Edukia ez dago euskaraz

Zu hemen zaude

Documento BOE-A-2000-2765

Orden de 4 de febrero de 2000 por la que se actualizan los anexos I y II del Real Decreto 2028/1986, de 6 de junio, sobre las normas para la aplicación de determinadas directivas de la CE, relativas a la homologación de tipo de vehículos automóviles, remolques, semirremolques, motocicletas, ciclomotores y vehículos agrícolas, así como de partes y piezas de dichos vehículos.

Publicado en:
«BOE» núm. 36, de 11 de febrero de 2000, páginas 6468 a 6488 (21 págs.)
Sección:
I. Disposiciones generales
Departamento:
Ministerio de Industria y Energía
Referencia:
BOE-A-2000-2765
Permalink ELI:
https://www.boe.es/eli/es/o/2000/02/04/(2)

TEXTO ORIGINAL

La disposición final primera del Real Decreto 2028/1986, de 6 de junio, sobre las normas para la aplicación de determinadas directivas de la CE, relativas a la homologación de tipo de vehículos automóviles, remolques, semirremolques, motocicletas, ciclomotores y vehículos agrícolas, así como de partes y piezas de dichos vehículos, faculta al Ministerio de Industria y Energía para modificar los anexos, a fin de adaptarlos a la evolución de la reglamentación de la homologación de vehículos y sus partes y piezas, así como para establecer las fechas a partir de las cuales serán de obligado cumplimiento las Directivas y Reglamentos que se aprueben sobre esta materia.

Mediante las Órdenes de 4 de febrero de 1988, 10 de abril y 24 de noviembre de 1989, 16 de julio de 1991, 24 de enero, 24 de julio, 29 de diciembre de 1992, 10 de junio, 15 de octubre de 1993, 22 de febrero de 1994, 9 de marzo de 1995, 24 de abril de 1996, 25 de abril, 9 de diciembre de 1997, 28 de julio de 1998, 17 de febrero y 14 de junio de 1999 se transpusieron las Directivas y Reglamentos CEPE/ONU aparecidos hasta la primera quincena del mes de mayo de 1999.

La publicación, desde la última fecha de modificación de los anexos, de doce nuevas Directivas de especial importancia sobre la seguridad vial y el medio ambiente aconseja el dictado de una nueva disposición modificando nuevamente estos anexos.

Directivas de nueva publicación:

La Directiva 1999/40/CE, de la Comisión, de 6 de mayo de 1999, adapta al progreso técnico la Directiva 79/622/CEE, relativa a los dispositivos de protección en caso de vuelco de los tractores agrícolas o forestales de ruedas.

La Directiva 1999/52/CE, de la Comisión, de 26 de mayo de 1999, adapta al progreso técnico la Directiva 96/96/CE, relativa a la inspección técnica de los vehículos a motor y sus remolques.

La Directiva 1999/55/CE, de la Comisión, de 1 de junio de 1999, adapta al progreso técnico la Directiva 77/536/CEE, relativa a los dispositivos de protección en caso de vuelco de los tractores agrícolas o forestales de ruedas.

La Directiva 1999/56/CEE, de la Comisión, de 3 de junio de 1999, adapta al progreso técnico la Directiva 78/933/CEE, relativa a la instalación de los dispositivos de alumbrado y señalización luminosa en los tractores agrícolas o forestales de ruedas.

La Directiva 1999/57/CE, de la Comisión, de 7 de junio de 1999, adapta al progreso técnico la Directiva 78/764/CEE, relativa al asiento del conductor en los tractores agrícolas o forestales de ruedas.

La Directiva 1999/58/CE, de la Comisión, de 7 de junio de 1999, adapta al progreso técnico la Directiva 79/533/CEE, relativa a los dispositivos de remolque y marcha atrás en los tractores agrícolas o forestales de ruedas.

La Directiva 1999/86/CE, del Consejo, de 11 de noviembre de 1999, adapta al progreso técnico la Directiva 76/763/CEE, relativa a los asientos de ocupantes de los tractores agrícolas o forestales de ruedas.

La Directiva 1999/98/CE, de la Comisión, de 15 de diciembre de 1999, adapta al progreso técnico la Directiva 96/79/CE, relativa a la protección de los ocupantes de los vehículos de motor en caso de colisión frontal.

La Directiva 1999/99/CE, de la Comisión, de 15 de diciembre de 1999, adapta al progreso técnico la Directiva 80/1269/CEE, relativa a la potencia de los motores de los vehículos de motor.

La Directiva 1999/100/CE, de la Comisión, de 15 de diciembre de 1999, adapta al progreso técnico la Directiva 80/1268/CEE, relativa a las emisiones de dióxido de carbono y al consumo de combustible de los vehículos de motor.

La Directiva 1999/101/CE, de la Comisión, de 15 de diciembre de 1999, adapta al progreso técnico la Directiva 70/157/CEE, relativa al nivel sonoro admisible y el dispositivo de escape de los vehículos de motor.

La Directiva 1999/102/CE, de la Comisión, de 15 de diciembre de 1999, adapta al progreso técnico la Directiva 70/220/CEE, relativa a las medidas contra la contaminación atmosférica causada por las emisiones de los vehículos de motor.

Asimismo, la Directiva 98/91/CE, del Parlamento Europeo y del Consejo, de 14 de diciembre de 1998, relativa a los vehículos a motor y sus remolques destinados al transporte de mercancías peligrosas por carretera, y por la que se modifica la 70/156/CEE, sobre homologación de los vehículos a motor y sus remolques, aun cuando no es de nueva publicación, se ha considerado que es el momento adecuado de incluirla en el anexo I del Real Decreto 2028/1986, en razón que regula la homologación de tipo de los vehículos destinados al transporte de mercancías peligrosas por carretera.

De otra parte, conviene consolidar todas las fechas de entrada en vigor de las reglamentaciones y que en la anterior versión aparecían con fechas futuras pero que en la actualidad ya han entrado en vigor o están muy próximas a hacerlo.

En su virtud, dispongo:

Primero.

Se modifican los anexos I y II del Real Decreto 2028/1986, de 6 de junio, que quedan redactados como se indica en el anexo de la presente Orden.

Segundo.

La presente Orden entrará en vigor el día siguiente al de su publicación en el «Boletín Oficial del Estado».

Lo que comunico a V. I. para su conocimiento y efectos.

Madrid, 4 de febrero de 2000.

PIQUÉ I CAMPS

Excmo. Sr. Secretario de Estado de Industria y Energía.

ANEXO I

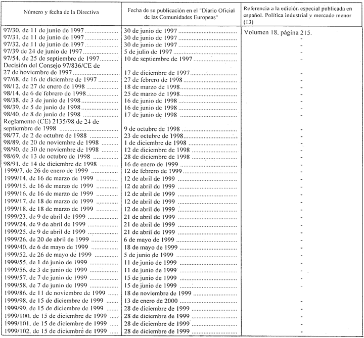
1. Vehículos automóviles y sus partes y piezas

Imagen: /datos/imagenes/disp/2000/36/02765_001.png

Imagen: /datos/imagenes/disp/2000/36/02765_002.png

Imagen: /datos/imagenes/disp/2000/36/02765_003.png

Imagen: /datos/imagenes/disp/2000/36/02765_004.png

Imagen: /datos/imagenes/disp/2000/36/02765_005.png

Imagen: /datos/imagenes/disp/2000/36/02765_006.png

Imagen: /datos/imagenes/disp/2000/36/02765_007.png

2. Tractores agrícolas

Imagen: /datos/imagenes/disp/2000/36/02765_008.png

Imagen: /datos/imagenes/disp/2000/36/02765_009.png

Imagen: /datos/imagenes/disp/2000/36/02765_010.png

Imagen: /datos/imagenes/disp/2000/36/02765_011.png

3. Vehículos de 2 ó 3 ruedas y cuadriciclos

Imagen: /datos/imagenes/disp/2000/36/02765_012.png

Imagen: /datos/imagenes/disp/2000/36/02765_013.png

4. Varios

Imagen: /datos/imagenes/disp/2000/36/02765_014.png

Imagen: /datos/imagenes/disp/2000/36/02765_015.png

Imagen: /datos/imagenes/disp/2000/36/02765_016.png

ANEXO II

Imagen: /datos/imagenes/disp/2000/36/02765_017.png

Imagen: /datos/imagenes/disp/2000/36/02765_018.png

Imagen: /datos/imagenes/disp/2000/36/02765_019.png

Imagen: /datos/imagenes/disp/2000/36/02765_020.png

Imagen: /datos/imagenes/disp/2000/36/02765_021.png

ANÁLISIS

  • Rango: Orden
  • Fecha de disposición: 04/02/2000
  • Fecha de publicación: 11/02/2000
  • Fecha de entrada en vigor: 12/02/2000
Referencias anteriores
Materias
  • Ciclomotores
  • Componentes de vehículos
  • Contaminación acústica
  • Contaminación atmosférica
  • Maquinaria agrícola
  • Motocicletas
  • Remolques
  • Vehículos de motor

subir

Estatuko Aldizkari Ofiziala Estatu Agentzia

Manoteras Etorb., 54 - 28050 Madril