa i en el año n. Se calculará conforme a la siguiente expresión:
–
es la referencia de la retribución a la inversión y de la operación y mantenimiento en un año concreto:
Siendo:
–
es la referencia de retribución a la inversión a considerar a la empresa i en el año n por las instalaciones con puesta en servicio anterior a 1 de enero de n-1. Se calculará conforme se establece en el artículo 10.
–
es la referencia a la retribución a la operación y mantenimiento a considerar a la empresa i en el año n por las instalaciones con puesta en servicio anterior a 1 de enero de n-1. Se calculará conforme se establece en el artículo 12.
–
es la suma de la retribución a la inversión y la retribución a la operación y mantenimiento que le correspondería percibir a la empresa i en el año n por todas las instalaciones con puesta en servicio anterior a 1 de enero del año n-1, en base a los costes reales incurridos por la empresa. Se calcula de acuerdo con la siguiente expresión:
Siendo:
–
es la retribución a la inversión de la empresa i en el año n correspondiente a las instalaciones con puesta en servicio anterior a 1 de enero de n-1 en base a los costes incurridos auditados, declarados en la Circular informativa 8/2021, de 1 de diciembre. Se calculará conforme se establece en el artículo 6.
–
es la retribución a la operación y mantenimiento de la empresa i en el año n por las instalaciones con puesta en servicio anterior a 1 de enero de n-1 en base a los costes incurridos auditados, declarados en la Circular informativa 8/2021, de 1 de diciembre. Se calculará conforme se establece en el artículo 11.
–
es el incentivo de reparto de márgenes entre la empresa distribuidora y el sector. Su valor se establecerá por la Comisión Nacional de los Mercados y la Competencia al inicio de cada periodo regulatorio.
–
es la retribución por extensión de vida útil para el año n que percibirá una empresa distribuidora i por todas aquellas instalaciones de distribución que, habiendo superado su vida útil regulatoria, siguen en servicio en el año n-2, siempre y cuando se acredite la disponibilidad efectiva de cada una de dichas instalaciones. Todo ello conforme se establece en el artículo 13.
–
es la retribución correspondiente a las inversiones excepcionales ejecutadas por la empresa distribuidora i entre los ejercicios 2026 y n-2, relativas a las actuaciones que supongan una cuantía superior al 50 por ciento del límite máximo individual de inversión fijado para dicha empresa en el año n. Para ello se considerarán los requisitos establecidos en el artículo 8. Su cálculo se llevará a cabo de acuerdo a los costes realmente incurridos, según se establece en el artículo 7.
–
es la retribución por otros costes directamente relacionados con la actividad de distribución que no se encuentran contemplados en los términos anteriores. Se calculará según se establece en el artículo 14.
–
es el término de incentivo o penalización por la reducción de pérdidas repercutido a la empresa distribuidora i el año n, asociado al nivel de pérdidas de su red en el año n-2. Dicho incentivo a la reducción de pérdidas se calculará según lo establecido en el Capítulo V.
–
es el término de incentivo o penalización a la calidad del servicio repercutido a la empresa distribuidora i el año n asociado a los indicadores de calidad de suministro obtenidos por la empresa distribuidora i entre los años n-4 a n-2. Dicho incentivo a la calidad se calculará según lo establecido en el Capítulo VI.
3. Una vez determinada la retribución anual de cada empresa distribuidora conforme a lo establecido en el apartado anterior, se realizará el ajuste retributivo previsto en el artículo 26 y se aplicará, en su caso, la penalización relativa a la prudencia financiera prevista en el artículo 27.
1. El término
correspondiente a la retribución a la inversión de la empresa i en el año n correspondiente a las instalaciones con puesta en servicio anterior a 1 de enero de n-1 en base a los costes incurridos auditados declarados para dar cumplimiento a la Circular informativa 8/2021, de 1 de diciembre, se calculará en base a las inversiones realmente ejecutadas, de acuerdo con la siguiente expresión:
Donde:
−
es la retribución a la inversión en base a los costes incurridos a considerar en el cálculo retributivo de la empresa i en el año n por las instalaciones con puesta en servicio posterior anterior al 1 de enero del año n-1, según se define en el artículo 7.
−
es la retribución a la inversión a percibir en el año n por los terrenos asociados a nuevas instalaciones eléctricas de la empresa distribuidora i con puesta en servicio posterior al 31 de diciembre de 2014 y anterior al 1 de enero del año n-1, según se define en el artículo 9.
1. El término
definido en el artículo 5 se calculará de acuerdo con la siguiente expresión:
Donde
−
es la retribución a la inversión a considerar en el cálculo retributivo de la empresa i en el año n por las instalaciones con puesta en servicio anterior al 1 de enero de 2015.
−
es la retribución a la inversión a considerar en el cálculo retributivo de la empresa i en el año n, por las instalaciones puestas en servicio entre el 1 de enero del 2015 y el 31 de diciembre de 2023, ambos incluidos.
−
es la retribución a la inversión a considerar en el cálculo retributivo de la empresa i en el año n por las instalaciones con puesta en servicio posterior al 31 de diciembre de 2023 y anterior al 1 de enero del año n-1.
2. El término
se calculará sobre la base de la siguiente expresión:
Donde:
–
es el término de retribución base por amortización de la empresa distribuidora i que ésta deberá percibir por ese concepto en el año n. Se evaluará de acuerdo con la siguiente expresión:
Siendo:
–
es el inmovilizado base bruto de la empresa distribuidora i con derecho a retribución a cargo del sistema eléctrico fijado en la Orden IET/980/2016, de 10 de junio, o sus modificaciones posteriores. Dicho valor podrá ser no obstante modificado por la Comisión Nacional de los Mercados y la Competencia si en la información aportada anualmente por la empresa distribuidora i se observase el cierre de instalaciones puestas en servicio antes del 1 de enero de 2015 por un valor superior al doble del término
.
–
es la vida útil regulatoria de las instalaciones de la empresa distribuidora i fijada en la orden IET/980/2016, de 10 de junio o sus modificaciones posteriores.
–
es el término de retribución financiera del activo neto de la empresa distribuidora i que ésta deberá percibir por ese concepto en el año n correspondiente a las instalaciones puestas en servicio hasta el 31 de diciembre de 2014. Este término se calculará de acuerdo con la siguiente expresión:
Donde:
–
es el inmovilizado neto con derecho a retribución a cargo del sistema eléctrico de la empresa distribuidora i en el año n. El mismo se calculará de acuerdo con la siguiente expresión:
–
es la vida residual en el año n para la empresa distribuidora i de las instalaciones con puesta en servicio anterior al 1 de enero de 2015 fijado en la Orden IET/980/2016, de 10 de junio, o sus modificaciones posteriores. Al valor de vida residual establecido para el cálculo de la retribución correspondiente al ejercicio 2016 deberán descontarse los años transcurridos desde 2016 hasta el año n.
–
es la tasa de retribución financiera a aplicar en el cálculo retributivo del periodo regulatorio p. Será fijada antes del inicio de cada periodo regulatorio según prevé la circular de la Comisión Nacional de los Mercados y la Competencia por la que se establece la metodología de cálculo de la tasa de retribución financiera de las actividades de transporte y distribución de energía eléctrica y regasificación, transporte y distribución de gas natural.
Si en la información aportada anualmente por la empresa distribuidora i se observase el cierre de instalaciones puestas en servicio antes del 1 de enero de 2015 por un valor superior al doble del término
, se efectuará un nuevo cálculo para la determinación del término
. Este nuevo cálculo se efectuará teniendo en cuenta la proporción del inmovilizado de la base dado de baja desde 2015 hasta el año n-2, respecto al total del término
.
3. El término
se calculará sobre la base de la siguiente expresión:
Donde:
–
es la retribución por amortización en el año n de la inversión efectuada por la empresa i entre los ejercicios 2015 a 2023. Se obtendrá a partir de los valores brutos de inversión retribuible asignados en las órdenes y resoluciones de retribuciones de los ejercicios correspondientes, de acuerdo con la siguiente expresión:
Siendo:
–
: valor de la inversión con derecho a retribución a cargo del sistema de la instalación j puesta en servicio entre los años 2015 y 2023, calculado el primer año en que dicha instalación ha percibido retribución, de acuerdo con los valores considerados en el cálculo de las retribuciones a la inversión
aprobadas en las órdenes y resoluciones de los ejercicios correspondientes. Dicho valor podrá verse modificado sobre la base de las inspecciones realizadas por la Comisión Nacional de los Mercados y la Competencia o por resoluciones judiciales o de recursos administrativos.
– VUj: Vida útil regulatoria de la instalación j expresada en años, de acuerdo con los valores considerados en el cálculo de las retribuciones a la inversión
aprobadas en las órdenes y resoluciones de los ejercicios correspondientes.
–
es la retribución financiera del conjunto de instalaciones de la empresa i puestas en servicio entre 2015 y 2023, es decir:
Donde:
–
es la retribución financiera de la inversión en el año n de la instalación j puesta en servicio entre los años 2015 y 2023. Este término se calculará cada año n aplicando al valor neto de la inversión la tasa de retribución en vigor conforme a la siguiente formulación:
– TRFp es la tasa de retribución financiera a aplicar en el cálculo retributivo del periodo regulatorio p.
–
es el valor neto de la inversión en el año n con derecho a retribución a cargo del sistema de la instalación j puesta en servicio entre 2015 y 2023. Este término se calculará como:
Donde t es el número de años transcurridos desde la puesta en servicio de la instalación j.
4. El término
, correspondiente a la retribución a la inversión de la empresa i en el año n por las instalaciones con puesta en servicio posterior al 31 de diciembre de 2023 y anterior al 1 de enero del año n-1, se calculará conforme a la siguiente expresión:
Donde:
–
es la retribución por amortización en el año n de la inversión efectuada por la empresa i entre los ejercicios 2024 al n-2, de acuerdo con la siguiente expresión:
Siendo:
–
es el valor de inversión real auditado de la instalación j puesta en servicio entre los años 2024 y n-2, declarado conforme al artículo 8. Se calculará el primer año que la instalación percibe retribución según la siguiente expresión:
Donde:
–
el valor real bruto de inversión de la instalación j.
–
es un coeficiente en base uno que refleja el complemento a uno del valor total de inversión de dicha instalación financiado y cedido por terceros.
– AYj es el 90 por ciento del importe percibido del valor de las ayudas públicas percibidas por la instalación j. En ningún caso el margen del 10 por ciento a considerar respecto a las empresas distribuidoras podrá ser superior a 10 millones de euros.
–
es el factor de retardo retributivo de la inversión de la instalación j puesta en servicio en el año n-2 derivado del coste financiero motivado por el retraso entre la concesión de la autorización de explotación de la instalación j y el inicio del devengo de retribución por inversión. Este valor se calculará como:
Donde TRFAPS es la tasa de retribución financiera vigente en el año de la puesta en servicio de la instalación.
– VUj es la vida útil regulatoria de la instalación j expresada en años. Su valor se establecerá según la tipología de inversión, de acuerdo con el anexo 1.
–
es la retribución financiera del conjunto de instalaciones de la empresa i puestas en servicio entre los años 2024 y n-2. Este término se calculará cada año aplicando al valor neto de la inversión la tasa de retribución en vigor conforme a la siguiente formulación:
Siendo:
– TRFp la tasa de retribución financiera a aplicar en el cálculo retributivo del periodo regulatorio p.
–
es el valor neto de la inversión en el año n de la instalación j puesta en servicio entre 2024 y el año n-2. Este término se calculará como:
Donde t es el número de años transcurridos desde la puesta en servicio de la instalación.
El valor
calculado en el primer ejercicio en el que la instalación j percibe retribución, se mantendrá constante a lo largo de su vida útil regulatoria, salvo que las inspecciones realizadas por la Comisión Nacional de los Mercados y la Competencia comprobaran que no es correcto.
5. Para el cálculo de los valores de inversión reales auditados, se descontarán aquellos impuestos indirectos en los que la normativa fiscal vigente prevea su exención o devolución y aquellos tributos a los que se hace referencia en el artículo 16.4 de la Ley 24/2013, de 26 de diciembre.
6. Aquellas instalaciones que deban ser construidas o financiadas por consumidores o productores de energía eléctrica y hayan sido o hubieran debido ser cedidas o financiadas, de acuerdo con la normativa estatal a la red de distribución, sólo percibirán retribución en concepto de operación y mantenimiento, considerándose nulo su valor de inversión a efectos retributivos.
7. Las instalaciones con puesta en servicio posterior al 31 de diciembre de 2014, que se den de baja en el año n-2, no volverán a percibir retribución por inversión a partir del ejercicio n.
8. Las inversiones realizadas en instalaciones de distribución con puesta en servicio posterior al 31 de diciembre de 2025 se declararán según las tipologías establecidas en el artículo 8. Las inversiones que hubieran sido efectuadas en ejercicios anteriores mantendrán la tipología con la que se declararon el año de su puesta en servicio, si bien la Comisión Nacional de los Mercados y la Competencia podrá establecer criterios adicionales para su declaración en la Circular informativa 8/2021, de 1 de diciembre, o circular que la sustituya.
9. Los ingresos percibidos por las empresas distribuidoras en concepto de derechos de extensión en el año n-2 se descontarán a la retribución por inversión de las instalaciones puestas en servicio en dicho año considerando que su amortización se realiza a 40 años.
1. Las inversiones realizadas en instalaciones de distribución con puesta en servicio posterior al 31 de diciembre de 2025 se declararán de acuerdo con la siguiente clasificación:
a) Inversiones en unidades físicas. Este tipo de actuaciones deberán clasificarse dentro de una de las categorías fijadas por la Comisión Nacional de los Mercados y la Competencia para cada familia de instalaciones, conforme se definen en el anexo 1, y en la Circular informativa 8/2021, de 1 de diciembre, o circular que la sustituya. Se clasificarán en las siguientes actuaciones:
− Tipo 0. Instalaciones nuevas a coste completo o renovación de instalaciones existentes. En este sentido, se diferenciará entre:
● Inversiones de nueva construcción: aquellas que suponen la realización o incorporación de nuevas instalaciones. Esta categoría incluye las inversiones de ampliación.
● Sustitución o renovación: Aquellas que suponen una reposición del equipo o equipos principales. Simultáneamente, se procederá a dar de baja los elementos sustituidos, debiendo incluirse en la declaración de las nuevas inversiones efectuadas el identificador de la instalación dada de baja que corresponda.
Los criterios según los cuales determinadas actuaciones no podrán declararse como inversiones de mejora y renovación, sino que deberán ser consideradas como gastos de mantenimiento, conservación y reparaciones y, por tanto, imputadas a la cuenta de pérdidas y ganancias del ejercicio en que se produzcan, serán los establecidos en la Circular informativa 8/2021, de 1 de diciembre, o circular que la sustituya.
− Tipo 1. Instalaciones a coste no completo, según se definen en la Circular informativa 8/2021, de 1 de diciembre, o Circular que la sustituya.
b) Tipo 2: inversiones en despachos, digitalización y sistemas informáticos. Este tipo de actuaciones deberán clasificarse conforme se definen en el anexo 1. No obstante, la Comisión Nacional de los Mercados y la Competencia podrá establecer, en la Circular informativa 8/2021, de 1 de diciembre, o normativa que la sustituya, nuevos códigos CINI adicionales, que complementen a los anteriores, así como los criterios que deberán seguirse para la declaración de este tipo de actuaciones.
2. Adicionalmente a las tipologías contempladas en el punto anterior, se consideran inversiones excepcionales en la red de distribución
según se definen en el artículo 5, aquellas actuaciones cuya retribución corresponda al sistema, ejecutadas por una empresa distribuidora, cuyo coste suponga por sí mismo una cuantía superior al 50 por ciento del límite máximo individual de inversión fijado para dicha empresa en ese año.
3. A los efectos de considerar como excepcionales las inversiones definidas en el punto anterior, se entenderá como una actuación cada una de las inversiones individuales a las que se le pueda asociar alguna de las tipologías de instalación definidas en la Circular informativa 8/2021, de 1 de diciembre.
4. No obstante lo anterior, determinadas inversiones podrán ser tratadas como una sola actuación cuando su operación esté condicionada porque dichas inversiones se autoricen de manera conjunta y deban entrar en servicio en el mismo momento. En este sentido, podrán ser consideradas como una sola actuación, entre otras, las inversiones que integran una subestación eléctrica y que son necesarias para garantizar su funcionalidad o determinadas renovaciones de activos que deben de ser llevadas a cabo de manera simultánea.
5. En cualquier caso, para que una inversión sea considerada como excepcional, deberá haber sido previamente aprobada como tal en el plan de inversiones correspondiente al ejercicio.
6. Únicamente se considerarán en el cálculo de la retribución a la inversión aquellos desembolsos que supongan la adquisición de un bien duradero para la empresa y que, por tanto, pasen a formar parte de su activo. No obstante, la Comisión Nacional de los Mercados y la Competencia podrá establecer, en la Circular informativa 8/2021, de 1 de diciembre, o circular que la sustituya, criterios adicionales para su consideración a efectos retributivos, al objeto de diferenciarlos de otros gastos del ejercicio.
7. La Comisión Nacional de los Mercados y la Competencia podrá establecer mediante resolución, previo trámite de audiencia, tipologías de inversión adicionales, otorgándoles, en su caso, un tratamiento específico en su reconocimiento retributivo. Dentro de dichas inversiones adicionales podrán incluirse, entre otras, las relacionadas con medidas de adaptación al cambio climático, tales como el refuerzo estructural frente a fenómenos extremos, o rediseño de trazados para evitar zonas de riesgo climático, así como otras inversiones cuyas características particulares requieran un tratamiento diferenciado, o bien respondan a situaciones sobrevenidas.
1. La retribución a la inversión a percibir en el año n por los terrenos, propiedad de la empresa distribuidora, asociados a nuevas instalaciones eléctricas llevadas a cabo por la empresa distribuidora i con puesta en servicio posterior al 31 de diciembre de 2014 y anterior al 1 de enero del año n-1, se calculará según la siguiente expresión:
Donde:
− TRFp; es la tasa de retribución financiera a aplicar en el cálculo retributivo del periodo regulatorio p.
−
es el valor de la inversión de los terrenos asociados a instalaciones puestas en servicio entre el año 2015 y el año 2023, ambos inclusive. Su valor es el fijado en las distintas órdenes y resoluciones por las que se establecen las retribuciones de las empresas de distribución de energía eléctrica desde el año 2017 al año 2025.
−
es el valor de los terrenos asociados a instalaciones puestas en servicio a partir de 2024 y se calculará según la siguiente expresión:
Donde:
–
es el valor auditado bruto de inversión correspondiente al terreno j en el que se sitúan las instalaciones puestas en servicio entre los años 2024 y n-2.
–
es un coeficiente en base uno que refleja el complemento a uno del valor total de inversión declarado asociado al terreno j que ha sido financiado y cedido por terceros.
– AYj es el 90 por ciento del importe percibido del valor de las ayudas públicas percibidas por la instalación j. En ningún caso el margen del 10 por ciento a considerar respecto a las empresas distribuidoras podrá ser superior a 10 millones de euros.
– FRRIn es el factor de retardo retributivo de la inversión del conjunto de terrenos. Este valor se calculará como:
– TRFAPS es la tasa de retribución financiera vigente el año de la puesta en servicio de la instalación que se ubica en el citado terreno.
2. Los valores de
y
se mantendrán fijos una vez establecido su valor en el primer ejercicio en que perciban retribución, salvo que en las inspecciones realizadas por la Comisión Nacional de los Mercados y la Competencia se comprobara que no es correcto, o si fuera requerida su modificación como consecuencia de resoluciones judiciales o de recursos administrativos.
3. A efectos de esta circular, sólo podrán incluirse en la retribución aquellos terrenos afectos a la actividad de distribución eléctrica. La Comisión Nacional de los Mercados y la Competencia podrá establecer, en la Circular informativa 8/2021, de 1 de diciembre, o Circular que la sustituya, criterios adicionales que deberán seguirse para su declaración a efectos retributivos.
4. Cualquier contraprestación económica que las empresas distribuidoras perciban por el uso de los terrenos objeto de este artículo, o por la enajenación de los mismos, deberá ser descontada de la retribución por inversión reconocida por el sistema para los mismos.
1. El término
correspondiente a la referencia de retribución a la inversión a considerar a la empresa i en el año n por las instalaciones con puesta en servicio anterior a 1 de enero de n-1, según se define en el artículo 5, se calculará conforme a la siguiente expresión:
Donde:
− Los términos
y
se calcularán en base a costes incurridos, según se establece en el artículo 7.
−
se corresponde con la retribución a la inversión en base a las nuevas inversiones admisibles para los ejercicios 2026 al n-2, de acuerdo con la siguiente expresión:
Siendo:
–
es la retribución por amortización en el año n correspondiente a las nuevas inversiones admisibles de la empresa i realizadas hasta el ejercicio n-2. Se calculará de acuerdo con la siguiente expresión:
Siendo VU la vida útil media de las nuevas inversiones admisibles. Dicho valor se establecerá por la Comisión Nacional de los Mercados y la Competencia al inicio de cada periodo regulatorio.
–
es la retribución financiera correspondiente a las inversiones admisibles de la empresa i. Este término se calculará cada año aplicando al valor neto de la inversión admisible la tasa de retribución en vigor conforme a la siguiente formulación:
Siendo:
–
el valor neto de las nuevas inversiones admisibles de la empresa i correspondiente al año n, asociado a las instalaciones puestas en servicio hasta el año n-2. Este término se calculará como:
Donde t es el número de años transcurridos desde la realización de las inversiones.
2. Las nuevas inversiones admisibles (
) asociadas al incremento de potencia de la empresa distribuidora i en sus redes de distribución, se calcularán conforme a la siguiente expresión:
Donde:
−
es el parámetro de sostenibilidad económica de la empresa i a aplicar a cada año del periodo p. Su cálculo se efectuará según se establece en el presente artículo.
−
es el incremento de potencia adscrita a los derechos de extensión, a considerar en la retribución del año n, que cuente con contrato de acceso a la red, declarada por las empresas distribuidoras a la Comisión Nacional de los Mercados y la Competencia en virtud de la Circular informativa 8/2021, de 1 de diciembre, o circular que la sustituya, de acuerdo con la última información disponible.
Dicho valor podrá modificarse como consecuencia de los resultados de las inspecciones efectuadas por la Comisión Nacional de los Mercados y la Competencia a los datos declarados por las distribuidoras. En caso de que su valor sea negativo, el término
se corresponderá con la
.
−
, «inversión sostenible» es aquella realizada por la empresa i en el año n-2, que resulte necesaria para el desarrollo de su actividad, sin que requiera un incremento de la potencia a efectos de su reconocimiento retributivo. La senda
será fijada por la Comisión Nacional de los Mercados y la Competencia al inicio de cada periodo regulatorio.
3. El parámetro
se calculará en base a la siguiente fórmula:
El parámetro
se obtendrá como resultado del siguiente cociente:
El parámetro
se corresponde con las inversiones sujetas a incrementos de potencia del conjunto del sector correspondientes al año n-2. Se obtendrá para cada uno de los años n del periodo regulatorio p a los que les sea de aplicación la retribución de referencia definida en el presente apartado como:
Donde:
−
se corresponde con las nuevas inversiones previstas para el conjunto del sector en el ejercicio n-2.
−
se corresponde con la inversión sostenible obtenida para el conjunto del sector correspondiente al año n-2.
−
se corresponde con los incrementos de potencia estimados en el conjunto de las redes de distribución para cada uno de los años de referencia.
− El parámetro
define la representatividad de cada empresa o grupo de empresas distribuidoras respecto al total del sector. Se establecerá por la Comisión Nacional de los Mercados y la Competencia al inicio de cada periodo regulatorio.
4. El valor del parámetro
, así como las variables empleadas para su cálculo será fijada por la Comisión Nacional de los Mercados y la Competencia al inicio de cada periodo regulatorio.
5. En caso de que las inversiones reales ejecutadas por la distribuidora en el año n-2 sean inferiores o iguales a dicha senda
, el valor de
se corresponderá con el valor de inversión real auditado de las instalaciones puestas en servicio en el año n-2.
1. El término
se calculará sobre la base de la información regulatoria de costes declarada por la empresa distribuidora en virtud de la Circular informativa 8/2021, de 1 de diciembre, de acuerdo con la siguiente expresión:
Donde:
–
costes incurridos por la empresa distribuidora i durante el año n–2, por la operación y mantenimiento de todas las instalaciones y elementos necesarios para desarrollar la actividad de distribución, y por otras tareas reguladas necesarias en el ejercicio de la actividad de distribución. Para su cálculo se considerarán los centros de coste (CECOS) definidos en el anexo 2. La Comisión Nacional de los Mercados y la Competencia podrá modificar el listado de CECOS del Anexo 2 si se identificaran nuevos costes ligados directamente con la actividad de distribución.
–
: retribución por inversión de la empresa distribuidora i de otros activos necesarios para el ejercicio de la actividad de distribución distintos de los activos eléctricos recogidos en las unidades físicas declarados en ejercicios anteriores, puestos en servicio desde el año 2015 hasta el año 2025 y que continúen en servicio en el año n-2. Para su clasificación se aplicará lo establecido en la disposición adicional segunda y sexta de la Circular 6/2019, de 5 de diciembre, considerando los valores declarados por las empresas distribuidoras para el cálculo retributivo de los ejercicios 2017 al 2027, ambos inclusive, de acuerdo con la siguiente formulación:
–
: retribución por inversión de la empresa distribuidora i de otros activos necesarios para el ejercicio de la actividad de distribución distintos de los activos eléctricos recogidos en las unidades físicas, que no estén definidos en el artículo 8 de esta Circular, puestos en servicio desde el año 2026 hasta el año n-2 y que continúen en servicio en el año n-2. Se considerarán las inversiones declaradas con los códigos de instalación (CINIS) y las vidas útiles definidas en el ANEXO 1. Su cálculo se llevará a cabo de acuerdo con la siguiente expresión:
– Tanto
como
se calcularán de acuerdo con la metodología descrita en los apartados 3 y 4, respectivamente, del artículo 7.
2. La Comisión Nacional de los Mercados y la Competencia podrá establecer, en la Circular informativa 8/2021, de 1 de diciembre, o Circular que la sustituya, criterios adicionales que deberán seguirse para la declaración de los conceptos incluidos en este artículo a efectos retributivos. En cualquier caso, no podrán computarse en este concepto de retribución los costes ocasionados por sentencias judiciales, sanciones o requisitos no exigidos por la normativa estatal.
1. El término
es la retribución de referencia en el año n a una empresa distribuidora que contempla los costes asociados tanto a la operación y mantenimiento de sus infraestructuras eléctricas, como otros costes necesarios para el desarrollo de la actividad, entre los que se encuentran el conjunto de servicios que proporciona dicha empresa por ejercer la actividad de distribución. Dicho término engloba la retribución de los siguientes conceptos:
Donde:
–
es la referencia de los costes asociados tanto a la operación y mantenimiento de sus infraestructuras eléctricas, como otros costes necesarios para el desarrollo de la actividad establecida en la retribución del ejercicio anterior.
–
es un parámetro sectorial fijado antes del inicio del periodo regulatorio por la Comisión Nacional de los Mercados y la Competencia que representa el porcentaje de todos los costes de operación y mantenimiento frente al inmovilizado bruto sectorial. Para su cálculo se considerará el promedio de los tres últimos años del periodo regulatorio previo para los que se haya aprobado retribución, donde:
● ROM son los costes incurridos por operación y mantenimiento en todas las instalaciones del conjunto de empresas distribuidoras, calculados de acuerdo con la información aportada por estas en los ejercicios de referencia.
● ROMNLAE son los costes incurridos asociados a la labor de mantenimiento que no está directamente ligado a los activos eléctricos recogidos en las unidades físicas, calculados de acuerdo con la información aportada por las empresas distribuidoras en los ejercicios de referencia.
● RABbruto es el inmovilizado bruto retributivo del conjunto de las empresas distribuidoras en cada uno de los ejercicios de referencia.
–
representa la variación del inmovilizado bruto retributivo de la empresa distribuidora i entre las retribuciones del año n y n-1, considerando las inversiones admisibles (
definidas en el artículo 10. Para el cálculo de dicho inmovilizado se descontarán las bajas de instalaciones que dejen de estar en servicio en el año n-2.
–
es un parámetro sectorial fijado antes del inicio del periodo regulatorio por la Comisión Nacional de los Mercados y la Competencia, para cada grupo de empresas, en base a los costes incurridos por otras tareas reguladas desarrolladas por las empresas distribuidoras, sin considerar la tasa de ocupación de la vía pública, en relación con el número de puntos de suministro activos total de cada grupo de empresas. Se calculará en base a los datos aportados por las empresas distribuidoras referentes a la última retribución aprobada en el periodo regulatorio previo.
–
es la variación del número de puntos de suministro activos de la empresa distribuidora i entre las retribuciones del año n-1 y del año n. Podrá tomar valores positivos o negativos.
– FA: factor de ajuste entre la retribución percibida por operación y mantenimiento y los costes declarados en la Circular informativa 8/2021, de 1 de diciembre, que representa la capacidad de las empresas de gestionar los costes reales derivados de los conceptos señalados. Su valor será fijado por la Comisión Nacional de los Mercados y la Competencia al inicio de cada periodo regulatorio.
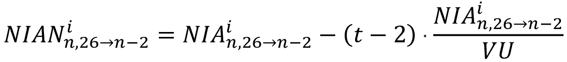
1. Una vez finalizada la vida útil regulatoria de la instalación de distribución, la retribución devengada por dicha instalación en concepto de retribución por inversión será nula.
2. La retribución devengada para el año n por la empresa i por la extensión de vida útil de las instalaciones que habiendo superado su vida útil regulatoria sigan en servicio, siempre y cuando se acredite su disponibilidad efectiva, se determinará de acuerdo con la siguiente expresión:
Donde:
es la retribución por costes de operación y mantenimiento a valores unitarios de referencia de la instalación «j» de la empresa «i» que ha superado su vida útil regulatoria, en base al inventario a 31 de diciembre del año n-2.
es el coeficiente de extensión de vida útil, que tomará diferente valor en función de los años transcurridos (X) desde el final de la vida útil regulatoria de la instalación «j» de la empresa distribuidora i. De acuerdo con las siguientes etapas:
− Durante los cinco primeros años,
.
− Entre el 6.º y 10.º año, ambos inclusive, el resultante de aplicar la expresión,
.
− Entre el 11.º y 15.º año, ambos inclusive, el resultante de aplicar la expresión,
).
− A partir del 16.º año, el resultante de aplicar la expresión,
, no pudiendo tomar un valor superior a 1.
3. Se considerará que las instalaciones incluidas dentro de la retribución base de la empresa distribuidora i han superado su vida útil regulatoria cuando haya transcurrido desde el año 2016 un número de años superior a su vida residual promedio base
establecida en la Orden IET/980/2016, de 10 de junio.
Desde ese momento, les será de aplicación el término
a las instalaciones que continúen en servicio en el año n-2, debiendo declararse como baja en el inventario declarado en el año n-2 las instalaciones que no se encuentren en servicio a 31 de diciembre de dicho año. A estos efectos, el cómputo de los años comenzará a realizarse a partir del año en que la vida residual para el conjunto de instalaciones sea nula.
1. El término
es la retribución por otros costes directamente relacionados con la actividad de distribución que no se encuentran contemplados en los artículos anteriores y que no son gestionables por parte del distribuidor. Se calculará según la siguiente expresión:
Donde:
−
es la retribución en concepto de financiación del bono social percibida por la empresa i el año n derivada de los importes satisfechos por dicha empresa en el año n-2.
−
es la retribución en concepto de tasas de ocupación de la vía pública percibida por la empresa i el año n derivada de tasas satisfechas por dicha empresa en el año n-2.
−
son los costes de afiliación en la entidad de los gestores de red de distribución, a la que se refiere el artículo 53.7 del Reglamento (UE) 2019/943 del Parlamento Europeo y del Consejo de 5 de junio de 2019, relativo al mercado interior de la electricidad.
−
es el factor de retardo retributivo de otros costes en el ejercicio n derivado del coste financiero motivado por el retraso entre el pago efectivo de la tasa y el reconocimiento de la retribución.
Donde TRFp es la tasa de retribución financiera a aplicar en el cálculo retributivo del periodo p.
2. La Comisión Nacional de la Competencia podrá aprobar, mediante resolución, el reconocimiento de otros costes derivados de otras actividades que deban realizar las empresas distribuidoras, dentro de este concepto.
1. Previa aprobación de la Comisión Nacional de los Mercados y la Competencia, se podrán incluir, con cargo a los costes de distribución, inversiones efectuadas por las empresas distribuidoras en proyectos piloto. Dicha retribución, que será fijada mediante la correspondiente resolución de la Comisión Nacional de los Mercados y la Competencia, deberá garantizar que la ejecución de las citadas inversiones supone un beneficio cuantificable para el sistema en términos de seguridad, calidad, eficiencia, objetividad y transparencia, para lo que la solicitud de reconocimiento de este tipo de inversiones deberá acompañarse de un análisis coste-beneficio y una memoria técnica. En dicha resolución se deberá determinar tanto la inversión reconocida, como la vida regulatoria prevista para dicho activo, así como, en su caso, si los hubiere, los costes de operación y mantenimiento previstos.
2. Podrán reconocerse las inversiones en proyectos piloto dirigidos a adaptar las redes de distribución a los efectos del cambio climático, siempre que su necesidad se encuentre justificada en los términos indicados en el punto anterior.
3. La aprobación de las citadas inversiones estará supeditada al mantenimiento de la estabilidad financiera del sistema eléctrico, y no incluirá la retribución por conceptos ya contemplados en la metodología establecida en la presente circular.
1. La Comisión Nacional de los Mercados y la Competencia podrá emplear las herramientas regulatorias que considere oportunas en el cálculo de los términos y coeficientes de la retribución de la actividad de distribución.
2. A estos efectos, la Comisión Nacional de los Mercados y la Competencia podrá establecer unos costes unitarios de referencia actualizados, mediante resolución y previo trámite de audiencia. Dichos costes unitarios podrán utilizarse, entre otros aspectos, como referencia en eficiencia y criterios de mínimo coste a los efectos de evaluar las diferentes alternativas de desarrollo de infraestructuras en lo que se refiere a la aplicabilidad del artículo 21.1 b) párrafo tercero del Real Decreto 1048/2013, de 27 de diciembre, y para la determinación de las diferentes alternativas viables del punto de conexión en los procesos de acceso y conexión, entre distribuidores, conforme a lo establecido en el anexo III.5 de la Circular 1/2024, de 27 de septiembre, por la que se establece la metodología y condiciones del acceso y de la conexión a las redes de transporte y distribución de las instalaciones de demanda de energía eléctrica, en relación con la evaluación de la capacidad de acceso de un distribuidor aguas abajo a la red de distribución de electricidad de un distribuidor aguas arriba.
La Comisión Nacional de los Mercados y la Competencia supervisará el cumplimiento de los planes de inversión de los gestores de red de distribución, aprobados de conformidad con lo previsto en el Real Decreto 1048/2013, de 27 de diciembre, a los efectos del ejercicio de sus competencias en materia retributiva, o norma que la sustituya.
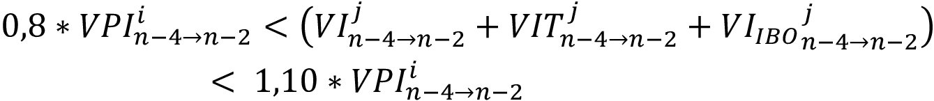
1. El último año de cada semiperiodo regulatorio las empresas distribuidoras presentarán ante la Comisión Nacional de los Mercados y la Competencia, antes del 1 de junio, un informe en el que se acredite el grado de cumplimiento de los planes de inversión ejecutados en los años n-4 a n-2.
En dicho informe se deberán motivar de forma detallada las causas que hubieran provocado que aquellas instalaciones incluidas en los planes de inversión presentados en los años anteriores, no se hayan puesto en servicio o en las que se esté incurriendo en retrasos significativos respecto a los plazos previstos.
2. La evaluación del volumen previsto de inversión con derecho a retribución a cargo del sistema (
) se llevará a cabo conforme a la normativa vigente relativa a los planes de inversión de las redes de distribución.
3. El valor del volumen de inversión previsto definido en el punto anterior se comparará con el valor de inversión retribuible obtenido en el cálculo retributivo de los ejercicios comprendidos entre el año n-2 y n, ambos inclusive, correspondientes a las inversiones ejecutadas entre los ejercicios n-4 y n-2, distinguiéndose los siguientes supuestos:
− Si
, no se realizarán modificaciones en la retribución del año n.
− Si
, la retribución del año n (RIni) se verá minorada en un porcentaje LPS de la diferencia entre la inversión realizada y el 110 % de la inversión planificada. Dicho valor LPS se establecerá por la Comisión Nacional de los Mercados y la Competencia al inicio de cada periodo regulatorio.
− Si
, la retribución del año n (RIni) se verá minorada en un porcentaje LPI de la diferencia entre el 80 % de la inversión planificada y la inversión realizada. Dicho valor LPI se establecerá por la Comisión Nacional de los Mercados y la Competencia al inicio de cada periodo regulatorio.
Donde:
–
es el valor de inversión retribuible correspondiente a los ejercicios n-4 a n-2 según se define en el artículo 7.
–
es el valor de inversión retribuible correspondiente a terrenos de los ejercicios n-4 a n-2 según se define en el artículo 9.
–
es el valor de inversión retribuible correspondiente a IBO de los ejercicios n-4 a n-2 según se define en el artículo 11.
1. La Comisión Nacional de los Mercados y la Competencia establecerá mediante resolución, previo trámite de audiencia, el contenido y formato en el que se deberá presentar la información correspondiente a los planes de inversión de las empresas distribuidoras de energía eléctrica, de tal forma que se pueda analizar la consecución de los objetivos previstos en el artículo 32 de la Directiva (UE) 2019/944, del Parlamento Europeo y del Consejo, de 5 de junio de 2019, sobre normas comunes para el mercado interior de la electricidad y por la que se modifica la Directiva 2012/27/UE, en cuanto a los servicios de flexibilidad que se incorporen, las infraestructuras de distribución que sean necesarias para conectar nuevas instalaciones de generación y de demanda, la transparencia necesaria, los escenarios contemplados y la coordinación con el operador del sistema.
2. Asimismo, en la resolución a la que se refiere el apartado anterior se establecerá el contenido y formato en el que se deberá presentar la información para el seguimiento de los planes de inversión de las empresas distribuidoras de energía eléctrica, al objeto de llevar a cabo el ajuste indicado en el artículo 18.
1. Las empresas distribuidoras deberán remitir a la Comisión Nacional de los Mercados y la Competencia la información necesaria para el cálculo de la retribución asociada a todas las instalaciones puestas en servicio el año n-2, así como aquellas que sean objeto de transmisión de titularidad, causen baja, dejen de estar disponibles o sufran modificaciones que afecten al cálculo de los parámetros retributivos establecidos en la presente circular.
2. Las empresas distribuidoras de energía eléctrica estarán obligadas a aportar la información, conforme a los formatos e instrucciones establecidos en la Circular informativa 8/2021, de 1 de diciembre, con la finalidad de establecer los parámetros que se definen en la presente circular y permitir la adecuada supervisión y control de su actividad.
3. Sin perjuicio de la posible sanción por falta de remisión o por remisión incorrecta de la información, a que pudiera dar origen, si la documentación presentada por las empresas distribuidoras para el cálculo de la retribución correspondiente al año n no reúne los requisitos exigidos, la Comisión Nacional de los Mercados y la Competencia requerirá al interesado para que, en un plazo de treinta días hábiles, subsane la falta o acompañe los documentos preceptivos. En caso de que no se procediese a la subsanación, la empresa distribuidora i que se encuentre en esta situación devengará como retribución a cuenta, hasta que se pudiera calcular la retribución, el cincuenta por ciento de la retribución correspondiente al año n-1.
Si la situación se prolongase el siguiente año, y durante los años en que esta situación continúe, esta cuantía será la retribución anual percibida sin que quepa ningún tipo de actualización ni incorporación de retribución de nuevas inversiones, hasta que se entregue la información solicitada en los formatos adecuados y con la calidad requerida
4. Con carácter general, la información requerida que tenga efectos en el cálculo de la retribución estará sujeta a auditoría en las condiciones que se determinen por parte de la Comisión Nacional de los Mercados y la Competencia.
En aquellas peticiones de información en que se estime que dicha auditoría no resulta necesaria, se hará constar expresa y motivadamente en el requerimiento de información, todo ello sin perjuicio de posteriores inspecciones o de una auditoría ulterior si se considerase oportuna.
1. De conformidad con el artículo 7.39 de la Ley 3/2013, de 4 de junio, la Comisión Nacional de los Mercados y la Competencia podrá realizar las inspecciones que considere oportunas con el fin de confirmar la veracidad de la información que, en cumplimiento de la presente circular, le sea aportada.
2. Si como consecuencia de las inspecciones se detectan diferencias en la caracterización de las infraestructuras, sus parámetros básicos o en el cumplimiento de la admisibilidad de los costes declarados, se podrán modificar, a través del procedimiento correspondiente, los parámetros retributivos relativos a esas instalaciones mediante resolución de la Comisión Nacional de los Mercados y la Competencia.
1. Se establece un incentivo de reducción de pérdidas que se aplicará a cada una de las empresas distribuidoras de energía eléctrica.
2. El incentivo para la reducción de pérdidas en la red de distribución repercutido a la empresa distribuidora i el año n, denominado
, estará asociado al nivel de pérdidas de su red de distribución en el año n-2.
3. A efectos del presente incentivo se define como pérdidas de energía en las redes de la empresa distribuidora i durante el año k,
, y se calculará según la siguiente expresión:
Donde:
−
es la energía expresada en kWh medida durante el año k en cada uno de los puntos frontera de la distribuidora i. A estos efectos, se considera con signo positivo la energía que entra a las redes de la empresa distribuidora en cada uno de sus puntos frontera con redes de otras empresas distribuidoras, puntos de generación y red de transporte y con signo negativo la energía saliente por dichos puntos.
−
es la energía expresada en kWh medida durante el año k de cada uno de los consumidores conectados a las redes de la empresa distribuidora i, medida en contador del consumidor
4. A los efectos del presente incentivo se define como pérdidas de energía de la empresa i en el año k,
, al cociente entre las pérdidas que experimenta la empresa distribuidora i en su red y la energía medida en los puntos frontera, pf, y se calculará conforme a la siguiente expresión:
5. A efectos del cálculo del presente incentivo, los datos empleados serán aquellos facilitados por el operador del sistema, tal y como se define en el artículo 30.2 v) de la Ley 24/2013, de 26 de diciembre, del Sector Eléctrico, o norma que la sustituya, en cumplimiento de la Circular informativa 8/2021, de 1 de diciembre.
6. Se asignará la penalización máxima a las empresas distribuidoras a las que no les pueda ser aplicado el incentivo a la reducción de pérdidas por falta de declaración de información al operador del sistema o por presentar información incoherente.
7. Las empresas distribuidoras a las que no les puedan ser aplicados los incentivos a la reducción de pérdidas, a efectos del cálculo, no percibirán ni incentivo ni bonificación.
8. Las inspecciones relativas a las pérdidas en la red de distribución efectuadas por la Comisión Nacional de los Mercados y la Competencia que acrediten la existencia de deficiencias tanto en la información aportada por una empresa, como en la realización de las medidas, tendrán como consecuencia la asignación de la penalización máxima. Los resultados de las citadas inspecciones no alterarán los importes a percibir por incentivo a reducción de pérdidas del resto de empresas ni los valores sectoriales fijados ex-ante.
9. Con objeto de limitar el impacto del incentivo sobre el sistema, se establecerán límites sectoriales. Dichos valores serán fijados por la Comisión Nacional de los Mercados y la Competencia al inicio de cada periodo regulatorio.
1. El valor del incentivo a la reducción de pérdidas de la empresa distribuidora i que se repercutirá en la retribución a percibir el año n, se calculará de acuerdo con la siguiente expresión:
Donde:
−
es el importe en euros del incentivo que se asignará a la empresa i en el año n considerando las pérdidas de su red de distribución en el año n-2.
−
es el ajuste realizado a la empresa i en el año n, en función de la evolución individual de sus pérdidas.
−
es un coeficiente de reparto que será de aplicación únicamente en el caso de que el importe total del incentivo del año n, considerando todas las empresas distribuidoras, supere los límites sectoriales establecidos para el incentivo.
2. Se define un rango de referencia sectorial de pérdidas [
].
Los límites
y,
serán fijados por la Comisión Nacional de los Mercados y la Competencia al inicio de cada periodo regulatorio.
Si
la empresa no percibe bonificación ni abona penalización
Si
la empresa debe percibir una bonificación:
Si
la empresa debe abonar una penalización:
Donde:
− Precion es el precio de la energía de pérdidas, en €/kWh. Su valor será fijado por la Comisión Nacional de los Mercados y la Competencia al inicio de cada periodo regulatorio.
−
es la bonificación máxima de incentivo a la reducción de pérdidas que se puede asignar en el año n a la empresa i. Dicho valor será fijado por la Comisión Nacional de los Mercados y la Competencia al inicio de cada periodo regulatorio.
−
es la penalización máxima de incentivo a la reducción de pérdidas que se puede asignar en el año n a la empresa i. Dicho valor será fijado por la Comisión Nacional de los Mercados y la Competencia al inicio de cada periodo regulatorio.
−
se corresponde con la diferencia entre la energía perdida por la empresa distribuidora i y la que hubiera perdido en caso de tener unas pérdidas iguales a la referencia sectorial considerada en cada caso:
Siendo:
−
son las pérdidas de energía, expresadas en kWh, de la empresa i en el año n-2, calculadas de acuerdo con el artículo 22.3.
−
es el nivel de pérdidas, de la empresa i en el año n-2, calculadas de acuerdo con el artículo 22.4.
−
si la empresa debe recibir bonificación.
−
si la empresa debe abonar penalización.
3. A efectos de cuantificar la evolución individual con relación a la reducción del nivel de pérdidas de la empresa i se define:
Donde:
−
es la referencia individual utilizada para evaluar la evolución de la empresa. Dicho valor será fijado ex-ante por la Comisión Nacional de los Mercados y la Competencia para todo el periodo regulatorio.
4.
vendrá determinado por:
a) Si la empresa debe recibir una bonificación:
1. Si
, entonces
.
2. Si
, entonces
.
3. Si
, entonces
.
4. Si
, entonces
.
b) Si la empresa debe abonar una penalización:
1. Si
, entonces
.
2. Si
, entonces
.
3. Si
, entonces
.
4. Si
, entonces
.
Donde:
– APMAX es el valor máximo previsto para el ajuste realizado a la empresa i en el año n, en función de la evolución individual de sus pérdidas. Dicho valor será fijado por la Comisión Nacional de los Mercados y la Competencia al inicio de cada periodo regulatorio.
– UM es el umbral de mejora a partir del cual se aplica una mayoración o minoración máxima, APMAX, en la bonificación o en la penalización de la empresa i. Dicho valor será fijado por la Comisión Nacional de los Mercados y la Competencia al inicio de cada periodo regulatorio.
– UE es el umbral de empeoramiento a partir del cual se aplica una minoración o mayoración máxima, APMAX, en la bonificación o en la penalización de la empresa i. Dicho valor será fijado por la Comisión Nacional de los Mercados y la Competencia al inicio de cada periodo regulatorio.
c) No obstante lo definido en los apartados a y b, se establecen las siguientes excepciones para el cálculo de
:
1. Si
.
2. Si
.
3. Si el valor
no puede ser determinado por falta de información disponible para el periodo considerado u otras casuísticas, el término
tomará el valor de 1.
5. En el caso de que la aplicación del ajuste
diera lugar a que la magnitud
supere los valores máximos previstos para la bonificación y/o penalización máxima establecida,
, se aplicarán dichos valores en su lugar.
6. Para las empresas con valores de pérdidas iguales o superiores al 20 %,
, se aplicará la penalización máxima
.
7.
vendrá determinado por la siguiente expresión:
a) Si se supera la bonificación sectorial máxima prevista para el incentivo a la reducción de pérdidas, PBMAXn, entonces:
− Si la empresa debe abonar una penalización, entonces
:
− Si la empresa debe recibir una bonificación, entonces:
Donde PBMAXn es la bonificación sectorial máxima prevista para el incentivo para el año n. Dicho valor será fijado por la Comisión Nacional de los Mercados y la Competencia al inicio de cada periodo regulatorio.
b) Si se supera la penalización sectorial máxima prevista para el incentivo a la reducción de pérdidas, PPMAXn, entonces:
− Si la empresa debe recibir bonificación entonces: 
− Si la empresa debe abonar una penalización entonces:
Donde PPMAXn es la penalización sectorial máxima prevista para el incentivo para el año n. Dicho valor será fijado por la Comisión Nacional de los Mercados y la Competencia al inicio de cada periodo regulatorio.
c) Para el resto de los casos
.
1. Se establece un incentivo a la mejora de la calidad de suministro que se aplicará a cada una de las empresas distribuidoras de energía eléctrica.
2. El incentivo para la mejora de la calidad de suministro repercutido a la empresa distribuidora i el año n, denominado
, estará asociado a los indicadores de calidad de suministro obtenidos por la empresa distribuidora i entre los años n-4 a n-2.
3. A efectos del presente incentivo, se considerarán como TIEPI, tiempo de interrupción equivalente de la potencia instalada en media tensión,, las interrupciones imputables a «Programadas Transporte», «Programadas Distribución», «Imprevistos Transporte» e «Imprevistos Propias» conforme al artículo 100 del Real Decreto 1955/2000, de 1 de diciembre, por el que se regulan las actividades de transporte, distribución, comercialización, suministro y procedimientos de autorización de instalaciones de energía eléctrica, y a lo establecido en la Orden ECO/797/2002, de 22 de marzo, por la que se aprueba el procedimiento de medida y control de la continuidad del suministro eléctrico, o normas que las sustituyan.
4. A efectos del cálculo del presente incentivo, los datos empleados serán aquellos declarados por las empresas distribuidoras con objeto de la entrega de la Circular informativa 8/2021, de 1 de diciembre, sin perjuicio de las obligaciones establecidas en la Orden ECO/797/2002, de 22 de marzo, por la que se aprueba el procedimiento de medida y control de la continuidad del suministro eléctrico. En este sentido, la Comisión Nacional de los Mercados y la Competencia podrá establecer, en la referida Circular informativa 8/2021 o Circular que la sustituya, criterios adicionales para la consideración a efectos retributivos de la información declarada por las empresas distribuidoras por este concepto.
5. Se asignará la penalización máxima a aquellas empresas distribuidoras a las que no les puedan ser aplicados los incentivos a la mejora en la calidad en las redes eléctricas, por no haber dado cumplimiento a la obligación de envío de información conforme a Circular informativa 8/2021, de 1 de diciembre.
6. El indicador de calidad de suministro en la red de distribución se obtendrá a partir del tiempo de interrupción en la continuidad del servicio eléctrico, TIEPI, en función de la desviación respecto a una referencia sectorial.
7. La regulación del presente incentivo a efectos retributivos se entiende sin perjuicio de las consecuencias que se deriven del incumplimiento de los índices de calidad del suministro que apruebe el Gobierno conforme a lo establecido en el artículo 51 de la Ley 24/2013, de 26 de diciembre, del Sector Eléctrico.
8. Las empresas distribuidoras a las que no les puedan ser aplicados los incentivos a la mejora en la calidad en las redes eléctricas a efectos del cálculo, no percibirán ni incentivo ni bonificación.
9. Las inspecciones relativas a calidad de suministro efectuadas por la Comisión Nacional de los Mercados y la Competencia que acrediten la existencia de deficiencias en la información aportada por una empresa y/o incumplimientos relativos a la Orden ECO/797/2002, de 22 de marzo, por la que se aprueba el procedimiento de medida y control de la continuidad del suministro eléctrico tendrán como consecuencia la asignación de la penalización máxima. Los resultados de las citadas inspecciones no alterarán los importes a percibir por incentivo a la mejora de la calidad del resto de empresas ni los valores sectoriales fijados ex-ante.
10. Con objeto de limitar el impacto del incentivo sobre el sistema se establecerán límites sectoriales. Dichos valores serán fijados por la Comisión Nacional de los Mercados y la Competencia al inicio de cada periodo regulatorio.
1. El valor del incentivo a la mejora de la calidad de suministro de la empresa distribuidora i que se repercutirá en la retribución a percibir el año n, se calculará de acuerdo con la siguiente expresión:
Donde:
−
es la penalización o bonificación que se asignará a la empresa i en el año n por la evolución del TIEPI.
−
es el ajuste realizado a la empresa i en el año n, en función de la evolución individual de su TIEPI.
−
es un coeficiente de reparto que será de aplicación únicamente en el caso de que el importe total del incentivo del año n, considerando todas las empresas distribuidoras, supere los límites sectoriales establecidos para el incentivo.
2. El indicador que determina si una empresa distribuidora i, debe cobrar incentivo o abonar penalización en el año n,
, vendrá determinado por la siguiente expresión:
Donde:
− i es la empresa distribuidora.
− j es la zona de calidad según la definición establecida en el artículo 99 del Real Decreto 1955/2000, de 1 de diciembre, (urbano, semiurbano, rural concentrado y rural disperso).
− n es el año en el que se calcula el incentivo.
−
es el promedio del TIEPI considerado a efectos de incentivo de la empresa distribuidora i en el periodo que transcurre entre los años n-2 y n-4, en la zona j.
−
es la referencia sectorial utilizada. Dicho valor será fijado por la Comisión Nacional de los Mercados y la Competencia al inicio de cada periodo regulatorio.
−
es el peso asignado a cada zona j de la empresa i a efectos de promediar el indicador de calidad por zona j para el año n:
Donde:
−
es la potencia instalada en centros de transformación MT/BT más la potencia contratada en MT (en kVA) conectada a las redes de la empresa distribuidora i en el año k, en la zona de calidad j.
3. A efectos de cuantificar la evolución individual con relación a la mejora del TIEPI de la empresa i se define:
Donde:
es la referencia individual utilizada para evaluar la evolución de la empresa i. Dicho valor será fijado ex-ante por la Comisión Nacional de los Mercados y la Competencia para todo el periodo regulatorio.
4.
, vendrá determinado por la siguiente expresión:
a) Si
, la empresa deberá abonar una penalización:
b) Si
, la empresa deberá recibir una bonificación:
Donde
−
es la penalización máxima de incentivo de calidad que se puede asignar en el año n a la empresa i. Dicho valor será fijado por la Comisión Nacional de los Mercados y la Competencia al inicio de cada periodo regulatorio.
−
es el umbral del indicador CTIEPI a partir del cual la empresa i percibe la penalización máxima
. Dicho valor será fijado por la Comisión Nacional de los Mercados y la Competencia al inicio de cada periodo regulatorio.
−
es la bonificación máxima de incentivo de calidad que se puede asignar en el año n a la empresa i. Dicho valor será fijado por la Comisión Nacional de los Mercados y la Competencia al inicio de cada periodo regulatorio.
−
es el umbral del indicador CTIEPI a partir del cual la empresa i percibe la bonificación máxima
. Dicho valor será fijado por la Comisión Nacional de los Mercados y la Competencia al inicio de cada periodo regulatorio.
5.
, vendrá determinada por:
a) Si la empresa debe abonar una penalización,
:
1. Si
, entonces
.
2. Si
, entonces
.
3. Si
, entonces
.
4. Si
, entonces
.
b) Si la empresa debe recibir una bonificación,
, entonces:
1. Si
, entonces
.
2. Si
, entonces
.
3. Si
, entonces
.
4. Si
, entonces
.
Donde:
− ATMAX es el valor máximo previsto para el ajuste realizado a la empresa i en el año n, en función de la evolución del TIEPI. Dicho valor será fijado por la Comisión Nacional de los Mercados y la Competencia al inicio de cada periodo regulatorio.
−
es el umbral de mejora a partir del cual se aplica una mayoración o minoracion máxima, ATMAX, en la bonificación o en la penalización de la empresa i. Dicho valor será fijado por la Comisión Nacional de los Mercados y la Competencia al inicio de cada periodo regulatorio.
−
es el umbral de empeoramiento a partir del cual se aplica una minoración o mayoracion máxima, ATMAX, en la bonificación o en la penalización de la empresa i. Dicho valor será fijado por la Comisión Nacional de los Mercados y la Competencia al inicio de cada periodo regulatorio.
c) No obstante lo definido en los apartados a y b, se establecen las siguientes excepciones para el cálculo de
:
1. Si
para todas y cada una de las zonas de calidad, j, entonces
.
6. En el caso de que la aplicación del ajuste
diera lugar a que la magnitud
supere los valores máximos previstos para la bonificación y/o penalización máxima establecida,
, se aplicarán dichos valores en su lugar.
7.
vendrá determinado por la siguiente expresión:
a) Si se supera la bonificación sectorial máxima prevista para el incentivo de calidad, QBMAXn, entonces:
− Si la empresa debe abonar una penalización,
, entonces
:
− Si la empresa debe recibir una bonificación,
, entonces:
Donde QBMAXn la bonificación sectorial máxima prevista para el incentivo para el año n. Dicho valor será fijado por la Comisión Nacional de los Mercados y la Competencia al inicio de cada periodo regulatorio.
b) Si se supera la penalización sectorial máxima prevista para el incentivo de calidad, QPMAXn, entonces:
− Si la empresa debe recibir bonificación,
, entonces: 
− Si la empresa debe abonar una penalización,
, entonces:
Donde QPMAXn es la penalización sectorial máxima prevista para el incentivo para el año n. Dicho valor será fijado por la Comisión Nacional de los Mercados y la Competencia al inicio de cada periodo regulatorio.
c) Para el resto de los casos
.
1. En el caso de que los activos que son objeto de retribución conforme a esta circular sean empleados en la realización de actividades diferentes a la distribución de electricidad, la retribución anual a percibir por parte de los sujetos distribuidores se minorará teniendo en cuenta la contribución de tales activos a las referidas actividades.
2. A los efectos de esta minoración de la retribución, por el empleo de la fibra óptica, la Comisión Nacional de los Mercados y la Competencia aplicará la Resolución de 18 de enero de 2024, de la Comisión Nacional de los Mercados y la Competencia, por la que se establece la metodología del cálculo del ajuste a realizar en la retribución anual de las empresas de transporte y distribución de energía eléctrica por el empleo de la fibra óptica en la realización de actividades diferentes al transporte y la distribución de electricidad, modificada mediante Resolución de 10 de septiembre de 2025, o resolución que la sustituya.
3. En relación con otros activos y recursos regulados distintos de la fibra óptica, se determinará mediante resolución, adoptada previo trámite de audiencia, la metodología de ajuste retributivo a realizar por la utilización de dichos activos y recursos. Esta metodología tendrá en cuenta, en todo caso, los costes directos e indirectos de los activos empleados, así como el coste en que, de no mediar el empleo de estos activos, se habría incurrido para poder realizar esas otras actividades. Asimismo, podrán tenerse en cuenta, entre otros factores, el ingreso por las actividades diferentes a la distribución, la contribución a dicho ingreso realizada por los activos regulados o las circunstancias que puedan concurrir respecto de las cesiones del uso de los activos entre sociedades de un mismo grupo o terceras sociedades.
4. En ningún caso la realización de actividades diferentes a la distribución puede suponer un coste adicional para las actividades con una metodología retributiva regulada.
1. Al efecto de incorporar un principio de prudencia financiera requerido a los titulares de activos de red de distribución, se establece una penalización para las empresas cuyos ratios se sitúen fuera de los rangos de valores recomendables enunciados en el apartado quinto de la Comunicación 1/2019, de 23 de octubre, de definición de ratios para valorar el nivel de endeudamiento y la capacidad económico-financiera de las empresas que realizan actividades reguladas, y de rangos de valores recomendables de los mismos.
2. La penalización será el resultado de aplicar la siguiente fórmula:
Donde:
− n es cada año del periodo regulatorio.
−
: valor de la penalización en el año n, en €.
−
: retribución anual del titular de activos de red en el año n, en euros, en los términos en los que se define en el artículo 5.
−
: índice global de ratios del año n, definido en el apartado sexto de la Comunicación 1/2019, de 23 de octubre, de definición de ratios para valorar el nivel de endeudamiento y la capacidad económico-financiera de las empresas que realizan actividades reguladas, y de rangos de valores recomendables de los mismos.
3. La penalización no será aplicable si se deriva de la existencia de saldos pendientes de liquidar al sistema eléctrico, o de fianzas y depósitos pendientes de devolver a clientes, que se hayan computado como deuda.
4. La penalización no será aplicable si el titular de activos de red de distribución forma parte de un grupo de sociedades en el que la matriz de dicho grupo también es titular de tales activos, y a nivel agregado o consolidado de dicha matriz y sus filiales titulares de activos de red, el IGR es superior o igual a 0,90.
5. La penalización no será aplicable a las empresas distribuidoras de menos de 100.000 clientes.
6. El índice global de ratios del año n se determinará, para cada titular de activos de red de distribución, sobre sus datos relativos al ejercicio n-2, por resolución de la Comisión Nacional de los Mercados y la Competencia, previa audiencia a los interesados, en la que podrán alegar sobre los cálculos realizados y sobre la concurrencia de los supuestos recogidos en los apartados 3 y 4.
El primer periodo de aplicación de la metodología de retribución recogida en la presente circular transcurrirá del 1 de enero de 2026 al 31 de diciembre de 2031.
1. El cálculo de la retribución a la inversión de los ejercicios 2026 y 2027 se efectuará de acuerdo con la siguiente expresión:
Donde:
–
es la retribución a la inversión de la empresa i en el año n correspondiente a las instalaciones con puesta en servicio anterior a 1 de enero de n-1 en base a los costes incurridos auditados, declarados en la Circular informativa 8/2021, de 1 de diciembre. Se calculará conforme se establece en el artículo 6.
–
es la referencia de la retribución a la operación y mantenimiento. Para la retribución del ejercicio 2026 se calculará según se establece en el apartado 2. Para el ejercicio 2027 se calculará conforme se establece en el artículo 12.
–
es la retribución por extensión de vida útil para el año n que percibirá una empresa distribuidora i por todas aquellas instalaciones de distribución, que habiendo superado su vida util regulatoria, siguen en servicio en el año n-2, siempre y cuando se acredite la disponibilidad efectiva de cada una de dichas instalaciones. Todo ello conforme se establece en el artículo 13.
–
es la retribución por otros costes directamente relacionados con la actividad de distribución que no se encuentran contemplados en los términos anteriores. Se calculará según se establece en el artículo 14.
–
es el término de incentivo o penalización por la reducción de pérdidas repercutido a la empresa distribuidora i el año n, asociado al nivel de pérdidas de su red en el año n-2. Dicho incentivo a la reducción de pérdidas se calculará según lo establecido en el Capítulo V.
–
es el término de incentivo o penalización a la calidad del servicio repercutido a la empresa distribuidora i el año n asociado a los indicadores de calidad de suministro obtenidos por la empresa distribuidora i entre los años n-4 a n-2. Dicho incentivo a la calidad se calculará según lo establecido en el Capítulo VI.
2. Para el cálculo del
se aplicará la formulación prevista en el artículo 12, donde
se calculará a partir de la retribución para el ejercicio 2025 agrupando los conceptos siguientes:
– Retribución del componente gestionable de la retribución de la actividad de distribución en el ejercicio 2025.
– Retribución por otras tareas reguladas desarrolladas por las empresas distribuidoras en el ejercicio 2025.
Dicha agrupación irá afectada por un ajuste inicial en base a los costes incurridos en el primer semiperiodo del periodo regulatorio anterior (ejercicios 2020 a 2022). Este ajuste inicial, en función del tamaño de las empresas, será el contenido en la tabla siguiente:
| Grupo | Número clientes |
Ajuste – Porcentaje |
|---|---|---|
| 1 | 1-1.000 | 2 |
| 2, 3 y 4 | 1.001-1.000.000 | 7 |
| 5 y 6 | >1.000.001 | 13 |
En el supuesto de que, una vez determinada la retribución correspondiente al ejercicio 2025, se constate que alguna empresa presenta márgenes inferiores al ajuste de su grupo de referencia, se procederá a efectuar el ajuste correspondiente tomando como base el grupo inmediatamente anterior. En el caso de las empresas del grupo 1 que se encuentren en esta circunstancia, no se les realizará ajuste.
Asimismo, en el supuesto de que, una vez determinada la retribución correspondiente al ejercicio 2025, se constate que alguna empresa presenta márgenes en el promedio de las retribuciones de los años 2023-2025 superiores en más de 10 puntos a los calculados para su grupo, se procederá a efectuar un ajuste adicional del 50 % de dicha diferencia. Este ajuste adicional no se aplicará a las empresas del grupo 1.
A los efectos de los dos párrafos anteriores, el margen se calculará como el resultado de dividir la diferencia entre la retribución del periodo 2023-2025 de la operación y mantenimiento (componente gestionable y otras tareas reguladas), sin tener en cuenta la tasa de ocupación de la vía pública, ni el coste de financiación del bono social, y los costes realmente incurridos por esos conceptos, declarados por las empresas distribuidoras, de acuerdo con la Circular informativa 8/2021, de 1 de diciembre, en ese mismo periodo, y esa misma retribución del periodo 2023-2025.
3. Para los ejercicios 2026 y 2027, en el cálculo de la variación del inmovilizado bruto retributivo (
) a considerar en el término RefROM, se considerarán las inversiones realmente ejecutadas por las empresas distribuidoras, a las que se descontarán las bajas de instalaciones que dejen de estar en servicio en el año n-2.
4. Una vez determinada la retribución anual de cada empresa distribuidora conforme a lo establecido en los apartados anteriores, se realizará el ajuste retributivo previsto en el artículo 26 y se aplicará, en su caso, la penalización relativa a la prudencia financiera prevista en el artículo 27.
1. La retribución de la actividad de distribución reconocida a la distribuidora i en el año 2028 por el desempeño de su actividad el año 2026 se determinará conforme a la siguiente formulación:
Donde:
–
es la retribución de referencia a la inversión en el ejercicio 2028, de acuerdo con la siguiente expresión:
Donde:
– Los términos
y
se calcularán según se establece en el artículo 7.
–
se corresponde con la retribución a la inversión en base a las nuevas inversiones admisibles para el ejercicio 2026 de acuerdo con la formulación establecida en el artículo 10, con la salvedad de que el parámetro
irá multiplicado por el promedio de incremento de potencia en redes que se produzca en el periodo 2026- 2028. Este valor no podrá ser inferior, en más de un 1,5 %, al valor del
.
–
es la retribución a la inversión de la empresa i en el año 2028 correspondiente a las instalaciones con puesta en servicio anterior a 1 de enero de 2027 en base a los costes incurridos auditados, declarados en la Circular informativa 8/2021, de 1 de diciembre. Se calculará conforme se establece en el artículo 7.
–
es la retribución de referencia a la operación y mantenimiento en el ejercicio 2028, calculada conforme al artículo 12.
–
es la retribución por extensión de vida útil para el año n que percibirá una empresa distribuidora i por todas aquellas instalaciones de distribución, que habiendo superado su vida util regulatoria, siguen en servicio en el año 2026, siempre y cuando se acredite la disponibilidad efectiva de cada una de dichas instalaciones. Todo ello conforme se establece en el artículo 13.
–
es la retribución en el año 2028 correspondiente a las inversiones excepcionales ejecutadas por la empresa distribuidora i en el ejercicio 2026, relativas a las actuaciones que supongan una cuantía superior al 50 por ciento del límite máximo individual de inversión fijado para dicha empresa en el año n. Para ello se considerarán los requisitos establecidos en el artículo 8. Su cálculo se llevará a cabo de acuerdo a los costes realmente incurridos, según se establece en el artículo 7.
–
es la retribución por otros costes directamente relacionados con la actividad de distribución que no se encuentran contemplados en los términos anteriores. Se calculará según se establece en el artículo 14.
–
es el término de incentivo o penalización por la reducción de pérdidas repercutido a la empresa distribuidora i el año n, asociado al nivel de pérdidas de su red en el año 2026. Dicho incentivo a la reducción de pérdidas se calculará según lo establecido en el capítulo V.
–
es el término de incentivo o penalización a la calidad del servicio repercutido a la empresa distribuidora i el año n asociado a los indicadores de calidad de suministro obtenidos por la empresa distribuidora i entre los años 2024 a 2026. Dicho incentivo a la calidad se calculará según lo establecido en el capítulo VI.
2. Una vez determinada la retribución anual de cada empresa distribuidora conforme a lo establecido en el apartado anterior, se realizará el ajuste retributivo previsto en el artículo 26 y se aplicará, en su caso, la penalización relativa a la prudencia financiera prevista en el artículo 27.
1. El parámetro IRMn, definido en el artículo 5 como el incentivo de reparto de márgenes entre la empresa distribuidora y el sector, tomará los siguientes valores en el segundo semiperiodo regulatorio:
| Retribución |
IRMn – Porcentaje |
|---|---|
| 2029 | 50 |
| 2030 | 50 |
| 2031 | 50 |
2. La senda
definida en el artículo 10 tomará para cada año n del periodo regulatorio, el siguiente valor:
Donde:
–
es la representatividad de la empresa i respecto al total del sector en términos retributivos. Se calculará como el coeficiente resultante de dividir la retribución aprobada para el año n–1 de la empresa i entre la retribución de la totalidad de las empresas distribuidoras para dicho año. En caso de que no haya retribución aprobada para el año n-1, se empleará la última retribución aprobada.
–
es el PIB nominal de España previsto para el año n-2 en el momento de presentación de los planes de inversión para dicho año, de acuerdo con los valores considerados para el establecimiento del límite máximo de inversión anual en la red de distribución con derecho a retribución con cargo al sistema.
En caso de que durante el periodo regulatorio se aprueben modificaciones normativas que incrementen el límite de inversión anual a ejecutar por las empresas distribuidoras en dicho periodo, sujeto a la realización de determinadas categorías de inversiones que no estén vinculadas a incrementos de potencia, el valor de la senda
se incrementará para cada año n, en el valor de inversión realizado para dichas categorías de inversiones, siempre que su volumen real de inversión ejecutada en el ejercicio n-2 esté por encima del valor
. En este supuesto, las nuevas inversiones admisibles definidas en el artículo 10 se calcularán considerando el porcentaje de inversiones vinculadas a incrementos de potencia, ejecutadas por la empresa, sobre el total de inversiones que estén por encima del límite de inversión.
Adicionalmente, en caso de que las empresas distribuidoras incorporen infraestructuras de evacuación y de consumo a su red de distribución, de acuerdo con los requisitos establecidos en el artículo 3 de la presente circular, el valor de la senda
se verá incrementado en un 50 % del valor de inversión neto retribuible correspondiente al conjunto de instalaciones incorporadas a la red de distribución en el ejercicio n-2.
3. La vida útil media de las nuevas inversiones admisibles, según se define en el artículo 10, tomará el valor de 30 años para el periodo regulatorio.
4. El parámetro de sostenibilidad económica
, según se define en el artículo 10, tomará el valor de 257 €/kW en el periodo regulatorio.
5. El parámetro
definido en el artículo 10 tomará los siguientes valores en el periodo regulatorio para cada grupo de empresas:
| Grupo | Número clientes |
|
|---|---|---|
| 1-3 | 1-100.000 | 1,3 |
| 4 | 100.001-1.000.000 | 1,2 |
| 5 | 1.000.001-5.000.000 | 1,1 |
| 6 | >5.000.001 | 1 |
6. El parámetro
definido en el artículo 12, que representa el porcentaje de todos los costes de operación y mantenimiento frente al inmovilizado bruto sectorial, tomará el valor de 1,74 % en el periodo regulatorio.
7. El parámetro α definido en el artículo 12, en base a la retribución por otras tareas reguladas desarrolladas por las empresas distribuidoras, sin considerar la tasa de ocupación de la vía pública, en relación con el número de puntos de suministro activos total de cada grupo de empresas, tomará los siguientes valores en el periodo regulatorio:
| Grupo | Número clientes | α |
|---|---|---|
| 1 | 1-1.000 | 163 |
| 2 | 1.001-10.000 | 74 |
| 3 | 10.001-100.000 | 63 |
| 4 | 100.001-1.000.000 | 59 |
| 5 | 1.000.001-5.000.000 | 21 |
| 6 | >5.000.001 | 14 |
8. El factor de ajuste (FA), definido en el artículo 12, tomará el valor de 0,97 en el primer semiperiodo regulatorio (2026-2028) y el valor de 1 en el segundo semiperiodo regulatorio (2029-2031).
9. El valor de los porcentajes de minoración LPS y LPI, definidos en el artículo 18 tomarán el valor del 20 % en el periodo regulatorio. En caso de que una empresa sea penalizada en el primer semiperiodo, la minoración en el segundo semiperiodo se elevará al 30 %.
Para el cálculo del incentivo a la reducción de pérdidas en las redes eléctricas para el periodo regulatorio 2026-2031, se establecen las siguientes particularidades:
1. La bonificación sectorial máxima prevista para el incentivo a la reducción de pérdidas será
, siendo
la retribución total de la actividad del año n sin tener en cuenta los incentivos.
2. La penalización sectorial máxima prevista para el incentivo a la reducción de pérdidas será
, siendo
la retribución total de la actividad del año n sin tener en cuenta los incentivos.
3. El rango de referencia sectorial [
;
]. empleado en el cálculo del incentivo se fija considerado los siguientes valores:
a) [8,0 %;9,0 %] en el cálculo de la retribución correspondiente a los ejercicios 2026, 2027 y 2028.
b) [7,5 %;8,5 %] en el cálculo de la retribución correspondiente a los ejercicios 2029, 2030 y 2031.
4. La referencia individual
empleada en el cálculo de
en el periodo regulatorio se establecerá, previo trámite de audiencia, en la resolución en la que se apruebe el incentivo de pérdidas correspondiente a la retribución del 2025. En los casos en los que
no pueda ser determinado, no se aplicará el ajuste
, previsto en el artículo 23.4.
5. El precio de la energía de pérdidas, Precio n, considerado será 0,0702 €/kWh.
6. El límite individual establecido a las penalizaciones máximas
será –4 %
, siendo
la retribución asignada a la empresa distribuidora i en el año n sin tener en cuenta los incentivos.
7. El límite individual establecido a las bonificaciones máximas
, siendo
la retribución asignada a la empresa distribuidora i en el año n sin tener en cuenta los incentivos.
8. Se fija el valor máximo previsto para el ajuste realizado al incentivo de reducción de pérdidas en función de la evolución individual de las pérdidas de la empresa distribuidora, APMAX =0,5.
9. Se fija el valor del umbral de mejora a partir del cual se aplica una mayoración/minoración máxima en la bonificación/penalización de la empresa, UM = –1,5 %.
10. Se fija el valor del umbral de empeoramiento a partir del cual se aplica una minoración/mayoración máxima en la bonificación/penalización de la empresa, UE = 1,5 %.
Para el cálculo del incentivo a la mejora de calidad en las redes eléctricas para el periodo regulatorio 2026-2031, se establecen las siguientes particularidades:
1. La bonificación sectorial máxima prevista para el incentivo de calidad será
, siendo
la retribución total de la actividad del año n sin tener en cuenta los incentivos.
2. La penalización sectorial máxima prevista para el incentivo de calidad será
, siendo
la retribución total de la actividad del año n sin tener en cuenta los incentivos.
3. La referencia sectorial
empleada en el cálculo del incentivo se fija considerado los siguientes valores:
| Zona | Retribución de los ejercicios 2026, 2027 y 2028 | Retribución de los ejercicios 2029, 2030 y 2031 |
|---|---|---|
| U | 0,4888 | 0,4644 |
| SU | 0,6000 | 0,5700 |
| RC | 1,0648 | 1,0116 |
| RD | 1,7393 | 1,6523 |
4. La referencia
empleada en el cálculo de
en el periodo regulatorio se establecerá, previo trámite de audiencia, en la resolución en la que se apruebe el incentivo de mejora de calidad correspondiente a la retribución del 2025. En los casos en los que
no pueda ser determinado, no se aplicará el ajuste
, previsto en el artículo 2325.5, tomando
.
Si a lo largo de periodo regulatorio se produjeran reclasificaciones de las zonas de distribución de la empresa distribuidora i, no se aplicará el ajuste
, previsto en el artículo 2325.5, tomando
.
5. El límite establecido a las penalizaciones máximas será
, siendo
la retribución asignada a la empresa distribuidora i en el año n sin tener en cuenta los incentivos.
6. El límite establecido a las bonificaciones máximas será
, siendo
la retribución asignada a la empresa distribuidora i en el año n sin tener en cuenta los incentivos.
7. Se fija el valor del indicador CTIEPI a partir del cual la empresa i percibe la bonificación máxima
,
.
8. Se fija el valor del indicador CTIEPI a partir del cual la empresa i percibe la penalización máxima
,
.
9. Se fija el valor del umbral de mejora a partir del cual se aplica una mayoración/minoración en la bonificación/penalización de la empresa,
.
10. Se fija el valor del umbral de empeoramiento a partir del cual se aplica una minoración/mayoración en la bonificación/penalización de la empresa,
.
11. Se fija el valor máximo previsto para el ajuste realizado al incentivo de mejora de calidad en función de la evolución individual de TIEPI de la empresa distribuidora, ATMAX =0,5.
En los tres primeros años del periodo regulatorio 2026-2031, la penalización establecida en el artículo 29 no podrá superar el 1 % de la retribución anual del titular de activos de red.
Para el cálculo de la retribución de una empresa distribuidora que adquiera otra empresa distribuidora o varias empresas que se fusionen, durante el primer semiperiodo regulatorio 2026-2028, en el cálculo de OPEX, realizado conforme al artículo 12, se considerará la suma de los términos
de cada una de las empresas por separado.
A partir del segundo semiperiodo, para la aplicación de esta Circular, se considerará a efectos del cálculo de la retribución de referencia por operación y mantenimiento definida en el artículo 12 de las empresas distribuidoras correspondientes a un mismo grupo empresarial, la media aritmética entre el valor resultante de aplicar el número total de clientes de dicho grupo empresarial, obtenido como la suma de los clientes pertenecientes a cada una de las empresas distribuidoras que lo integran, y el valor correspondiente al número de clientes de la empresa.
Para la determinación de los ajustes iniciales a aplicar en base a los costes incurridos para periodos regulatorios futuros, así como el resto de parámetros de la retribución de operación y mantenimiento, se considerará en cualquier caso el número de clientes correspondiente al grupo empresarial.
La Comisión Nacional de los Mercados y la Competencia adecuará el contenido de la Circular informativa 8/2021, de 1 de diciembre, al objeto de adaptarla a la metodología establecida en la presente circular.
A efectos de su aplicación a partir de la retribución del ejercicio 2028, la Comisión Nacional de los Mercados y la Competencia establecerá, con anterioridad a dicho año, mediante resolución y previo trámite de audiencia, la metodología de valoración de las pérdidas no gestionables a considerar a las empresas distribuidoras, que se añadirá al incentivo previsto en el Capítulo V al final de cada semiperiodo.
En este sentido, se considerarán como pérdidas no gestionables:
– Aquellas asociadas a la existencia de bolsas de fraude sistémicas, en localizaciones singulares y claramente delimitadas, histórica y geográficamente, y
– Únicamente en aquellos casos en los que se haya demostrado fehacientemente la imposibilidad por parte de la empresa distribuidora, de gestionar dichas pérdidas debido a situaciones extraordinarias que se encuentran fuera de su control.
– Y haya una sentencia judicial que impide el corte de suministro a los clientes de dicha zona.
La Comisión Nacional de los Mercados y la Competencia podrá solicitar la información que considere necesaria para la determinación, de los aspectos anteriormente indicados a las empresas distribuidoras, así como a otros organismos públicos.
En caso de que se compruebe que los datos de potencia adscrita a los derechos de extensión declarados en virtud de la Circular informativa 8/2021, de 1 de diciembre, no reúnen la calidad requerida, para el cálculo de la retribución de referencia definida en el artículo 10, la CNMC podrá considerar como referencia la potencia facturada declarada por las empresas distribuidoras al sistema de liquidaciones de las actividades reguladas previsto en el Real Decreto 2017/1997, de 26 de diciembre, entre los ejercicios n-1 y n, corregida con el resultado de las inspecciones que se realicen sobre este sistema. El valor de potencia facturada de cada empresa se calculará como el cociente entre la facturación de potencia mensual declarado por la distribuidora i (€) y la suma de los precios (€/kW) del término de potencia de los peajes vigentes de cada periodo tarifario del año correspondiente, sin considerar los excesos de potencia ni el peaje 6.4.
Hasta que se apruebe la resolución a la que se refiere el artículo 26 referente a otros activos distintos de la fibra óptica, se considerará el cincuenta por ciento de los ingresos anuales obtenidos por el grupo en la realización de actividades diferentes a la distribución de electricidad que empleen dichos activos afectos a la actividad de distribución eléctrica a los efectos de minorar el valor anual de la retribución.
No obstante, este ajuste se regularizará si, de la resolución prevista en el referido artículo 26, resultase un porcentaje inferior de ingresos a considerar.
A las instalaciones puestas en servicio antes del 1 de enero de 2026 se les aplicarán los criterios de clasificación de inversiones establecidos en la Circular 6/2019, de 5 de diciembre.
1. Con relación a la retribución del período regulatorio 2022 a 2025 que se encuentre pendiente de aprobar a la fecha de entrada en vigor de esta Circular, se aplicará la metodología retributiva contenida en la Circular 6/2019, de 5 de diciembre.
2. Al respecto del componente gestionable y del componente de otras tareas reguladas necesarias en el ejercicio de la actividad de distribución a los que se refiere el artículo 11.1 y la disposición adicional segunda de esta circular, se aplicará lo previsto en los artículos 13 y 18 de la mencionada Circular 6/2019, de 5 de diciembre, este último sin considerar la tasa de ocupación de la vía pública.
1. Las empresas distribuidoras con menos de 10.000 clientes conectados a sus redes podrán solicitar de forma motivada a la Comisión Nacional de los Mercados y la Competencia, que no les sea de aplicación la formulación del modelo TOTEX establecido en esta circular en el segundo semiperiodo regulatorio (retribuciones de 2029 a 2031). En su lugar, a las empresas que lo soliciten se les aplicará para los ejercicios 2029 y 2030 lo establecido en la disposición adicional segunda, y para el ejercicio 2031 la metodología de cálculo establecida en la disposición adicional tercera.
2. Estas empresas dispondrán de plazo hasta el 1 de octubre de 2026 para realizar la solicitud prevista en el apartado anterior, que comenzará a computarse desde la entrada en vigor de la presente circular.
Queda derogadas cuantas disposiciones de igual o inferior rango se opongan a lo establecido por la presente Circular y en particular, la Circular 6/2019, de 5 de diciembre, de la Comisión Nacional de los Mercados y la Competencia, por la que se establece la metodología para el cálculo de la retribución de la actividad de distribución.
La presente circular entrará en vigor el día siguiente al de su publicación en el «Boletín Oficial del Estado».
Madrid, 22 de diciembre de 2025.–La Presidenta de la Comisión Nacional de los Mercados y la Competencia, Cani Fernández Vicién.
Conforme a lo establecido en el artículo 8, a continuación se desarrolla la clasificación de las actuaciones a considerar para las inversiones realizadas en instalaciones de distribución con puesta en servicio posterior al 31 de diciembre de 2025.
| CINI | Tipo inversión | Descripción | Años VU |
|---|---|---|---|
| I26XXXXX | 0 | Elementos de mejora de la fiabilidad. | 40 |
| I20XXXXX | 0,1 | Líneas. | 40 |
| I22XXXXX | 0,1 | Centros de transformación. | 40 |
|
I24XXXXX I25XXXXX I27XXXXX |
0,1 | Máquinas (transformadores, reguladores de tensión, condensadores y reactancias). | 40 |
| I28XXXXX | 0,1 | Posiciones. | 40 |
| I230XXXX | 2 | Despachos no identificables. | 12 |
| I231XXXX | 2 | Despachos centralizados. | 12 |
| I232XXXX | 2 | Actuadores. | 12 |
| I233XXXX | 2 | Elementos físicos de transmisión de control. | 12 |
| I234XXXX | 2 | Elementos no físicos de transmisión de control. | 12 |
| I235XXXX | 2 | Elementos necesarios para el control de la calidad de onda. | 12 |
| I236XXXX | 2 | Despachos de maniobra y centros de control de energía de distribución - Digitalización. | 5 |
| I290001X | 2 | Sistema de Supervisión Avanzada de Baja tensión (GSA). | 12 |
| I290002X | 2 | Sistemas de Supervisión Avanzada de Media Tensión (hasta 36 kV inclusive). | 12 |
| I290003X | 2 | Sistemas de Supervisión Avanzada de Alta Tensión (a partir de 36 kV). | 12 |
| I290004X | 2 | Transformador de tensión variable. | 12 |
| I290005X | 2 | Equipos para la sensorización y monitorización de la red. | 12 |
| I290006X | 2 | Recarga de Vehículo Eléctrico. | 12 |
| I290007X | 2 | Sistemas de Almacenamiento (Baterías). | 12 |
| I290008X | 2 | Desarrollos derivados de exigencias normativas. | 12 |
| I290009X | 2 | Actualización y/o desarrollos de Firmware que aporten nuevas funcionalidades. | 12 |
| I29002XX | 2 | Sistemas de comunicaciones. | 5 |
| I29003XX | 2 | Sistemas técnicos de gestión. | 5 |
| I2900410 | 2 | Equipos para procesos de información. | 5 |
| I2900420 | 2 | Aplicaciones informáticas. | 5 |
| I29007X0 | 2 | Telegestión. | 15 |
| I2900100 | IBO | Edificios y construcciones. | 50 |
| I2900430 | IBO | Maquinaria. | 10 |
| I2900440 | IBO | Utillaje. | 5 |
| I2900450 | IBO | Elementos de transporte. | 6 |
| I2900460 | IBO | Mobiliario. | 10 |
| I2900800 | IBO | Equipos de Medida. | 15 |
| I2900900 | IBO | Vehículo Eléctrico. | 6 |
| I2900500 | TER | Terrenos y bienes naturales. | N/A |
Las vidas útiles regulatorias de los activos que se declaren en este tipo de inversiones serán las expuestas anteriormente, salvo que en la circular informativa 8/2021, de 1 de diciembre, o circular que la sustituya se disponga otro valor.
)| CECO | Concepto |
|---|---|
| B001A1 | Planificación. |
| B001A2 | Inspección nuevas instalaciones. |
| B001C1 | Mantenimiento preventivo. |
| B001C2 | Mantenimiento correctivo. |
| B001C3 | Control y operación. |
| B002A1 | Contratación, gestión y facturación. |
| B002B1 | Gestión y control de acceso de terceros a la red de distribución. |
| B003A1 | Control de fraude cuando existe un contrato asociado. |
| B003A2 | Control de fraude cuando no existe un contrato asociado. |
| B004A1 | Atención al cliente presencial. |
| B004A2 | Atención al cliente no presencial. |
| B005A1 | Lectura, tratamiento y puesta a disposición de la información. |
| B005A2 | Telemedida y telegestión. |
| B006A1 | Ciberseguridad. |
| B007A1 | Regulación y gestión de liquidaciones de ingresos regulados. |
| B007B1 | Auditoria, gestión, consultoría y asesoría. |
| B007B2 | Representación. |
| B007C1 | Comunicación. |
| B007D1 | Gestión de aprovisionamientos. |
| B007D2 | Gestión de recursos humanos. |
| B007D3 | Control interno de gestión de riesgos. |
| B007E1 | Información financiera. |
| B007F1 | Gestión de la transparencia y protección de datos. |
| B007H1 | Ingresos por servicios y trabajos prestados. |
| B008A1 | Gestión de la calidad de los servicios de red. |
| B009A1 | Eficiencia energética. |
| B009A2 | Gestión medioambiental y sostenibilidad. |
Agència Estatal Butlletí Oficial de l'Estat
Avda. de Manoteras, 54 - 28050 Madrid