Contingut no disponible en valencià
La Ley 24/2013, de 26 de diciembre, del Sector Eléctrico, establece en su artículo 14.8, según la redacción dada por el Real Decreto-ley 1/2019, de 11 de enero, de medidas urgentes para adecuar las competencias de la Comisión Nacional de los Mercados y la Competencia a las exigencias derivadas del derecho comunitario en relación a las Directivas 2009/72/CE y 2009/73/CE del Parlamento Europeo y del Consejo, de 13 de julio de 2009, sobre normas comunes para el mercado interior de la electricidad y del gas natural, que «las metodologías de retribución de las actividades de transporte y distribución se establecerán atendiendo a los costes necesarios para construir, operar y mantener las instalaciones, de acuerdo al principio de realización de la actividad al menor coste para el sistema eléctrico, según lo dispuesto en el artículo 1.1».
El citado Real Decreto-ley 1/2019, de 11 de enero, establece en su disposición transitoria segunda:
«Las metodologías, parámetros y la base de activos de la retribución de las instalaciones de transporte y distribución de energía eléctrica y gas natural y de las plantas de gas natural licuado aprobados por la Comisión Nacional de los Mercados y la Competencia resultarán de aplicación una vez finalizado el primer periodo regulatorio.
La fijación de las cuantías de la retribución de las instalaciones de transporte y distribución de energía eléctrica, regasificación, transporte y distribución de gas recogidas en el artículo 7.1 bis de la Ley 3/2013, de 4 de junio, pasarán a ser ejercidas por la Comisión Nacional de los Mercados y la Competencia y serán aplicables a partir del 1 de enero de 2020.»
Asimismo, el artículo 14.12 de la Ley 24/2013, de 26 de diciembre, establece que «corresponderá a la Comisión Nacional de los Mercados y la Competencia la aprobación de la retribución para cada año de las empresas titulares de instalaciones de transporte y distribución de conformidad con lo previsto en la Ley 3/2013, de 4 de junio».
El artículo 7.1 de la Ley 3/2013, de 4 de junio, de creación de la Comisión Nacional de los Mercados y la Competencia, en la redacción dada por el Real Decreto-ley 1/20129, de 11 de enero, prevé que la Comisión Nacional de los Mercados y la Competencia establecerá mediante circular «la metodología, los parámetros y la base de activos para la retribución de las instalaciones de transporte y distribución de energía eléctrica».
Por otro lado, con fecha 9 de abril de 2019 se ha publicado la Orden TEC/406/2019, de 5 de abril, por la que se establecen orientaciones de política energética a la Comisión Nacional de los Mercados y la Competencia, cuyo apartado séptimo hace referencia a la circular de metodología de retribución de la distribución de electricidad.
Por todo ello a partir del ejercicio 2020 corresponde a la Comisión Nacional de los Mercados y la Competencia establecer una metodología de retribución de la actividad de distribución de energía eléctrica que contemple los principios legales introducidos en dicha actividad por la Ley 24/2013, de 26 de diciembre, de manera clara, estable y predecible, que contribuya a aportar estabilidad regulatoria, reduciendo sus costes de financiación y con ellos, los del sistema eléctrico.
El modelo que establece esta circular, aun siendo continuista en lo principal con la metodología anterior, permite aumentar la libertad de las empresas a la hora de tomar decisiones, disminuye las necesidades de remisión de información, tiene en cuenta las nuevas inversiones necesarias para la inclusión de energías renovables y la digitalización de las redes, y posibilita el alargamiento de vida útil de las instalaciones, de tal forma que se rentabilicen las inversiones y se racionalicen los gastos necesarios de las empresas, lo que, en definitiva, supone un ahorro para el consumidor y, por ende, para el sistema en su conjunto.
Por otra parte, y puesto que la actividad de distribución tiene carácter de monopolio natural, mediante esta circular se establecen herramientas que introducen eficiencia, tanto en la construcción de las infraestructuras, como en la operación y mantenimiento de las redes.
La circular se adecúa a los principios de buena regulación previstos en el artículo 129 de la Ley 39/2015, de 1 de octubre, del Procedimiento Administrativo Común de las Administraciones Públicas, dado que responde a los principios de necesidad y eficiencia, siendo el instrumento más adecuado para garantizar la consecución de los objetivos que persigue. Asimismo, para las modificaciones pretendidas, se ha dado aplicación al principio de proporcionalidad.
Conforme a todos estos principios, se modifica el cálculo del valor de inversión retribuible de las instalaciones puestas en servicio desde el primer año de aplicación de la circular. El cálculo se realiza considerando el valor real auditado declarado por las empresas, si bien a mitad del periodo regulatorio se compara el valor real con el resultante de aplicar los valores unitarios de referencia al conjunto de las instalaciones puestas en servicio durante el semiperiodo, estableciendo una serie de limitaciones en caso de divergencia entre las valoraciones a costes unitarios y los valores de inversión reales declarados.
Asimismo, por medio de esta circular, se establece un nuevo término de retribución, COMGES, componente gestionable de la retribución de la actividad de distribución, que engloba la retribución por operación y mantenimiento y la retribución de otros activos necesarios para el ejercicio de la actividad de distribución distintos de los activos eléctricos recogidos en las unidades físicas, que no sean ni inversiones en digitalización y automatización de redes, ni despachos ni terrenos, puestos en servicio desde el año 2015 hasta el año n-2.
Se establece un término retributivo referido a la Retribución por Extensión de Vida Útil de las instalaciones (REVU), con el objetivo de incentivar la extensión del funcionamiento de aquellas instalaciones que hayan superado su vida útil regulatoria.
Asimismo, se modifica el cálculo del término de retribución por otras tareas reguladas desarrolladas por las empresas distribuidoras (ROTD), al objeto de ajustarlo a los gastos reales de las empresas distribuidoras según la información regulatoria de costes aportada a través de la Circular 4/2015, de 22 de julio, de petición de información a las empresas distribuidoras de energía eléctrica para la supervisión y cálculo de la retribución de la actividad.
Otra novedad la constituye la inclusión del reconocimiento de inversiones en proyectos piloto que supongan un beneficio cuantificable para el conjunto del sistema.
Finalmente, se modifican los incentivos a la reducción de pérdidas y a la mejora de la calidad, al haberse detectado que, con la regulación anterior de estos incentivos, no se habían alcanzado los objetivos perseguidos. Dicha modificación se ha realizado mediante la reformulación de los mismos, siendo de aplicación más sencilla, y penalizando o bonificando a cada empresa en base a su desempeño respecto al resultado medio del sector, de tal forma que su impacto económico resulte neutro para el consumidor. Además, se elimina el incentivo a la reducción del fraude, al entender que la finalidad del mismo se recoge en la nueva formulación del incentivo a la reducción de pérdidas. Ello sin perjuicio de la aplicación durante 2020 y 2021 de la regulación hasta ahora vigente del incentivo por reducción de pérdidas y reducción del fraude.
Esta circular desplaza las disposiciones anteriores al Real Decreto-ley 1/2019, de 11 de enero, que regulaban la metodología retributiva de la actividad de distribución de electricidad, disposiciones que, en las materias que son objeto de regulación en esta circular, devienen ahora inaplicables, conforme a lo establecido en el citado Real Decreto-ley. Dado que la Comisión Nacional de los Mercados y la Competencia ejerce esta competencia por primera vez, la circular no incluye una disposición derogatoria.
Por todo lo anterior, de conformidad con lo establecido en el artículo 14, apartados 8 y 12, de la Ley 24/2013, de 26 de diciembre, del Sector Eléctrico, y en el artículo 7.1.g) de la Ley 3/2013, de 4 de junio, de creación de la Comisión nacional de los Mercados y la Competencia, previo trámite de audiencia y de acuerdo con las orientaciones de política energética establecidas en la Orden TEC/406/2019, de 5 de abril, según las conclusiones alcanzadas a este respecto en la Comisión de Cooperación prevista en el artículo 2 del Real Decreto-ley 1/2019, de 11 de enero, el Pleno del Consejo de la Comisión Nacional de los Mercados y la Competencia, en su sesión de 5 de diciembre de 2019 ha acordado emitir, de acuerdo con el Consejo de Estado, la presente circular.
Esta circular tiene por objeto establecer la metodología para determinar la cuantía a retribuir a las empresas que desarrollan la actividad de distribución de energía eléctrica con el fin de garantizar la adecuada prestación del servicio, incentivando la mejora de la calidad de suministro y la reducción de las pérdidas en las redes de distribución, con criterios objetivos, homogéneos en todo el territorio español y al menor coste posible para el sistema.
Esta circular es de aplicación a todas aquellas sociedades mercantiles o sociedades cooperativas de consumidores y usuarios que desarrollen la actividad de distribución.
1. La metodología desarrollada en la presente circular para la retribución de la actividad de distribución tiene como finalidad establecer los criterios de remuneración de las instalaciones de la red de distribución y su operación y mantenimiento, incentivando la mejora continua de la eficacia de la gestión, de la eficiencia económica y técnica, de la calidad de suministro y de la reducción de pérdidas y, todo ello, con criterios homogéneos para todo el territorio español y al menor coste posible para el sistema eléctrico.
2. El devengo y el cobro de la retribución generada por instalaciones de distribución que cuenten con autorización de explotación en el año n-2 se iniciará desde el 1 de enero del año n, siempre y cuando las empresas distribuidoras titulares de las mismas estén inscritas en el Registro Administrativo de Distribuidores del Ministerio para la Transición Ecológica.
3. A efectos retributivos, únicamente se considerarán los costes necesarios para realizar la actividad de distribución por una empresa eficiente y bien gestionada.
4. Los pagos en concepto de retribuciones serán liquidados de conformidad con lo establecido por el Real Decreto 2017/1997, de 26 diciembre, por el que se organiza y regula el procedimiento de liquidación de los costes de transporte, distribución y comercialización a tarifa, de los costes permanentes del sistema y de los costes de diversificación y seguridad de abastecimiento. El cobro de dicha retribución se realizará con cargo a las liquidaciones del ejercicio para el que se haya establecido, aplicándose la misma periodificación que al resto de actividades reguladas.
5. Antes del inicio de cada nuevo periodo regulatorio, la Comisión Nacional de los Mercados y la Competencia establecerá, previo trámite de audiencia, el conjunto de parámetros técnicos y económicos que se utilizarán para el cálculo de la retribución de la actividad de distribución durante dicho periodo regulatorio.
6. De conformidad con el artículo 14.4 de la Ley 24/2013, de 26 de diciembre, del Sector Eléctrico, los parámetros técnicos y económicos objeto de la metodología de retribución podrán ser modificados por la Comisión Nacional de los Mercados y la Competencia antes del comienzo de cada periodo regulatorio.
7. Si se produjesen transmisiones de activos entre empresas distribuidoras de energía eléctrica, las empresas afectadas deberán comunicarlo a la Comisión Nacional de los Mercados y la Competencia y solicitar la modificación de la retribución a percibir desde el momento en que se produzca la transmisión de activos, aportando la información necesaria para el cálculo de esta, todo ello previa autorización del órgano competente.
De acuerdo con lo establecido en el artículo 14.4 de la Ley 24/2013, de 26 de diciembre, la retribución de la actividad de distribución se determinará por periodos regulatorios de seis años de duración.
1. La Comisión Nacional de los Mercados y la Competencia establecerá por años naturales, mediante resolución y previa audiencia a los interesados, la retribución reconocida a cada distribuidora por la actividad de distribución, que se calculará de acuerdo con lo dispuesto en el presente capítulo.
Antes del 15 de noviembre de cada año, la Comisión Nacional de los Mercados y la Competencia someterá a audiencia pública la propuesta de retribución total a percibir el año siguiente por cada una de las empresas, la cual contendrá un anexo en formato digital de hoja de cálculo con su desglose en los términos señalados en el presente artículo.
2. La retribución de la actividad de distribución reconocida a la distribuidora i en el año n por el desempeño de su actividad el año n-2 se determinará mediante la siguiente formulación:
Donde:
es la retribución a la inversión a percibir por la empresa i en el año n. Se calculará conforme a la siguiente expresión:
Donde:
es la retribución a la inversión a percibir por la empresa i en el año n por las instalaciones de la empresa distribuidora i con puesta en servicio anterior a 1 de enero de 2015. Se calculará conforme se establece en el artículo 6.
es la retribución a la inversión a percibir en el año n por las actuaciones en instalaciones recogidas en las unidades físicas que han sido llevadas a cabo por la empresa distribuidora i en los ejercicios 2015 a 2017, ambos inclusive. La retribución financiera de las mismas se calculará teniendo en cuenta las distintas fechas de puesta en servicio. Se calculará conforme se establece en el artículo 7.
es la retribución a la inversión a percibir en el año n por las actuaciones en instalaciones recogidas en las unidades físicas que han sido llevadas a cabo por la empresa distribuidora i en los ejercicios 2018 a n-2, ambos inclusive (es decir, con puesta en servicio posterior al 31 de diciembre de 2017 y anterior al 1 de enero del año n-1). La retribución financiera de las mismas se calculará teniendo en cuenta las distintas fechas de puesta en servicio. Se calculará conforme se establece en el artículo 8.
es la retribución a la inversión a percibir en el año n por los despachos de maniobra y centros de control de energía de distribución que han sido llevadas a cabo por la empresa distribuidora i en los ejercicios 2015 a n-2, ambos inclusive. La retribución financiera de los mismos se calculará teniendo en cuenta las distintas fechas de puesta en servicio. Se calculará conforme se establece en el artículo 11.
es la retribución a la inversión a percibir en el año n por los terrenos asociados a nuevas instalaciones eléctricas que han sido llevadas a cabo por la empresa distribuidora i en los ejercicios 2015 a n-2, ambos inclusive. Se calculará conforme se establece en el artículo 12.
es el componente gestionable de la retribución a percibir en el año n, que se calculará para cada empresa distribuidora i conforme se establece en el artículo 13.
es la retribución por extensión de vida útil para el año n que percibirá una empresa distribuidora i por todas aquellas instalaciones de distribución, que habiendo superado su vida útil regulatoria, siguen en servicio en el año n-2, siempre y cuando se acredite la disponibilidad efectiva de cada una de dichas instalaciones. Todo ello conforme se establece en el artículo 15.
es el término de retribución por otras tareas reguladas que la empresa distribuidora i ha de percibir el año n, por el desarrollo de dichas tareas el año n-2. El mismo se calculará conforme se establece en el artículo 18.
es el término de incentivo o penalización por la reducción de pérdidas repercutido a la empresa distribuidora i el año n, asociado al nivel de pérdidas de su red entre los años n-4 a n-2. Dicho incentivo a la reducción de pérdidas se calculará según lo establecido en el Capítulo V.
es el término de incentivo o penalización a la calidad del servicio repercutido a la empresa distribuidora i el año n asociado a los indicadores de calidad de suministro obtenidos por la empresa distribuidora i entre los años n-4 a n-2. Dicho incentivo a la calidad se calculará según lo establecido en el Capítulo VI.
3. Una vez determinada la retribución anual de cada empresa distribuidora conforme a lo establecido en el apartado anterior, se realizará el ajuste retributivo previsto en el artículo 28 y se aplicará, en su caso, la penalización relativa a la prudencia financiera prevista en el artículo 29.
El término
corresponde a la retribución a la inversión a percibir en el año n por las instalaciones de la empresa distribuidora i con puesta en servicio anterior a 1 de enero de 2015. El inmovilizado bruto retribuible de este conjunto de instalaciones es el fijado en la Orden IET/980/2016, de 10 de junio, por la que se establece la retribución de las empresas de distribución de energía eléctrica para el año 2016.
Se calculará sobre la base de la siguiente expresión:
Donde:
es el término de retribución base por amortización de la empresa distribuidora i que ésta deberá percibir por ese concepto en el año n. Se evaluará como la amortización lineal del inmovilizado bruto retribuible fijado en la Orden IET/980/2016, de 10 de junio, para la empresa i correspondiente a sus instalaciones de distribución cuya puesta en servicio fue anterior al 1 de enero de 2015, de acuerdo con la siguiente expresión:
es el inmovilizado base bruto de la empresa distribuidora i con derecho a retribución a cargo del sistema eléctrico fijado en la Orden IET/980/2016 como IBRbase. Dicho valor podrá verse modificado sobre la base de las inspecciones realizadas por la Comisión Nacional de los Mercados y la Competencia o por resoluciones judiciales recaídas en los procesos pendientes de resolución.
es la vida útil regulatoria de las instalaciones de la empresa distribuidora i fijada en la orden IET/980/2016, de 10 de junio.
es el término de retribución financiera del activo neto de la empresa distribuidora i que esta deberá percibir por ese concepto en el año n correspondiente a las instalaciones que han sido puestas en servicio hasta el 1 de enero de 2015. Este término se calculará de acuerdo con la siguiente expresión:
Donde:
es el inmovilizado neto con derecho a retribución a cargo del sistema eléctrico de la empresa distribuidora i en el año n fijado en la Orden IET/980/2016. Dicho valor podrá verse modificado sobre la base de las inspecciones realizadas por la Comisión Nacional de los Mercados y la Competencia y por las sentencias pendientes de resolución. El mismo se calculará de acuerdo con la siguiente expresión:
Donde:
es la vida residual en el año n para la empresa distribuidora i de las instalaciones con puesta en servicio anterior al 1 de enero de 2015 fijada en la Orden IET/980/2016, de 10 de junio, como VR. La vida residual para aquellas empresas para las que la Orden IET/980/2016 aplicaba un vida residual media VRbasemedia2014, por no disponerse de la información necesaria para su cálculo, se fijará con base en el acta de inspección levantada a la empresa i por la Comisión Nacional de los Mercados y la Competencia sobre la verificación de los datos económico-técnicos considerados para el cálculo de la retribución de la actividad de distribución de energía eléctrica del año 2016. Al valor de vida residual establecido para el cálculo de la retribución correspondiente al ejercicio 2016 deberán descontarse los años transcurridos desde 2016 hasta el año n.
TRFp es la tasa de retribución financiera a aplicar en el cálculo retributivo del periodo regulatorio p. Será fijada antes del inicio de cada periodo regulatorio según prevé la circular de la Comisión Nacional de los Mercados y la Competencia por la que se establece la metodología de cálculo de la tasa de retribución financiera de las actividades de transporte y distribución de energía eléctrica y regasificación, transporte y distribución de gas natural.
La retribución a la inversión a percibir por la empresa i en el año n por las instalaciones con puesta en servicio posterior al 31 de diciembre de 2014 y anterior al 1 de enero de 2018, se calculará conforme a la siguiente expresión:
Donde:
es la retribución por amortización en el año n de la inversión efectuada por la empresa i en los ejercicios 2015 a 2017. Se obtendrá a partir de los valores brutos de inversión retribuible asignados en las órdenes de retribuciones de los ejercicios correspondientes, de acuerdo con la siguiente expresión:
Donde:
Valor de la inversión con derecho a retribución a cargo del sistema de la instalación j puesta en servicio entre los años 2015 y 2017, calculado el primer año en que dicha instalación ha percibido retribución. Dicho valor de la inversión retribuible correspondiente a dichos años es el resultante de aplicar la metodología establecida en el Real Decreto 1048/2013, de 27 de diciembre, por el que se establece la metodología para el cálculo de la retribución de la actividad de distribución de energía eléctrica el año 2019, consistente en la semisuma entre el valor real auditado de la instalación y el resultante de aplicar los valores unitarios de referencia, establecidos en la Orden IET/2660/2015, de 11 de diciembre.
VUj: Vida útil regulatoria de la instalación j expresada en años. Con carácter general tomará un valor de 40 años.
es la retribución financiera del conjunto de instalaciones de la empresa i puestas en servicio entre 2015 y 2017, es decir:
Donde:
es la retribución financiera de la inversión en el año n de la instalación j puesta en servicio entre los años 2015 y 2017. Este término se calculará cada año n aplicando al valor neto de la inversión la tasa de retribución en vigor conforme a la siguiente formulación:
Donde:
TRFp es la tasa de retribución financiera a aplicar en el cálculo retributivo del periodo regulatorio p. Será fijada antes del inicio de cada periodo regulatorio, según prevé la circular de la Comisión Nacional de los Mercados y la Competencia por la que se establece la metodología de cálculo de la tasa de retribución financiera de las actividades de transporte y distribución de energía eléctrica y regasificación, transporte y distribución de gas natural.
es el valor neto de la inversión en el año n con derecho a retribución a cargo del sistema de la instalación j puesta en servicio entre 2015 y 2017. Este término se calculará como:
Donde:
k es el número de años transcurridos desde la puesta en servicio de la instalación.
1. La retribución a la inversión a percibir por la empresa i en el año n por las instalaciones puestas en servicio a partir del 1 de enero de 2018 hasta el año n-2, se calculará conforme a la siguiente expresión:
Donde:
es la retribución por amortización percibida en el año n por la inversión efectuada por la empresa i en la instalación j. Se calculará de acuerdo a la siguiente expresión:
es la retribución financiera percibida en el año n por la inversión efectuada por la empresa i en la instalación j. Este término se calculará cada año n aplicando al valor neto de la inversión la tasa de retribución en vigor conforme a la siguiente formulación:
TRFp es la tasa de retribución financiera a aplicar en el cálculo retributivo del periodo regulatorio p. Será fijada antes del inicio de cada periodo regulatorio, según prevé la circular de la Comisión Nacional de los Mercados y la Competencia por la que se establece la metodología de cálculo de la tasa de retribución financiera de las actividades de transporte y distribución de energía eléctrica y regasificación, transporte y distribución de gas natural.
es el valor neto de la inversión en el año n con derecho a retribución a cargo del sistema de la instalación j puesta en servicio en el año n-2. Este término se calculará como:
Donde k es el número de años transcurridos desde la puesta en servicio de la instalación.
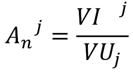
VI j es el valor de la inversión con derecho a retribución a cargo del sistema para la instalación j puesta en servicio en el año n-2. Se calculará el primer año que la instalación percibe retribución según la siguiente expresión:
Donde:
δj es un coeficiente en base uno que refleja el complemento a uno del valor total de inversión de dicha instalación financiado y cedido por terceros.
AYj es el valor de las ayudas públicas percibidas por la instalación j. En el caso de que estas ayudas públicas provengan de organismos de la Unión Europea, este valor será el 90 por ciento del importe percibido. En ningún caso el margen del 10 por ciento a considerar respecto a las empresas distribuidoras, podrá ser superior a 10 millones de euros.
es el factor de retardo retributivo de la inversión de la instalación j puesta en servicio en el año n-2 derivado del coste financiero motivado por el retraso entre la concesión de la autorización de explotación de la instalación j y el inicio del devengo de retribución por inversión. Este valor se calculará como:
Donde:
TRFAPS es la tasa de retribución financiera vigente en el año de la puesta en servicio de la instalación.
trj es el tiempo de retardo retributivo de inversión de la instalación j. Este parámetro tomará un valor de 1,5.
VI j,real es el valor real auditado de inversión de la instalación j. Únicamente se incluirán las inversiones por actuaciones en instalaciones asociadas a los activos eléctricos recogidos en las unidades físicas.
VU j es la vida útil regulatoria de la instalación j expresada en años. Con carácter general tomará un valor de 40 años, salvo para las inversiones tipo 2, definidas en el artículo 9, para las cuales se recogen las vidas útiles en el anexo.
2. El valor VI j calculado en el primer ejercicio en el que la instalación j percibe retribución, se mantendrá constante a lo largo de su vida útil regulatoria, salvo que las inspecciones realizadas por la Comisión Nacional de los Mercados y la Competencia comprobaran que no es correcto.
3. Las inversiones realizadas en instalaciones de distribución se declararán según las tipologías establecidas en el siguiente artículo.
4. Los ingresos percibidos por las empresas distribuidoras en concepto de derechos de extensión en el año n-2 se descontarán a la retribución por inversión de las instalaciones puestas en servicio en dicho año considerando que su amortización se realiza a 40 años.
5. Teniendo en cuenta lo anterior, la retribución de la empresa distribuidora i por las actuaciones en instalaciones asociadas a unidades físicas puestas en servicio entre el año 2018 y el n-2 se calculará como:
1. Las inversiones realizadas en instalaciones de distribución con puesta en servicio posterior al 31 de diciembre de 2018 se declararán de acuerdo con la siguiente clasificación:
a) Tipo 0. Instalaciones nuevas a coste completo o renovación de instalaciones existentes con un valor de inversión superior al 85 por ciento del calculado empleando los valores unitarios de referencia si se considerara la instalación efectuada a coste completo. En este sentido, se diferenciará entre:
– Inversiones de nueva construcción: aquellas que suponen la realización o incorporación de nuevas instalaciones. Esta categoría incluye las inversiones de ampliación.
– Sustitución o renovación: Aquellas que suponen una reposición del equipo o equipos principales. Simultáneamente, se procederá a dar de baja los elementos sustituidos, debiendo incluirse en la declaración de las nuevas inversiones efectuadas el identificador de la instalación dada de baja que corresponda.
En caso de que se cumpla que el de una instalación tipo 0 sea superior en más de un 50 por ciento al valor de la inversión calculado a valores unitarios de referencia establecidos en la normativa aplicable, la empresa distribuidora deberá aportar una justificación técnica detallada que argumente por qué los costes incurridos son superiores a los valores unitarios de referencia, bien por las especiales características y/o problemática de la instalación en concreto, bien por otras causas debidamente argumentadas.
b) Tipo 1. Instalaciones a coste no completo, que impliquen inversión en algún componente de una tipología definida en la normativa aplicable.
Este tipo de actuaciones deberán clasificarse dentro de una de las categorías fijadas por la Comisión Nacional de los Mercados y la Competencia para cada familia de instalaciones, conforme se definen en el anexo.
Si el valor de inversión es superior al 85 por ciento del valor de inversión calculado empleando los valores unitarios de referencia, las inversiones efectuadas deberán declararse como tipo 0.
La Comisión Nacional de los Mercados y la Competencia establecerá mediante la circular informativa prevista en el artículo 22 los criterios que deberán seguirse para la declaración de este tipo de actuaciones.
c) Tipo 2. Inversiones en digitalización y automatización de las redes necesarias para la transición energética, asociadas a sistemas inteligentes (Smart Grids), telegestión y los sistemas técnicos de gestión asociados a ambos.
Este tipo de actuaciones deberán clasificarse conforme se definen en el anexo. No obstante, la Comisión Nacional de los Mercados y la Competencia podrá establecer, en la circular informativa prevista en el artículo 22, nuevos códigos CINI adicionales, que complementen a los anteriores.
2. La Comisión Nacional de los Mercados y la Competencia establecerá, en la citada circular informativa, los criterios según los cuales determinadas actuaciones no podrán declararse como inversiones de mejora y renovación, sino que deberán ser consideradas como gastos de mantenimiento, conservación y reparaciones y, por tanto, imputadas a la cuenta de pérdidas y ganancias del ejercicio en que se produzcan.
1. Cada tres años, es decir, a mitad y al inicio de cada periodo regulatorio, se calculará el resultado que se hubiera obtenido de aplicar la siguiente expresión a las inversiones asociadas a actuaciones tipo 0, siendo las inversiones tipo 1 y tipo 2 valoradas a coste real de la inversión, es decir:
Donde:
Familia TI es el conjunto de instalaciones con el mismo TI instalación tipo, conforme a las instalaciones tipo establecidas en la Orden IET/2660/2015, de 11 de diciembre.
es un coeficiente en base uno que refleja el complemento a uno del valor total de inversión de cada familia de TI financiado y cedido por terceros.
es el valor de las ayudas públicas percibidas por la familia de instalaciones con el mismo TI, teniendo en cuenta que en el caso de que estas ayudas públicas provengan de organismos de la Unión Europea, este valor será el 90 por ciento del importe percibido. En ningún caso el margen del 10 por ciento a nivel individual para cada instalación podrá ser superior a 10 millones de euros.
2. Dicho valor se comparará con el valor de inversión retribuible obtenido en el cálculo retributivo de los ejercicios comprendidos entre el año n-4 y el año n-2, ambos inclusive, según lo establecido en este artículo, es decir:
Se distinguirán los siguientes supuestos:
– Si
, no se realizarán modificaciones en el valor de inversión retribuible obtenido para el cálculo retributivo de los ejercicios correspondientes al semiperiodo considerado.
– Si
, el valor de inversión retribuible correspondiente al ejercicio n por instalaciones puestas en servicio el año n-2 se verá minorado en un 50 por ciento de la diferencia entre ambos valores, es decir:
– Si
, el valor de inversión retribuible correspondiente al ejercicio n por instalaciones puestas en servicio el año n-2 se verá mayorado en un 50 por ciento de la diferencia entre ambos valores, es decir:
3. Las minoraciones o incrementos de los valores de inversión retribuibles modificados según las condiciones establecidas en este artículo se descontarán o añadirán a la retribución por inversión de las instalaciones puestas en servicio en dicho año n-2 considerando que su amortización se realiza a 40 años.
1. Se consideran despachos de maniobra y centros de control de energía de distribución los activos de comunicaciones, protecciones y control necesarios para el adecuado funcionamiento de las instalaciones específicas de la red de distribución que no formen parte de otros activos regulados.
es la retribución a la inversión en el año n de los despachos de maniobra y centros de control de energía de distribución que han sido llevados a cabo por la empresa distribuidora i en los distintos ejercicios desde 2015 hasta el año n-2, ambos inclusive, y que no hayan sido incluidos como inversiones tipo 2.
La vida útil de esos activos es de 12 años. La retribución de las mismas se calculará teniendo en cuenta las distintas fechas de puesta en servicio, según la siguiente expresión:
Donde:
es la retribución por amortización a percibir en el año n por la inversión efectuada en despachos por la empresa i en un ejercicio comprendido entre 2015 y el año n-2. Se calculará para cada uno de los años indicados de acuerdo a la siguiente expresión:
es el valor de la inversión con derecho a retribución a cargo del sistema correspondiente a los despachos. Para la inversión en despachos efectuada en el año n-2, se calculará el valor del
en el año n según la siguiente expresión:
Donde:
δj es un coeficiente en base uno que refleja el complemento a uno del valor total de inversión declarado asociado al despacho j que ha sido financiado y cedido por terceros.
AYj es el valor de las ayudas públicas percibidas por la inversión declarada asociada al despacho j. En el caso de que estas ayudas públicas provengan de organismos de la Unión Europea, este valor será el 90 por ciento del importe percibido. En ningún caso el margen del 10 por ciento a considerar respecto a las empresas distribuidoras, podrá ser superior a 10 millones de euros.
es el factor de retardo retributivo de la inversión del despacho j puesta en servicio en el año n-2 aplicable en el año n. Este valor se calculará como:
Donde:
TRFAPS es la tasa de retribución financiera vigente en el año de puesta en servicio del despacho.
trj es el tiempo de retardo retributivo de inversión del despacho j. Este parámetro tomará un valor de 1,5.
VIj,real es el valor real auditado de inversión del despacho j.
es la retribución financiera de la inversión efectuada en despachos por la empresa i en un ejercicio comprendido entre 2015 y el año n-2. Se calculará para cada uno de los años indicados aplicando al valor neto de la inversión la tasa de retribución en vigor conforme a la siguiente formulación:
es el valor neto de la inversión con derecho a retribución en el año n a cargo del sistema de los despachos puestos en servicio en el año n-2. Este término se calculará para cada uno de los años comprendido entre 2015 y el n-2 como:
Donde:
k es el número de años transcurridos desde la puesta en servicio de la instalación.
TRFp es la tasa de retribución financiera a aplicar en el cálculo retributivo del periodo regulatorio p.
2. El valor del
, calculado en el primer ejercicio en el que dicha inversión en despachos percibe retribución, se mantendrá constante a lo largo de su vida útil regulatoria, salvo que inspecciones realizadas por la Comisión Nacional de los Mercados y la Competencia comprobaran que no es correcto.
3. En la retribución por este concepto se incluirán las actuaciones relacionadas con despachos de maniobra y centros de control de distribución, clasificados según las siguientes tipologías:
– Centralizado.
– Actuadores.
– Elementos físicos de transmisión de control.
– Elementos no físicos de transmisión de control.
– Equipos y sistema de captación de medidas para el control y operación de la red de distribución.
– Sistemas de comunicación y aplicaciones informáticas directamente asociadas a la maniobra y telecontrol de instalaciones y la operación de la red.
– Elementos necesarios para el control de la calidad de onda.
4. La Comisión Nacional de los Mercados y la Competencia establecerá mediante la circular informativa prevista en el artículo 22 los criterios que deberán seguirse para la declaración de este tipo de actuaciones.
1. La retribución a la inversión a percibir en el año n por los terrenos, propiedad de la empresa distribuidora, asociados a nuevas instalaciones eléctricas llevadas a cabo por la empresa distribuidora i con puesta en servicio posterior al 31 de diciembre de 2014 y anterior al 1 de enero del año n-1, se calculará según la siguiente expresión:
Donde:
TRFp es la tasa de retribución financiera a aplicar en el cálculo retributivo del periodo regulatorio p.
es el valor de la inversión con derecho a retribución a cargo del sistema para los terrenos asociados a instalaciones puestas en servicio entre el año 2015 y el año n-2, ambos inclusive. Se calculará según la siguiente expresión:
Donde:
δj es un coeficiente en base uno que refleja el complemento a uno del valor total de inversión declarado asociado al terreno j que ha sido financiado y cedido por terceros.
AY j es el valor de las ayudas públicas percibidas por la inversión declarada asociada al terreno j. En el caso de que estas ayudas públicas provengan de organismos de la Unión Europea, este valor será el 90 por ciento del importe percibido. En ningún caso el margen del 10 por ciento a considerar respecto a las empresas distribuidoras podrá ser superior a 10 millones de euros.
FRRIn es el factor de retardo retributivo de la inversión del conjunto de terrenos. Este valor se calculará como:
Donde:
TRFAPS es la tasa de retribución financiera vigente el año de la puesta en servicio de la instalación que se ubica en el citado terreno.
tr es el tiempo de retardo retributivo de la inversión en terrenos, en años. Este parámetro tomará un valor de 1,5.
es el valor auditado de inversión en terrenos en el que se sitúan las instalaciones puestas en servicio entre los años 2015 y n-2.
2. A efectos de esta circular, sólo podrán incluirse en la retribución aquellos terrenos afectos a la actividad de distribución eléctrica.
3. El valor del
calculado en el primer ejercicio en el que los terrenos asociados a instalaciones puestas en servicio entre el año 2015 y el año n-2 perciben retribución se mantendrá constante, salvo que las inspecciones realizadas por la Comisión Nacional de los Mercados y la Competencia comprobaran que no es correcto.
4. Cualquier contraprestación económica que las empresas distribuidoras perciban por el uso de los terrenos objeto de este artículo, o por la enajenación de los mismos, deberá ser descontada de la retribución por inversión reconocida por el sistema para los mismos.
1.
es el componente gestionable de la retribución de la actividad de distribución, que engloba la retribución de los siguientes conceptos:
– Retribución por operación y mantenimiento de todas las instalaciones de la empresa distribuidora i que se encuentren en servicio a 31 de diciembre del año n-2 (ROM).
– Retribución por operación y mantenimiento asociado a la labor de mantenimiento realizada el año n-2 por la empresa distribuidora i que no está directamente ligado a los activos eléctricos recogidos en las unidades físicas (ROMNLAE).
– Retribución por inversión de la empresa distribuidora i de otros activos necesarios para el ejercicio de la actividad de distribución distintos de los activos eléctricos recogidos en las unidades físicas, que no sean despachos ni terrenos, puestos en servicio desde el año 2015 hasta el año n-2 y que continúen en servicio en el año n-2 (IBO), ni inversiones en digitalización y automatización de redes, previstos en las inversiones de tipo 2 del artículo 9.
2. El componente gestionable evolucionará en base al COMGES del año anterior más un porcentaje basado en el incremento de retribución por inversión en instalaciones asociadas a unidades físicas y despachos que la empresa distribuidora i haya llevado a cabo desde el año 2015 hasta el año n-2, todo ello considerando un factor de ajuste a la citada gestión (FA).
Donde:
es el incremento de la retribución por inversión en el año n respecto al año n-1, de las inversiones puestas en servicio desde el año 2015 hasta el año n-2, expresado en euros, de cada una de las empresas distribuidoras i, no contempladas dentro del término COMGES. En dicho término se considera asimismo el valor de retribución por inversión que les correspondería a aquellas instalaciones cedidas o financiadas por terceros
que, si bien no perciben retribución por inversión, generan retribución en concepto de operación y mantenimiento. Para el cálculo del término
se aplicarán los valores unitarios de referencia correspondientes según la tipología de la instalación.
x representa la relación para el conjunto del sector entre el incremento del término COMGES entre los años n y n-1 y el incremento de la retribución por inversión de las instalaciones asociadas a unidades físicas, inversiones en digitalización y automatización de redes y en despachos, incluyendo aquellas instalaciones cedidas o financiadas por terceros que, si bien no perciben retribución por inversión, generan retribución en concepto de operación y mantenimiento, puestos en servicio desde el año 2015 hasta el año n-2 considerando la misma tasa de retribución financiera, en el mismo periodo, expresado en tanto por ciento. Se calculará al inicio de cada semiperiodo regulatorio.
FA es un factor de ajuste entre la retribución percibida por operación y mantenimiento y los costes declarados en la Circular 4/2015, de 22 de julio, de la Comisión Nacional de los Mercados y la Competencia,que representa la capacidad de las empresas de gestionar los costes reales derivados de los conceptos incluidos en el COMGES. Su valor será fijado por la Comisión Nacional de los Mercados y la Competencia al inicio de cada periodo regulatorio.
En caso de que el valor de
sea negativo, el componente gestionable del año n se calculará como:
3. El valor del término
establecido para cada empresa distribuidora i será revisado al inicio de cada periodo regulatorio por la Comisión Nacional de los Mercados y la Competencia con base, entre otros aspectos, en la información regulatoria aportada por las empresas distribuidoras.
1. Si en la información aportada anualmente por la empresa distribuidora i se observase el cierre de instalaciones puestas en servicio antes del 1 de enero de 2015 por un valor superior al doble del término
definido en el artículo 6, se efectuará un nuevo cálculo para la determinación del término 
En este nuevo cálculo se tendrán en cuenta los activos que se encuentran en servicio en el año n–2 y que fueron puestos en servicio con anterioridad al año 2015, valorados a coste de reposición, de acuerdo a la información del inventario auditado de instalaciones presentado por la empresa distribuidora, según los parámetros establecidos en la Orden IET/980/2016, 10 de junio.
2. Para las empresas que cumplan lo señalado en el apartado anterior, se les recalculará el COMGES a percibir en el año n, en base al inventario de instalaciones de distribución a 31 de diciembre del n-2 aportado por las empresas distribuidoras.
Asimismo, para aquellas empresas distribuidoras que den de baja en el año n-2 instalaciones cuya puesta en servicio sea posterior a 31 de diciembre de 2014, a un ritmo de cierre superior al 50 por ciento, en relación con la inversión en nuevas instalaciones, se les podrá revisar el COMGES a percibir en el año n, en base al inventario de instalaciones de distribución a 31 de diciembre del n-2.
3. En cualquier caso, las instalaciones con puesta en servicio posterior al 31 de diciembre de 2014, que se den de baja en el año n-2, no percibirán retribución por inversión a partir del ejercicio n.
1. Una vez finalizada la vida útil regulatoria de la instalación de distribución, la retribución devengada por dicha instalación en concepto de retribución por inversión será nula.
2. La retribución devengada para el año n por la empresa i por la extensión de vida útil de las instalaciones que habiendo superado su vida útil regulatoria sigan en servicio, siempre y cuando se acredite su disponibilidad efectiva, se determinará de acuerdo con la siguiente expresión:
Donde:
es la retribución por costes de operación y mantenimiento a valores unitarios de referencia del conjunto de instalaciones de la empresa i en base al inventario a 31 de diciembre del año n-2.
es el coeficiente de extensión de vida útil que tomará diferente valor en función de los años transcurridos (X) desde el final de la vida útil regulatoria de la instalación «i». De acuerdo con las siguientes etapas:
– Durante los cinco primeros años,
= 0,30.
– Entre el 6.º y 10.º año, ambos inclusive, el resultante de aplicar la expresión,
= 0,30 + 0,01 · (X – 5).
– Entre el 11.º y 15.º año, ambos inclusive, el resultante de aplicar la expresión,
= 0,35 + 0,02 · (X – 10).
– A partir del 16.º año, el resultante de aplicar la expresión,
= 0,45 + 0,03 · (X – 15), no pudiendo tomar un valor superior a 1.
3. Se considerará que las instalaciones incluidas dentro de la retribución base de la empresa distribuidora i han superado su vida útil regulatoria cuando haya transcurrido desde el año 2016 un número de años superior a su vida residual promedio base
establecida en la Orden IET 980/2016, de 10 de junio.
Desde ese momento, les será de aplicación el término
a las instalaciones que continúen en servicio en el año n-2, debiendo declararse como baja en el inventario declarado en el año n-2 las instalaciones que no se encuentren en servicio a 31 de diciembre de dicho año. A estos efectos, el cómputo de los años comenzará a realizarse a partir del año en que la vida residual para el conjunto de instalaciones sea nula.
1. Previa aprobación de la Comisión Nacional de los Mercados y la Competencia y tras informe de la Dirección General de Política Energética y Minas, se podrán incluir, con cargo a los costes de distribución, inversiones efectuadas por las empresas distribuidoras en proyectos piloto. Dicha retribución, que será fijada mediante la correspondiente resolución de la Comisión Nacional de los Mercados y la Competencia, deberá garantizar que la ejecución de las citadas inversiones supone un beneficio cuantificable para el sistema en términos de seguridad, calidad, eficiencia, objetividad y transparencia, para lo que la solicitud de reconocimiento de este tipo de inversiones deberá acompañarse de un análisis coste-beneficio y una memoria técnica. En dicha resolución se deberá determinar tanto la inversión reconocida, como la vida regulatoria prevista para dicho activo, así como, en su caso, si los hubiere, los costes de operación y mantenimiento previstos.
2. La aprobación de las citadas inversiones estará supeditada al mantenimiento de la estabilidad financiera del sistema eléctrico, y no incluirá la retribución por conceptos ya contemplados en la metodología establecida en la presente circular.
3. Dichas inversiones no serán incluidas a efectos del cómputo del límite de inversión regulatorio.
La Comisión Nacional de los Mercados y la Competencia podrá emplear las herramientas regulatorias que considere oportunas en el cálculo de los términos y coeficientes de la retribución de la actividad de distribución.
1. El término
es la retribución reconocida a cada empresa i en el año n por la realización en el ejercicio n-2 de otras tareas reguladas necesarias para la actividad de distribución. Este término se calculará de acuerdo a la siguiente expresión:
Donde:
es la retribución por la lectura de contadores y equipos de medida de los clientes conectados a sus redes percibida el año n derivada de las tareas realizadas el año n-2 por la empresa i.
es la retribución por las tareas asociadas a la contratación, facturación de peajes de acceso y gestión de impagos percibida el año n derivada de las tareas realizadas el año n-2 por la empresa i.
es la retribución por las tareas asociadas a la atención telefónica de los clientes conectados a sus redes percibida el año n derivada de las tareas realizadas el año n-2 por la empresa i.
es la retribución por tareas de planificación percibida el año n derivada de las tareas realizadas el año n-2 por la empresa i.
es la retribución por costes de estructura percibida el año n derivada de las tareas realizadas el año n-2 por la empresa i.
es la retribución en concepto de tasas de ocupación de la vía pública percibida por la empresa i el año n derivada de tasas satisfechas por dicha empresa del año n-2.
FRRTAn es el factor de retardo retributivo de la tasa de ocupación de la vía pública en el ejercicio n derivado del coste financiero motivado por el retraso entre el pago efectivo de la tasa y el reconocimiento de la retribución.
Donde:
TRFp es la tasa de retribución financiera a aplicar en el cálculo retributivo del periodo p.
2. Los componentes del ROTD se determinarán de la forma siguiente:
a) La retribución
en el año n para la empresa i por la lectura de contadores y equipos de medida de los clientes conectados a sus redes por las tareas realizadas el año n-2, se determinará de acuerdo con la siguiente expresión:
Donde:
es el factor indicativo del cumplimiento de las tareas de lectura de contadores y equipos de medida de los clientes conectados a sus redes en el año n-2. El valor de este factor se determina conforme a la siguiente expresión:
Donde:
es el número de lecturas realizadas al cliente j en el año n-2, obtenidas a partir de los formularios 1 y 1bis de la Circular 4/2015, de 22 de julio, de supervisión de la actividad de distribución de electricidad o circular que la sustituya.
es el número de lecturas mínimas establecidas normativamente para cada tipología de cliente j en el año n-2.
es cada uno de los puntos de suministro activos de la empresa distribuidora i en el año n-2.
es el indicador de cumplimiento de la obligación de lectura para el punto de suministro activo con cups=j.
es la suma de indicadores de cumplimiento de las obligaciones de lectura para la empresa i en el año n.
es la retribución reconocida a la empresa i, en el último año del periodo regulatorio anterior, por las tareas asociadas a la lectura de contadores y equipos de medida de los clientes conectados a sus redes.
αn es el factor de reparto entre la retribución reconocida por lectura y el coste de lectura de una empresa eficiente, el último año del periodo regulatorio anterior.
es el coste de lectura de una empresa eficiente considerando los puntos de suministro activos a 31 de diciembre del último año del periodo regulatorio anterior para la empresa i, por la realización de esta tarea a los clientes conectados a sus redes.
es el coste de lectura de una empresa eficiente considerando los puntos de suministro activos a 31 de diciembre del año n-2 de la empresa i. El valor de este componente retributivo se determina conforme a la siguiente tabla:
|
Tramo de clientes |
Valor unitario €/cliente |
|
|---|---|---|
|
Desde |
Hasta |
|
|
1 |
1.000 |
9,157 |
|
1.001 |
10.000 |
5,886 |
|
10.001 |
100.000 |
4,303 |
|
100.001 |
1.000.000 |
1,415 |
|
1.000.001 |
5.000.000 |
1,415 |
|
5.000.001 |
1,415 |
|
En caso de que la información sobre el número de lecturas realizadas a los clientes no esté disponible, por no haberlos proporcionado la empresa distribuidora en el formato y plazo establecidos por la Comisión Nacional de los Mercados y la Competencia, el término
tomará un valor de 0.
b) La retribución
en el año n para la empresa i por las tareas asociadas a la contratación, facturación de peajes de acceso y gestión de impagos derivada de las tareas realizadas el año n-2, se determinará de acuerdo con la siguiente expresión:
Donde:
es el factor indicativo del cumplimiento de las obligaciones de calidad comercial de los clientes conectados a sus redes de la empresa i en el año n-2, limitado a un valor de 1. El valor de este factor se determina conforme a la siguiente expresión:
Siendo:
Donde:
es el número de incumplimientos registrados en la empresa i de tipo de gestión comercial Z, a todos los clientes de la empresa distribuidora en el año n-2.
es el número total de gestiones realizadas por la empresa i, a todos los clientes de la empresa distribuidora i, en el año n-2, para la gestión z.
es el factor indicativo del cumplimiento de las obligaciones en calidad comercial de los clientes conectados a sus redes en el año n-2 de la gestión z. Cuando no sea posible su cálculo para una empresa, tomará el valor 0,9869.
Z son las gestiones monitorizadas por calidad comercial, pudiendo tomar los siguientes valores:
1: Presentación de presupuestos para nuevos suministros.
2: Ejecución de instalaciones necesarias para nuevos suministros.
3: Ejecución de enganche e instalación de equipos de medida.
4: Atención de las reclamaciones formuladas por consumidores.
5: Enganche después de abono, en cortes por impago.
6: Ejecuciones indebidas de cortes por impago.
7: Gestiones obligatorias de cambio de suministrador.
8: Respuesta a solicitudes de acceso.
es la retribución reconocida a la empresa i, en el último año del periodo regulatorio anterior, por las tareas asociadas a la contratación, facturación de peajes de acceso y gestión de impagos de los clientes conectados a sus redes.
αn es el factor de reparto entre la retribución reconocida por las tareas asociadas a la contratación, facturación de peajes de acceso y gestión de impagos y el coste de dichas tareas para una empresa eficiente, el último año del periodo regulatorio anterior.
es el coste de contratación de una empresa eficiente considerando los puntos de suministro activos a 31 de diciembre del último año del periodo regulatorio anterior para la empresa i, por la realización de esta tarea a los clientes conectados a sus redes.
es el coste de contratación de una empresa eficiente por la realización de la tarea de contratación, facturación de peajes de acceso y gestión de impagos de los clientes activos conectados a sus redes a 31 de diciembre del año n-2 de la empresa i. El valor de este componente retributivo se determina conforme a la siguiente tabla:
|
Tramo de clientes |
Valor unitario €/cliente |
|
|---|---|---|
|
Desde |
Hasta |
|
|
1 |
1.000 |
17,720 |
|
1.001 |
10.000 |
11,111 |
|
10.001 |
100.000 |
7,518 |
|
100.001 |
1.000.000 |
4,421 |
|
1.000.001 |
5.000.000 |
1,166 |
|
5.000.001 |
0,700 |
|
c) La retribución
en el año n para la empresa i por las tareas asociadas a la atención telefónica a los clientes conectados a sus redes realizadas el año n-2, se determinará de acuerdo con la siguiente expresión:
Donde:
es la retribución reconocida a la empresa i, en el último año del periodo regulatorio anterior, por atención telefónica de los clientes conectados a sus redes.
αn es el factor de reparto entre la retribución reconocida por las tareas asociadas a la atención telefónica y el coste de dichas tareas para una empresa eficiente, el último año del periodo regulatorio anterior.
es el coste de atención telefónica de una empresa eficiente considerando los puntos de suministro activos a 31 de diciembre del último año del periodo regulatorio anterior para la empresa i, por la realización de esta tarea a los clientes conectados a sus redes.
es el coste de atención telefónica, considerando los puntos de suministro activos a 31 de diciembre del año n-2 de la empresa i. El valor de este componente retributivo se determina conforme a la siguiente tabla:
|
Tramo de clientes |
Valor unitario €/cliente |
|
|---|---|---|
|
Desde |
Hasta |
|
|
1 |
1.000 |
6,441 |
|
1.001 |
10.000 |
4,821 |
|
10.001 |
100.000 |
2,910 |
|
100.001 |
1.000.000 |
0,832 |
|
1.000.001 |
5.000.000 |
0,676 |
|
5.000.001 |
0,478 |
|
d) La retribución en el año n para la empresa distribuidora i por las tareas asociadas a la planificación realizadas el año n-2, se determinará de acuerdo con la siguiente expresión:
Donde:
es la retribución reconocida a la empresa i, en el último año del periodo regulatorio anterior, por las tareas en planificación en sus redes.
αn es el factor de reparto entre la retribución reconocida por las tareas asociadas a la planificación de redes y el coste de dichas tareas para una empresa eficiente, el último año del periodo regulatorio anterior.
es el coste de planificación de una empresa eficiente considerando los puntos de suministro activos a 31 de diciembre del último año del periodo regulatorio anterior para la empresa i, por la realización de esta tarea a los clientes conectados a sus redes.
es el coste de planificación de una empresa eficiente, considerando los puntos de suministro activos a 31 de diciembre del año n-2 de la empresa i. El valor de este componente retributivo se determina conforme a la siguiente tabla:
|
Tramo de clientes |
Valor unitario €/cliente |
|
|---|---|---|
|
Desde |
Hasta |
|
|
1 |
1.000 |
7,424 |
|
1.001 |
10.000 |
5,763 |
|
10.001 |
100.000 |
4,432 |
|
100.001 |
1.000.000 |
2,681 |
|
1.000.001 |
5.000.000 |
1,656 |
|
5.000.001 |
1,540 |
|
e) La retribución
en el año n para la empresa i por costes de estructura derivados de las tareas realizadas el año n-2, se determinará de acuerdo con la siguiente expresión:
Donde:
es la retribución reconocida a la empresa i, en el último año del periodo regulatorio anterior, por costes de estructura.
αn es el factor de reparto entre la retribución reconocida por estructura y el coste de estructura de una empresa eficiente, el último año del periodo regulatorio anterior.
es el coste de estructura de una empresa eficiente considerando los puntos de suministro activos a 31 de diciembre del último año del periodo regulatorio anterior para la empresa i, por la realización de esta tarea a los clientes conectados a sus redes.
es el coste de estructura de una empresa eficiente en redes, considerando los puntos de suministro activos a 31 de diciembre del año n-2 de la empresa i. El valor de este componente retributivo se determina conforme a la siguiente tabla:
|
Tramo de clientes |
Valor unitario €/cliente |
|
|---|---|---|
|
Desde |
Hasta |
|
|
1 |
1.000 |
104,197 |
|
1.001 |
10.000 |
61,683 |
|
10.001 |
100.000 |
50,378 |
|
100.001 |
1.000.000 |
35,965 |
|
1.000.001 |
5.000.000 |
9,447 |
|
5.000.001 |
8,818 |
|
f) La retribución
en el año n para la empresa i por la tasa de ocupación de la vía pública derivada de los importes abonados el año n-2, se determinará de acuerdo con las declaraciones efectuadas de importes devengados en el año n-2 en la Circular informativa 4/2015, de 22 de julio, o circular que la sustituya, considerando la correspondiente FRRTAn.
3. No podrán computarse en concepto de retribución por otras tareas reguladas los costes ocasionados por sentencias judiciales, sanciones o requisitos no exigidos por la normativa estatal.
La Comisión Nacional de los Mercados y la Competencia supervisará el cumplimiento de los planes de inversión de los gestores de red de distribución, aprobados de conformidad con lo previsto en el Real Decreto 1048/2013, de 27 de diciembre, a los efectos del ejercicio de sus competencias en materia retributiva.
1. El último año de cada semiperiodo regulatorio las empresas distribuidoras presentarán ante la Comisión Nacional de los Mercados y la Competencia, antes del 1 de junio, un informe en el que se acredite el grado de cumplimiento de los planes de inversión ejecutados en los años n-4 a n-2.
En dicho informe se deberán motivar de forma detallada las causas que hubieran provocado que aquellas instalaciones incluidas en los planes de inversión presentados en los años anteriores, no se hayan puesto en servicio o en las que se esté incurriendo en retrasos significativos respecto a los plazos previstos.
2. Para la evaluación del volumen de inversión con derecho a retribución a cargo del sistema finalmente ejecutado se empleará la siguiente formulación:
Donde:
a) Para la evaluación del volumen de inversión trienal de las instalaciones de distribución puestas en servicio en los años n-4, n-3 y n-2 se emplearán los valores de inversión de cada una de las instalaciones aportados para dicho periodo por cada una de las empresas distribuidoras.
b) Se descontarán, del volumen de inversión total, las cesiones y las inversiones financiadas por terceros que se prevean percibir,
, en dichos tres años.
c)
valor de las ayudas públicas percibidas por la instalación j. En el caso de que estas ayudas públicas provengan de organismos de la Unión Europea, este valor será el 90 por ciento del importe percibido. En ningún caso el margen del 10 por ciento a considerar a las empresas distribuidoras, podrá ser superior a 10 millones de euros.
d)
Factor de retardo retributivo de la inversión. Este parámetro se calculará de acuerdo a la formulación recogida en el artículo 8.
3. En el caso de que una empresa i superase el volumen máximo de inversión con derecho a retribución a cargo del sistema fijado para un semiperiodo, y este exceso fuera inferior al 15 por ciento, la retribución del año n por el exceso de las instalaciones puestas en servicio entre los años n-4 y n-2, se verá minorada en un 5 por ciento.
4. Para las empresas que hayan superado el volumen máximo de inversión en una cuantía igual o superior al 15 por ciento, la retribución del año n por el exceso de las instalaciones puestas en servicio entre los años n-4 y n-2, se verá minorada en las siguientes proporciones, siendo n el último año del semiperiodo:
a) Si se hubiera superado el volumen máximo en una cuantía igual o superior al 15 por ciento y menor al 25 por ciento, la retribución del año n por el exceso de las instalaciones puestas en servicio entre los años n-4 y n-2, se verá minorada en un 25 por ciento.
b) Si se superase el volumen máximo señalado en una cantidad igual o superior al 25 por ciento, la retribución del año n asociada al exceso de las instalaciones puestas en servicio entre los años n-4 y n-2 se verá minorada en un 50 por ciento.
5. Las minoraciones sobre la retribución del último año de cada semiperiodo establecidas en el apartado anterior se aplicarán sobre el valor del obtenido tras la aplicación de los ajustes establecidos en el artículo 10 y se considerará que su amortización se realiza a 40 años.
La Comisión Nacional de los Mercados y la Competencia establecerá mediante resolución, previo trámite de audiencia, el contenido y formato en el que se deberá presentar la información para el seguimiento de los planes de inversión de las empresas distribuidoras de energía eléctrica.
1. Las empresas distribuidoras deberán remitir a la Comisión Nacional de los Mercados y la Competencia la información necesaria para el cálculo de la retribución asociada a todas las instalaciones puestas en servicio el año n-2, así como aquellas que sean objeto de transmisión de titularidad, causen baja, dejen de estar disponibles o sufran modificaciones que afecten al cálculo de los parámetros retributivos establecidos en la presente circular.
2. La Comisión Nacional de los Mercados y la Competencia dictará la circular pertinente para el desarrollo de la información regulatoria de costes y para la obtención de toda aquella información que resulte necesaria para el cálculo de la retribución.
Asimismo, las empresas distribuidoras de energía eléctrica estarán obligadas a aportar información, en las condiciones que se determinen, con la finalidad de establecer los parámetros que se definen en la presente circular y permitir la adecuada supervisión y control de su actividad.
3. Sin perjuicio de la posible sanción por falta de remisión o por remisión incorrecta de la información a que pudiera dar origen, si la documentación presentada por las empresas distribuidoras para el cálculo de la retribución correspondiente al año n no reúne los requisitos exigidos, la Comisión Nacional de los Mercados y la Competencia requerirá al interesado para que, en un plazo de treinta días hábiles, subsane la falta o acompañe los documentos preceptivos. En caso de que no se procediese a la subsanación, la empresa distribuidora i que se encuentre en esta situación devengará como retribución a cuenta hasta que se pudiera calcular la retribución, el cincuenta por ciento de la retribución correspondiente al año n-1.
Si la situación se prolongase el siguiente año, y durante los años en que esta situación continúe, esta cuantía será la retribución anual percibida sin que quepa ningún tipo de actualización ni incorporación de retribución de nuevas inversiones hasta que se entregue la información solicitada en los formatos adecuados y con la calidad requerida
4. Con carácter general, la información requerida que tenga efectos en el cálculo de la retribución estará sujeta a auditoría en las condiciones que se determinen por parte de la Comisión Nacional de los Mercados y la Competencia.
En aquellas peticiones de información en que se estime que dicha auditoría no resulta necesaria, se hará constar expresa y motivadamente en el requerimiento de información, todo ello sin perjuicio de posteriores inspecciones o de una auditoría ulterior si se considerase oportuna.
De conformidad con el artículo 7.39 de la Ley 3/2013, de 4 de junio, la Comisión Nacional de los Mercados y la Competencia podrá realizar las inspecciones que considere oportunas con el fin de confirmar la veracidad de la información que, en cumplimiento de la presente circular, le sea aportada.
Si como consecuencia de las inspecciones se detectan diferencias en la caracterización de las infraestructuras, sus parámetros básicos o en el cumplimiento de la admisibilidad de los costes declarados, se podrán modificar, a través del procedimiento correspondiente, los parámetros retributivos relativos a esas instalaciones mediante resolución de la CNMC.
1. Se establece un incentivo a la reducción de pérdidas que se aplicará a cada una de las empresas distribuidoras de energía eléctrica.
El incentivo para la reducción de pérdidas repercutido a la empresa distribuidora i el año n asociada al nivel de pérdidas de su red en el año n–2, se denominará ![]()
2. A los efectos del presente incentivo, se define
como las pérdidas de energía en las redes de la empresa distribuidora i durante el periodo tarifario p del año n-2, calculadas de la siguiente manera:
Siendo:
la energía, expresada en kWh, medida durante el periodo tarifario p del año n-2 en cada uno de los puntos frontera pf de generación-distribución y distribución-distribución, considerando la generación de todas las tecnologías, en cada nivel de tensión j para la empresa distribuidora i.
la energía, expresada en kWh, medida durante el periodo tarifario p del año n-2 en cada uno de los puntos frontera pf de transporte-distribución, en cada nivel de tensión j para la empresa distribuidora i.
A estos efectos, se considera con signo positivo la energía que entra a las redes de la empresa distribuidora i en cada uno de sus puntos frontera con redes de otras empresas distribuidoras, puntos de generación y red de transporte y con signo negativo la energía saliente por dichos puntos.
la energía, expresada en kWh, medida en contador del consumidor durante el periodo tarifario p del año n-2 de cada uno de los consumidores conectados al nivel de tensión j de las redes de la empresa distribuidora i.
es el coeficiente estándar de pérdidas del periodo tarifario p vigente en al año n-2 para la elevación hasta barras de central de la energía de cada tipo de consumidor según el nivel de tensión j o para la elevación hasta barras de central de la energía desde los puntos frontera generación-distribución, transporte-distribución y distribución-distribución de la empresa i. Dichos coeficientes estándar de pérdidas serán los fijados en la circular de la Comisión Nacional de los Mercados y la Competencia por la que se establece la metodología de peajes de transporte y distribución de electricidad.
j + 1 es el nivel de tensión inmediatamente superior al escalón «j» de tensión. Si j fuese el nivel de tensión de transporte, se aplicarían los coeficientes de dicho nivel de transporte.
Se aplicará un ajuste en las pérdidas de energía en las redes de la empresa distribuidora i durante el periodo tarifario p del año n-2
, al objeto de considerar las características técnicas de la red propias de una zona de distribución. Dicho ajuste será fijado por la Comisión Nacional de los Mercados y la Competencia al inicio de cada periodo regulatorio.
3. Se procederá a calcular, para cada empresa distribuidora i, el importe correspondiente a las pérdidas de energía definidas en el punto 2, según la siguiente expresión:
Donde:
es la media aritmética del precio del mercado diario de todas las horas del periodo tarifario p del año n-2.
es el coeficiente de adecuación del precio del periodo tarifario p vigente en el año n-2, orientado a ajustar el precio de la energía al valor obtenido tras su elevación hasta barras de central. Su valor será fijado por la CNMC al inicio de cada periodo regulatorio.
4. A los efectos del presente incentivo, se define el porcentaje de pérdidas de energía en las redes de la empresa distribuidora i durante el año k,
como:
5. Se define
como la evolución de las pérdidas de la empresa i entre los años n-4 y n-2, donde:
es la diferencia de pérdidas de energía respecto a la calculada según los coeficientes estándares en las redes de la empresa distribuidora i en el conjunto de los años n-3 y n-2.
es la diferencia de pérdidas de energía respecto a la calculada según los coeficientes estándares en las redes de la empresa distribuidora i en el conjunto de los años n-4 y n-3.
6. La penalización o bonificación que se asignará a la empresa i en el año n, por la evolución de
, vendrá determinada por la siguiente expresión:
Donde:
ωn es el coeficiente de reparto que permite asignar el importe del incentivo de aquellas empresas que deben abonar penalización entre las empresas distribuidoras que presentan un incentivo positivo, es decir:
Donde:
g son las empresas que tienen obligación de abonar penalización 
r son las empresas que reciben incentivo 
es la penalización máxima de incentivo de pérdidas que se asignará a la empresa i. Dicho valor será fijado por la Comisión Nacional de los Mercados y la Competencia al inicio de cada periodo regulatorio.
es la bonificación máxima de incentivo de pérdidas que se asignará a la empresa i. Dicho valor será fijado por la Comisión Nacional de los Mercados y la Competencia al inicio de cada periodo regulatorio.
7. Las empresas distribuidoras a las que no les puedan ser aplicados los incentivos a la reducción de pérdidas en las redes eléctricas,por no existir como empresas distribuidoras durante los años considerados a efectos del cálculo, no percibirán ni incentivo ni bonificación.
8. Se asignará la penalización máxima a las empresas distribuidoras a las que no les pueda ser aplicado el incentivo a la reducción de pérdidas en las redes eléctricas, por falta de declaración de información al operador del sistema, o por presentar información incoherente.
1. Se establece un incentivo a la mejora de la calidad de suministro que se aplicará a cada una de las empresas distribuidoras de energía eléctrica.
La bonificación o la penalización a la calidad del servicio repercutido a la empresa distribuidora i el año n asociado a los indicadores de calidad de suministro obtenidos por la empresa distribuidora i entre los años n-4 a n-2, se calculará conforme a la siguiente expresión:
Donde:
es la penalización o bonificación que se asignará a la empresa i en el año n por la evolución del TIEPI.
es la penalización o bonificación que se asignará a la empresa i en el año n, por la evolución del NIEPI.
2. A efectos del presente incentivo, se considerarán como TIEPI, tiempo de interrupción equivalente de la potencia instalada en media tensión, y NIEPI, número de interrupciones equivalentes de la potencia instalada en media tensión, las interrupciones imputables a «Programadas Transporte», «Programadas Distribución», «Imprevistos Transporte» e «Imprevistos Propias» conforme al artículo 100 del Real Decreto 1955/2000, de 1 de diciembre, por el que se regulan las actividades de transporte, distribución, comercialización, suministro y procedimientos de autorización de instalaciones de energía eléctrica, y a lo establecido en la Orden ECO/797/2002, de 22 de marzo, por la que se aprueba el procedimiento de medida y control de la continuidad del suministro eléctrico.
3. La regulación del presente incentivo a efectos retributivos se entiende sin perjuicio de las consecuencias que se deriven del incumplimiento de los índices de calidad del suministro que apruebe el Gobierno conforme a lo establecido en el artículo 51 de la Ley 24/2013, de 26 de diciembre, del Sector Eléctrico.
4. Las empresas distribuidoras a las que no les puedan ser aplicados los incentivos a la mejora en la calidad en las redes eléctricas,por no existir como empresas distribuidoras durante los años considerados, a efectos del cálculo, no percibirán ni incentivo ni bonificación.
5. No obstante, las empresas distribuidoras para las que se observen indicadores de cumplimiento de calidad promedio
superiores al 150 por ciento durante dos años consecutivos, verán duplicado para el siguiente año el límite establecido a las penalizaciones máximas
durante el mismo número de años en el que sus indicadores de cumplimiento de la calidad promedio hayan estado situados en niveles superiores al 150 por ciento.
6. Asimismo, ninguna empresa distribuidora podrá percibir bonificación por incentivo a la mejora de la calidad en el año n, si alguna de sus zonas ha empeorado la calidad en variación interanual en un porcentaje igual o superior al 150 por ciento.
1. Se establece un incentivo a la mejora de la calidad en la red de distribución relacionado con el tiempo de interrupción en la continuidad del servicio eléctrico que se aplicará a cada una de las empresas distribuidoras de energía eléctrica.
El incentivo a la mejora de la calidad en la red de la empresa distribuidora i el año n, asociado a los niveles de calidad observados en las redes de distribución entre los años n–4 a n–2, y calculado en función de la desviación respecto al promedio nacional del TIEPI a efectos de este incentivo, se denominará 
2. El factor que determina si cada empresa distribuidora i, debe cobrar incentivo o abonar penalización en el año n, se denomina «Indicador de cumplimiento de calidad promedio»
, expresado en tanto por ciento y vendrá determinado por la siguiente expresión:
Donde:
i es la empresa distribuidora.
j es la zona de calidad (urbano, semiurbano, rural concentrado y rural disperso).
n es el año en el que se calcula el incentivo.
es el promedio del indicador de calidad TIEPI a efectos de incentivo de la empresa distribuidora i en el periodo que transcurre entre los años n-2 y n-4, en la zona j.
es el promedio nacional del indicador de calidad TIEPI a efectos de incentivo en el periodo que transcurre entre los años n-2 y n-4, en la zona j.
es el peso asignado en cada empresa i a efectos de promediar el indicador de calidad por zona j para el año n, expresado en tanto por ciento. El valor de este factor se determina conforme a la siguiente expresión:
Donde:
es la variable que sirve para construir el factor de ponderación de la empresa distribuidora (i) de cada una de las zonas de calidad (j) en el cálculo del indicador de cumplimiento de calidad promedio en la que se consideran los datos del año k.
3. La penalización o bonificación que se asignará a la empresa i en el año n, por la evolución del TIEPI en adelante
, vendrá determinada por la siguiente expresión:
Donde:
es la penalización máxima de incentivo de calidad por TIEPI que se asignará en el año n a la empresa i. Dicho valor será fijado por la Comisión Nacional de los Mercados y la Competencia al inicio de cada periodo regulatorio.
es la bonificación máxima de incentivo de calidad por TIEPI que se asignará en el año n a la empresa i. Dicho valor será fijado por la Comisión Nacional de los Mercados y la Competencia al inicio de cada periodo regulatorio.
NTIEPIn es el umbral del indicador de cumplimiento de calidad promedio a partir del cual no se sigue incrementando la penalización, pues se alcanza para la empresa i, la penalización máxima
(expresado en tanto por ciento).
VTIEPIn es el umbral del indicador de cumplimiento de calidad promedio a partir del cual la empresa i puede percibir la bonificación máxima
(expresado en tanto por ciento).
ωtn es el coeficiente de reparto de las bonificaciones que se aplica el año n que permite igualar la recaudación total de todas las penalizaciones asignadas en el año n, por excesivas variaciones en TIEPI, a las empresas distribuidoras que presentan un indicador de cumplimiento de la calidad promedio negativo, es decir:
Donde:
g son las empresas que tienen obligación de abonar penalización
f son las empresas que no reciben bonificación máxima y no tienen que abonar penalización) 
h son las empresas que reciben bonificación máxima y no tienen que abonar penalización
.
es el importe asignable de bonificación a la empresa f, en el año n, en función del valor obtenido por el indicador de cumplimiento de la calidad promedio, su valor se obtiene por la siguiente expresión:
es el importe asignable como bonificación máxima a la empresa h en el año n. Su valor se obtiene por la siguiente expresión:
4. Se asignará la penalización máxima en
a las empresas distribuidoras a las que no les puedan ser aplicados los incentivos a la mejora en la calidad en las redes eléctricas, por no haber dado cumplimiento a la obligación de envío de información conforme a la Orden ECO/797/2002, de 22 de marzo, que establece el procedimiento de medida y control de la continuidad del suministro eléctrico.
5. Los importes recaudados en exceso por aplicación del incentivo serán destinados a incrementar las bonificaciones asignadas a cada empresa hasta que alcancen la bonificación máxima o hasta que se agote el importe de dicho exceso. Los importes serán aplicados secuencialmente a las empresas con valores
y por estricto orden de menor a mayor indicador de cumplimiento de calidad promedio.
1. Se establece un incentivo a la mejora de la calidad en la red de distribución relacionado con el número de interrupciones en la continuidad del servicio eléctrico que se aplicará a cada una de las empresas distribuidoras de energía eléctrica.
El incentivo a la mejora de la calidad en la red de distribución i el año n asociado a los niveles de calidad observados en las redes de distribución entre los años n–4 a n–2, medido en función del NIEPI a efectos de incentivos, se denominará 
2. El factor que determina si cada empresa i, debe cobrar incentivo o abonar penalización en el año n, se denomina «Indicador de cumplimiento de calidad promedio»
expresado en tanto por ciento, y vendrá determinado por la siguiente expresión:
Donde:
i es la empresa distribuidora.
j es la zona de calidad (urbano, semiurbano, rural concentrado y rural disperso).
n es el año en el que se calcula el incentivo.
es el promedio del indicador de calidad NIEPI a efectos de incentivo de la empresa distribuidora i en el periodo que transcurre entre los años n-2 y n-4, en la zona j.
es el promedio nacional del indicador de calidad NIEPI a efectos de incentivo en el periodo que transcurre entre los años n-2 y n-4, en la zona j.
es el peso asignado en cada empresa i a efectos de promediar el indicador de calidad por zona j para el año n, expresado en tanto por ciento. El valor de este factor se determina conforme a la siguiente expresión:
Donde:
es la variable que sirve para construir el factor de ponderación de la empresa distribuidora (i) de cada una de las zonas de calidad (j) en el cálculo del indicador de cumplimiento de calidad promedio en la que se consideran los datos del año k.
3. La penalización o bonificación que se asignará a la empresa i en el año n, por la evolución en NIEPI, en adelante
vendrá determinada por la siguiente expresión:
Donde:
es la penalización máxima de incentivo de calidad por NIEPI que se asignará en el año n a la empresa i. Dicho valor será fijado por la Comisión Nacional de los Mercados y la Competencia al inicio de cada periodo regulatorio.
es la bonificación máxima de incentivo de calidad por NIEPI que se asignará en el año n a la empresa i. Dicho valor será fijado por la Comisión Nacional de los Mercados y la Competencia al inicio de cada periodo regulatorio.
NNIEPIn es el umbral del indicador de cumplimiento de calidad promedio a partir del cual no se sigue incrementando la penalización, pues alcanza para la empresa i, la penalización máxima
(expresado en tanto por ciento).
VNIEPIn es el umbral del indicador de cumplimiento de calidad promedio a partir del cual la empresa i puede percibir la bonificación máxima
(expresado en tanto por ciento).
ωnn es el coeficiente de reparto de las bonificaciones que se aplica el año n que permite igualar la recaudación total de todas las penalizaciones asignadas en el año n, por excesivas variaciones en NIEPI, a las empresas distribuidoras que presentan un indicador de cumplimiento de la calidad promedio negativo, es decir:
Donde:
g son las empresas que tienen obligación de abonar penalización
.
f son las empresas que no reciben bonificación máxima y no tienen que abonar penalización)
.
h son las empresas que reciben bonificación máxima y no tienen que abonar penalización 
es el importe asignable de bonificación a la empresa f, en el año n, en función del valor obtenido por el indicador de cumplimiento de la calidad promedio, su valor se obtiene por la siguiente expresión:
es el importe asignable como bonificación máxima a la empresa h, en el año n. Su valor se obtiene por la siguiente expresión:
4. Se asignará la penalización máxima
a las empresas distribuidoras a las que no les puedan ser aplicados los incentivos a la mejora en la calidad en las redes eléctricas, por no haber dado cumplimiento a la obligación de envío de información conforme a la Orden ECO/797/2002, de 22 de marzo, que establece el procedimiento de medida y control de la continuidad del suministro eléctrico.
5. Los importes recaudados en exceso por aplicación del incentivo serán destinados a incrementar las bonificaciones asignadas a cada empresa hasta que alcancen la bonificación máxima o hasta que se agote el importe de dicho exceso. Los importes serán aplicados secuencialmente a las empresas con valores
y por estricto orden de menor a mayor indicador de cumplimiento de calidad promedio.
1. En el caso de que los activos que son objeto de retribución conforme a esta circular sean empleados en la realización de actividades diferentes a la distribución de electricidad, la retribución anual a percibir por parte de los sujetos distribuidores se minorará teniendo en cuenta la contribución de tales activos a las referidas actividades.
2. A los efectos de esta minoración de la retribución, la Comisión Nacional de los Mercados y la Competencia determinará mediante resolución, adoptada previo trámite de audiencia, la metodología de ajuste retributivo a realizar. Esta metodología tendrá en cuenta, en todo caso, los costes directos e indirectos de los activos empleados, así como el coste en que, de no mediar el empleo de estos activos, se habría incurrido para poder realizar esas otras actividades. Asimismo, podrán tenerse en cuenta, entre otros factores, el ingreso por las actividades diferentes al transporte, la contribución a dicho ingreso realizada por los activos regulados o las circunstancias que puedan concurrir respecto de las cesiones del uso de los activos entre sociedades de un mismo grupo o terceras sociedades.
3. En ningún caso la realización de actividades diferentes a la distribución puede suponer un coste adicional para las actividades con una metodología retributiva regulada.
1. Al efecto de incorporar un principio de prudencia financiera requerido a los titulares de activos de red de distribución, se establece una penalización para las empresas cuyos ratios se sitúen fuera de los rangos de valores recomendables enunciados en el apartado quinto de la Comunicación 1/2019, de 23 de octubre, de la Comisión Nacional de los Mercados y la Competencia, de definición de ratios para valorar el nivel de endeudamiento y la capacidad económico-financiera de las empresas que realizan actividades reguladas, y de rangos de valores recomendables de los mismos.
2. La penalización será el resultado de aplicar la siguiente fórmula.
PPFn = –0,01 × RAn × (1– IGRn), si IGRn< 0,90
Donde:
n: es cada año del periodo regulatorio.
PPFn: valor de la penalización en el año n, en €.
RAn: retribución anual del titular de activos de red en el año n, en €, en los términos en los que se define en el artículo 5.
IGRn: índice global de ratios del año n, definido en el apartado sexto de la Comunicación 1/2019, de 23 de octubre, de la Comisión Nacional de los Mercados y la Competencia, de definición de ratios para valorar el nivel de endeudamiento y la capacidad económico-financiera de las empresas que realizan actividades reguladas, y de rangos de valores recomendables de los mismos.
3. La penalización no será aplicable si se deriva de la existencia de saldos pendientes de liquidar al sistema eléctrico, o de fianzas y depósitos pendientes de devolver a clientes, que se hayan computado como deuda.
4. La penalización no será aplicable si el titular de activos de red de distribución forma parte de un grupo de sociedades en el que la matriz de dicho grupo también es titular de tales activos, y a nivel agregado o consolidado de dicha matriz y sus filiales titulares de activos de red, el IGR es superior o igual a 0,90.
5. La penalización no será aplicable a las empresas distribuidoras de menos de 100.000 clientes.
6. El índice global de ratios del año n se determinará, para cada titular de activos de red de distribución, sobre sus datos relativos al ejercicio n-2, por resolución de la CNMC, previa audiencia a los interesados, en la que podrán alegar sobre los cálculos realizados y sobre la concurrencia de los supuestos recogidos en los apartados 3 y 4.
El primer periodo de aplicación de la metodología de retribución recogida en la presente circular transcurrirá del 1 de enero de 2020 al 31 de diciembre de 2025.
Para el cálculo de la retribución a la inversión de las instalaciones puestas en servicio en el año 2018, se establecen las siguientes particularidades:
1. Para las instalaciones puestas en servicio en el ejercicio 2018, el valor de la inversión con derecho a retribución a cargo del sistema se calculará según la siguiente expresión:
Donde:
δj es un coeficiente en base uno que refleja el complemento a uno del valor total de inversión de dicha instalación financiado y cedido por terceros.
AYj es el valor de las ayudas públicas percibidas por la instalación j. En el caso de que estas ayudas públicas provengan de organismos de la Unión Europea, este valor será el 90 por ciento del importe percibido. En ningún caso el margen del 10 por ciento a considerar respecto a las empresas distribuidoras, podrá ser superior a 10 millones de euros.
es el valor real auditado de inversión de la instalación j puesta en servicio en 2018.
es el valor de la inversión de la instalación j puesta en servicio en 2018 calculado empleando los valores unitarios de referencia de la Orden IET/2660/2015, de 11 de diciembre.
es el factor de retardo retributivo de la inversión de la instalación j puesta en servicio en 2018. Factor derivado del coste financiero motivado por el retraso entre la concesión de la autorización de explotación de la instalación j y el inicio del devengo de retribución por inversión. Este valor se calculará como:
Donde:
TRFAPS es la tasa de retribución financiera vigente en el año de puesta en servicio de las instalaciones (2018).
trj es el tiempo de retardo retributivo de inversión de la instalación j. Este parámetro tomará un valor de 1,5.
Este cálculo se realizará tanto si la diferencia
es positiva como si fuera negativa.
2. En caso de que se cumpla que
< –0,15, se deberá aportar un informe técnico acompañado de una declaración responsable de la empresa distribuidora que justifique los motivos técnicos y económicos por los que los costes incurridos son superiores a los valores unitarios de referencia por sus especiales características y/o problemática. Para actuaciones de tensión superior a 36 kV la documentación anterior deberá ser sustituida por una auditoría técnica.
En cualquier caso, el valor de la inversión con derecho a retribución a cargo del sistema en las instalaciones que cumplan la condición anterior se calculará según la siguiente expresión:
Asimismo, en ningún caso la cuantía a sumar al valor real auditado de inversión, es decir
podrá ser superior al 12,5 por ciento de dicho valor auditado. En dicho caso, se calculará según la siguiente expresión:
Para los activos con derecho a retribución a cargo del sistema distintos de los activos eléctricos recogidos en las unidades físicas de la Orden IET/2660/2015, puestos en servicio en el ejercicio 2018, este valor se obtendrá de la información auditada presentada por las empresas distribuidoras, y se calculará como:
Para estos activos, la vida útil regulatoria considerada en el cálculo será la siguiente, según su tipología:
Tabla 1. Vidas útiles para el cálculo de otros activos distintos de los activos eléctricos recogidos en las unidades físicas
|
Concepto |
Vida útil |
|---|---|
|
Edificios y construcciones. |
50 |
|
Sistemas de comunicaciones, sistemas técnicos de gestión y aplicaciones informáticas y equipos para procesos de información. |
5 |
|
Utillaje. |
5 |
|
Elementos de transporte (incluyendo vehículos eléctricos). |
6 |
|
Mobiliario. |
10 |
|
Maquinaria. |
10 |
|
Sistemas inteligentes. |
12 |
|
Telegestión. |
15 |
|
Equipos de medida no ubicados en fronteras de clientes. |
15 |
Para el cálculo de la retribución a la inversión de las instalaciones cuya entrada en explotación se haya producido en el año 2019, se establece la siguiente particularidad:
En las instalaciones catalogadas como tipo 2 en el artículo 9, se podrán englobar aquellas actuaciones en instalaciones no asociadas a unidades físicas, cuya puesta en explotación haya sido en el ejercicio 2019, siguiendo el mismo tratamiento económico establecido en el artículo 8 para estas inversiones de tipo 2, considerando una vida útil de 40 años.
En el primer año del periodo regulatorio (retribución del ejercicio 2020) la tasa de retribución financiera TRFp tomará el valor 6,0033 por ciento.
Para el cálculo del ajuste de los valores reales de inversión al final del primer semiperiodo regulatorio, se establecen las siguientes particularidades:
1. El ajuste a realizar al final del primer semiperiodo regulatorio 2022, se realizará mediante la comprobación del resultado que se hubiera obtenido al valorar las inversiones asociadas a unidades físicas puestas en servicio entre el año 2019 y el 2020 a costes unitarios, conforme a la siguiente expresión:
Dicho valor se comparará con el valor de inversión retribuible obtenido en el cálculo retributivo de los ejercicios 2019 y 2020 según lo establecido en el artículo 8, es decir:
2. Se distinguirán los siguientes supuestos:
– Si
, no se realizarán modificaciones en el valor de inversión retribuible obtenido para el cálculo retributivo de los ejercicios 2019 y 2020.
– Si
, el valor de inversión retribuible correspondiente al ejercicio 2020 se verá minorado en un 50 por ciento de la diferencia entre ambos valores, es decir:
– Si
, el valor de inversión retribuible correspondiente al ejercicio 2020 se verá incrementado en un 50 por ciento de la diferencia entre ambos valores, es decir:
3. Las minoraciones o incrementos del valor de inversión retribuible VI2020i modificado según las condiciones establecidas en esta disposición, se descontarán o añadirán a la retribución por inversión de las instalaciones puestas en servicio en dicho año 2020 considerando que su amortización se realiza a 40 años.
Para el cálculo del término COMGES durante los años correspondientes al primer periodo regulatorio, se establecen las siguientes particularidades:
1. En el primer año del periodo regulatorio (retribución del ejercicio 2020), el componente gestionable se calculará según la siguiente expresión:
Donde los valores de ROM, ROMNLAE y RI(OTRO IBO2015-2018) se calcularán según la metodología establecida en el Real Decreto 1048/2013, de 27 de diciembre, con base en la información correspondiente al ejercicio 2018 declarada por las empresas distribuidoras según las Resoluciones de fecha 3 de abril de 2019 de la Dirección General de Política Energética y Minas, por las que se establecen los criterios que deberán seguir las empresas distribuidoras de energía eléctrica para la remisión del inventario auditado de instalaciones y del informe de auditoría externa, y de la Circular informativa 4/2015, de 22 de julio, de la Comisión Nacional de los Mercados y la Competencia.
2. En el segundo año del periodo regulatorio (retribución del ejercicio 2021), el componente gestionable se calculará según la siguiente expresión:
Donde el COMGES2020i se calculará conforme a lo establecido en el apartado anterior y el RI(OTRO IBO2019), se calculará según la metodología establecida en el Real Decreto 1048/2013, de 27 de diciembre, sobre la base de la información correspondiente al ejercicio 2019 declarada por las empresas distribuidoras según las Resoluciones de la Dirección General de Política Energética y Minas, por las que se establecen los criterios que deberán seguir las empresas distribuidoras de energía eléctrica para la remisión del inventario auditado de instalaciones y del informe de auditoría externa, y de la Circular informativa 4/2015, de 22 de julio, de la Comisión Nacional de los Mercados y la Competencia.
3. El parámetro ×, definido en el artículo 13, para el primer semiperiodo regulatorio se calculará según la relación entre el incremento del concepto COMGES entre los ejercicios 2019 y 2020 y el incremento de la retribución por inversión de las instalaciones asociadas a unidades físicas y a despachos entre los ejercicios 2019 y 2020 según la metodología establecida en el Real Decreto 1048/2013, de 27 de diciembre, considerando la retribución que correspondería a instalaciones cedidas y financiadas por terceros calculada según los valores unitarios de referencia. El valor de dicho parámetro se establecerá en la resolución por la que se fije la retribución correspondiente al ejercicio 2020.
4. El factor de ajuste FA se fijará para cada año n del primer periodo regulatorio como:
Para el cálculo del término ROTD durante los años correspondientes al primer periodo regulatorio, se establecen las siguientes particularidades:
1. Los términos
individualmente considerados, serán los correspondientes a los obtenidos por aplicación del Real Decreto 1048/2013, de 27 de diciembre, sin considerar el factor de retardo retributivo.
2. Los términos
son los costes de las distintas tareas de distribución de una empresa eficiente considerando los puntos de suministro activos a 31 de diciembre del 2017 de la empresa i.
Las empresas a las que no se les pueda calcular algunos de los términos
por no cumplir con sus obligaciones de entrega de información, los citados términos tomarán el valor cero en aquellas magnitudes en las que no puedan ser calculados.
3. Las empresas distribuidoras a las que no se les pueda calcular algunos de los términos
por no cumplir con sus obligaciones de entrega de información, los citados términos tomarán el valor cero en aquellas magnitudes en las que no puedan ser calculados.
Durante el primer periodo regulatorio, el factor indicativo del cumplimiento de las obligaciones en calidad comercial de los clientes conectados a las redes de la empresa i,
tomará el valor de 1. A partir del siguiente periodo regulatorio, cuando no sea posible calcular el valor de algún
por incumplimientos en las obligaciones de entrega de información a la Comisión Nacional de los Mercados y la Competencia, dicho
tomará por defecto el valor de 0,9869 para ese tipo de gestión comercial z, con la excepción de aquellos casos en los que se acredite que no ha sido desarrollada ninguna actuación relativa a un tipo de gestión concreta, en cuyo caso tomará valor 1.
4. La retribución de las distintas tareas vendrá determinada entre otros, por el parámetro αt que tomará el valor de 0,2.
5. Las empresas de nueva creación durante el nuevo periodo regulatorio tendrán cero como valor del parámetro α.
Para el cálculo de la retribución correspondiente a los años 2020 y 2021 no se aplicarán las previsiones contenidas en el capítulo V, aplicándose en su lugar la regulación contenida en el Real Decreto 1048/2013, de 27 de diciembre, sobre el incentivo por reducción de pérdidas y sobre el incentivo a la reducción del fraude.
Para el cálculo de la retribución correspondiente a los años 2022 a 2025, la Comisión Nacional de los Mercados y la Competencia fijará con anterioridad al año 2022, mediante resolución y previo trámite de audiencia, los siguientes valores:
– El ajuste al incentivo previsto en el artículo 24.2, al objeto de considerar las características técnicas de la red propias de una zona de distribución.
– El coeficiente
previsto en el artículo 24.3.
– La penalización máxima
prevista en el artículo 24.6.
– La bonificación máxima
prevista en el artículo 24.6.
Para el cálculo del incentivo a la mejora de calidad en las redes eléctricas para el primer periodo regulatorio, se establecen las siguientes particularidades:
1. El límite establecido a las penalizaciones máximas durante los tres primeros años del primer periodo regulatorio será 
, siendo
la retribución asignada a la empresa distribuidora i en el año n sin tener en cuenta los incentivos.
2. El límite establecido a las penalizaciones máximas durante los tres últimos años del primer periodo regulatorio será 
siendo
la retribución asignada.
3. El límite establecido a las bonificaciones máximas durante los tres primeros años del primer periodo regulatorio será
siendo
la retribución asignada a la empresa distribuidora i en el año n sin tener en cuenta los incentivos.
4. El límite establecido a las bonificaciones máximas durante los tres últimos años del primer periodo regulatorio será
siendo
la retribución asignada a la empresa distribuidora i en el año n sin tener en cuenta los incentivos.
5. Se fija para el primer periodo regulatorio, el umbral del indicador de cumplimiento de calidad promedio que determina la obligación de abonar la penalización máxima en NTIEPIn = NNIEPIn = 50%.
6. Se fija para el primer periodo regulatorio, el umbral del indicador de cumplimiento de calidad promedio que determina la posibilidad de percibir la bonificación máxima en VTIEPIn = VNIEPIn = 70%.
7. El coeficiente de reparto de bonificaciones que se aplica cada año al incentivo de mejora de TIEPI (ωtn) y al incentivo de mejora del NIEPI (ωnn,) tomará el valor necesario para igualar bonificaciones y penalizaciones cada año, estando limitado a un valor máximo de 1.
8. Con carácter general, se define como variable de ponderación para los indicadores promedio de desvío de la empresa distribuidora i, en la zona de calidad j, en el año k
, a la potencia promedio instalada en centros de transformación de media a baja tensión más la potencia contratada en media tensión conectada a las redes de la empresa distribuidora i en el año k, en la zona de calidad j.
Por tanto, la expresión correspondiente al peso asignado por empresa i a efectos de promediar el indicador de calidad por zona en el año n.
se calcula según la siguiente expresión:
La variable de ponderación seleccionada para los indicadores promedio de desvío
podrá ser modificada para su aplicación al inicio del segundo semiperiodo regulatorio si por razones de eficacia se decidiera variar la importancia relativa del cumplimiento del indicador ponderado en las distintas zonas de calidad.
9. Las inspecciones relativas a calidad de suministro efectuadas por la Comisión Nacional de los Mercados y la Competencia que acrediten la existencia de deficiencias en la información aportada por una empresa, tendrán como consecuencia la asignación de la penalización máxima para todos los incentivos de cada uno de los años en los que dicho valor intervenga en el proceso de cálculo. Los resultados de las mismas no alterarán los importes a percibir por incentivo a la mejora de la calidad del resto de empresas.
La penalización establecida en el artículo 29 no será aplicable hasta el cuarto año del primer periodo de aplicación de la metodología, a efectos de posibilitar la adaptación de las empresas a los rangos de valores recomendables.
Hasta que se apruebe la resolución a la que alude el artículo 28, se considerará el cincuenta por ciento de los ingresos anuales obtenidos por el grupo en la realización de actividades diferentes a la distribución de electricidad que empleen activos afectos a la actividad de distribución eléctrica a los efectos de minorar el valor anual de la retribución.
No obstante, este ajuste se regularizará si, de la resolución a que alude el artículo 28, resultase un porcentaje inferior de ingresos a considerar.
La presente circular entrará en vigor el día siguiente al de su publicación en el «Boletín Oficial del Estado».
Madrid, 5 de diciembre de 2019.–El Presidente de la Comisión Nacional de los Mercados y la Competencia, José María Marín Quemada.
Conforme a lo establecido en el artículo 9, a continuación se desarrolla la clasificación de las actuaciones a considerar para las inversiones realizadas en instalaciones de distribución con puesta en servicio posterior al 31 de diciembre de 2018 en lo que se refiere a las inversiones tipo 1 y las inversiones tipo 2.
En lo que se refieren a las instalaciones tipo 2, el desglose de actuaciones aquí recogido podrá ser más detallado en la circular informativa prevista en el artículo 22.
Tipo 1. Instalaciones a coste no completo, que impliquen inversión en algún componente de una tipología definida en la normativa aplicable
Tendrán la consideración de actuaciones establecidas para cada familia de instalaciones a reconocer para este tipo de inversiones las que se describen a continuación.
|
ACTUACIONES EN LÍNEAS |
|---|
|
Línea sobre zanjas existentes (tendido del conductor). |
|
Línea nueva de un circuito en tendido para múltiple circuito. |
|
Línea nueva de un circuito en tendido para múltiple circuito (tendido siguientes circuitos). |
|
Línea nueva con conductor nuevo utilizando apoyos existentes en Baja Tensión. |
|
Cambio de conductores sin repotenciación sustancial. |
|
Cambio de conductores con repotenciación sustancial. |
|
Adecuación de apoyos. |
|
Cambio de Aislamiento. |
|
Sustitución de crucetas y elementos auxiliares. |
|
Sustitución de vanos. |
|
Adecuación de puesta a tierra (apoyos, líneas aéreas, pantallas cables subterráneos). |
|
Instalación de fibra óptica en línea aérea o subterránea existente. |
|
ACTUACIONES EN POSICIONES |
|
Nueva subestación. |
|
Posición con interruptor reutilizado. |
|
Posiciones sin equipar (obra civil). |
|
Nueva posición en subestación existente. |
|
Con interruptor nuevo sin ampliación de parque. |
|
Con interruptor reutilizado. |
|
Posiciones sin equipar (obra civil). |
|
Adecuación/racionalización. |
|
Adecuación con nuevo interruptor. |
|
Cambio de interruptor existente. |
|
Adecuación de posiciones (sin cambio de interruptor), trafos de tensión, trafos de intensidad, autoválvulas, protecciones, seccionadores, etc. |
|
Equipación de posición sin equipar. |
|
Adecuación en subestación de obra civil u otros elementos comunes. |
|
Cambio interruptor en punto frontera en subestación en MT. |
|
ACTUACIONES EN MÁQUINAS |
|
Instalación de Trafo en subestación. |
|
Trafo recuperado. |
|
Obra civil para transformador sin equipar. |
|
Adecuación transformador. |
|
Trafo de subestación móvil. |
|
Adecuación de transformador (regulador de tomas, elementos de protección del transformador, etc.). |
|
Instalación o adecuación de baterías de condensadores (MT). |
|
ACTUACIONES EN CENTROS DE TRANSFORMACIÓN O DE REPARTO |
|
Modificación de un CT o CR. |
|
Cambio de trafo sin repotenciación o repotenciación no sustancial. |
|
Cambio de trafo con repotenciación sustancial. |
|
Instalación máquinas adicionales en un CT o CR. |
|
Instalación celdas/posiciones adicionales en un CT o CR. |
|
Instalación celda adicional (con/sin obra civil). |
|
Instalación celda en punto frontera en CT. |
|
Adecuaciones cabinas/celdas. |
|
Modificaciones en la envolvente, mejora de tierras, tejados, foso, atarjeas, sustitución o mejora de sistemas de ventilación, etc. |
|
Puesta a tierra. |
|
Cambio de aparamenta. |
|
Nuevas celdas de seccionamiento en centro de reparto. |
|
Cambio de plataforma en CT/CR/CS con cambio de potencia. |
|
Ampliación o sustitución de cuadros de BT. |
|
Adecuación de trafo. |
Tipo 2. Inversiones en digitalización y automatización de las redes necesarias para la transición energética
Tendrán la consideración de actuaciones a reconocer para este tipo de inversiones las que se describen a continuación.
– Otras instalaciones técnicas de distribución- Sistemas inteligentes identificados con el CINI «Smart Grids»- I29000XX donde las dos últimas posiciones pasarán a desglosarse según el siguiente desglose de actuaciones:
|
CINI (1.ª a 6.ª posición) |
I29000.–Otras instalaciones técnicas de distribución – Sistemas inteligentes – Smart Grids |
|||
|---|---|---|---|---|
|
Resto Posiciones CINI |
||||
|
7.ª |
Descripción |
8.ª |
Descripción |
|
|
1 |
Sistema de Supervisión Avanzada de Baja tensión (GSA). |
1 |
Gestor de Centro de Transformación (GCT). |
|
|
0 |
Otros. |
|||
|
2 |
Sistemas de Supervisión Avanzada de Media Tensión (hasta 36 kV inclusive). |
1 |
Gestión dinámica de la capacidad de las líneas aéreas. |
|
|
0 |
Otros. |
|||
|
3 |
Sistemas de Supervisión Avanzada de Alta Tensión (a partir de 36 kV). |
2 |
Gestión dinámica de la capacidad de las líneas aéreas. |
|
|
0 |
Otros. |
|||
|
4 |
Transformador de tensión variable. |
1 |
Transformador de tensión variables (MT/BT). |
|
|
2 |
Transformador de tensión variables (AT/MT). |
|||
|
5 |
Equipos para la sensorización y monitorización de la red. |
1 |
Analizador de Gas disuelto (DGA). |
|
|
2 |
Monitorización de descargas parciales. |
|||
|
3 |
Sensorización de líneas aéreas. |
|||
|
4 |
Sensorización interruptores de subestación. |
|||
|
5 |
Sensorización fuentes de alimentación. |
|||
|
6 |
Sensorización de tierras. |
|||
|
7 |
Robots-Drones supervisión y/o revisión de instalaciones. |
|||
|
8 |
Comunicaciones IOT (Internet of things). |
|||
|
9 |
Detectores de paso de falta (DPF). |
|||
|
0 |
Otros. |
|||
|
6 |
Recarga de Vehículo Eléctrico. |
1 |
Desarrollo Infraestructuras de recarga en redes BT. |
|
|
2 |
Desarrollo Infraestructuras de recarga en redes MT. |
|||
|
7 |
Sistemas de Almacenamiento (Baterías). |
1 |
Instaladas en AT. |
|
|
2 |
Instaladas en MT. |
|||
|
3 |
Instaladas en BT. |
|||
– Otras instalaciones técnicas de distribución- Telegestión identificados con el CINI «I29007X0» donde la penúltima posición pasará a desglosarse conforme se indica a continuación:
|
CINI (1.ª a 6.ª y 8.ª posición) |
Otras instalaciones técnicas de distribución – Telegestión identificados con el CINI «I29007X0 |
|---|---|
|
Posición 7.ª CINI |
|
|
1 |
Sistemas de captación de medidas. |
|
0 |
Otros. |
– Otras instalaciones técnicas de distribución – Sistemas de Comunicaciones identificados con el CINI «I2900210», que recogerán exclusivamente las inversiones específicas en dichos sistemas asociados a la digitalización de las redes.
– Otras instalaciones técnicas de distribución – Sistemas Técnicos de Gestión con el CINI «I2900310», que recogerán exclusivamente las inversiones específicas en dichos sistemas asociados a la digitalización de las redes.
– Despachos de maniobra y centros de control de energía de distribución amparados bajo el CINI «Digitalización de las Redes» – I236XXX0 donde las posiciones quinta a séptima pasarán a desglosarse según se expone en la tabla siguiente. Las inversiones asociadas de digitalización no podrán ser incluidas, a su vez dentro de las definidas en el Artículo 11 de la presente circular.
|
CINI (1.ª a 6.ª y 8.ª posición) |
Despachos de maniobra y centros de control de energía de distribución. Digitalización de las Redes. CINI I236XXX0 |
||||
|---|---|---|---|---|---|
|
Resto posiciones CINI |
|||||
|
5.ª |
Descripción |
6.ª |
Descripción |
7.ª |
Descripción |
|
1 |
Centralizados específicos digitalización redes. |
1 |
Sistemas de explotación de la red de distribución. |
1 |
AT/MT. |
|
2 |
BT. |
||||
|
2 |
Despacho de control de activos digitales. |
0 |
Posición no utilizada. |
||
|
3 |
Ciberseguridad. |
||||
|
4 |
Herramientas avanzadas de análisis de datos activos digitales. |
||||
|
2 |
Actuadores para digitalización de las redes. |
1 |
Redes de AT (A partir de 36 kV). |
0 |
Posición no utilizada. |
|
2 |
Redes de MT (Hasta 36 kV inclusive). |
||||
|
3 |
Redes de BT. |
||||
|
3 |
Equipos y sistemas de comunicaciones asociados al telecontrol específicos de la digitalización de las redes. |
1 |
Tecnologías sobre medio de transmisión guiado. |
0 |
Posición no utilizada. |
|
2 |
Tecnologías inalámbricas. |
1 |
Satélite. |
||
|
2 |
Radio. |
||||
|
4 |
Elementos de control energético de red específicos de la digitalización de las redes situados en puntos frontera. |
1 |
Frontera TTE-DIST. |
0 |
Posición no utilizada. |
|
2 |
Frontera DIST-DIST. |
||||
|
3 |
Frontera GEN-DIST. |
||||
La vida útil regulatoria de la instalación j, expresada en años, para las inversiones tipo 2 definidas en el artículo 9, tomará los valores que se refieren a continuación:
– Otras instalaciones técnicas de distribución – Sistemas inteligentes identificados con el CINI «Smart Grids» – I29000XX, donde las dos últimas posiciones se han definido anteriormente, con carácter general tendrán una vida útil regulatoria de 12 años.
– Otras instalaciones técnicas de distribución – Telegestión identificados con el CINI «I29007X0», donde la penúltima se han definido anteriormente, con carácter general tendrán una vida útil regulatoria de 15 años.
– Otras instalaciones técnicas de distribución – Sistemas de los Sistemas Técnicos de Gestión con el CINI «I2900310», con carácter general tendrán una vida útil regulatoria de 5 años.
– Despachos de maniobra y centros de control de energía de distribución amparados bajo el CINI «Digitalización de las Redes» – I236XXX0, donde las posiciones quinta a séptima se han definido anteriormente, con carácter general tendrán una vida útil regulatoria de 5 años.
Las vidas útiles regulatorias de los activos que se declaren en este tipo de inversiones serán las expuestas anteriormente, salvo que en la circular informativa prevista en el artículo 22 se disponga otro valor específicamente para este tipo de activos a declarar como inversiones tipo 2.
Agència Estatal Butlletí Oficial de l'Estat
Avda. de Manoteras, 54 - 28050 Madrid