Contingut no disponible en valencià

Us trobeu en

Documento BOE-A-2009-10329

Orden ITC/1660/2009, de 22 de junio, por la que se establece la metodología de cálculo de la tarifa de último recurso de gas natural.Ver texto consolidado

Publicado en:
«BOE» núm. 151, de 23 de junio de 2009, páginas 52280 a 52287 (8 págs.)
Sección:
I. Disposiciones generales
Departamento:
Ministerio de Industria, Turismo y Comercio
Referencia:
BOE-A-2009-10329
Permalink ELI:
https://www.boe.es/eli/es/o/2009/06/22/itc1660

TEXTO ORIGINAL

La Ley 12/2007, de 2 de julio, por la que se modifica la Ley 34/1998, de 7 de octubre, del Sector de Hidrocarburos, con el fin de adaptarla a lo dispuesto en la Directiva 2003/55/CE del Parlamento Europeo y del Consejo, de 26 de junio de 2003, sobre normas comunes para el mercado interior del gas natural, modificó el artículo 93 de la referida Ley del sector de hidrocarburos, definiendo la tarifa de último recurso.

El Acuerdo del Consejo de Ministros de 3 de abril de 2009, mediante el que se modifica el calendario previsto inicialmente en la disposición transitoria quinta de la Ley 12/2007, de 2 de julio, por la que se modifica la Ley 34/1998, de 7 de octubre, del Sector de Hidrocarburos, con el fin de adaptarla a lo dispuesto en la Directiva 2003/55/CE del Parlamento Europeo y del Consejo, de 26 de junio de 2003, sobre normas comunes para el mercado interior del gas natural, establece que a partir del 1 de julio de 2009 tendrán derecho al suministro de último recurso los consumidores conectados a presiones inferiores a 4 bar, con consumos anuales no superiores a 50.000 kWh/año.

Por su parte, el Real Decreto-ley 6/2009, de 30 de abril, por el que se adoptan medidas en el sector energético y se aprueba el bono social, designa, en su disposición adicional segunda a las empresas comercializadoras que debían asumir la obligación de suministro de último recurso en el territorio peninsular y Baleares.

En desarrollo de la Ley del sector de hidrocarburos, el Real Decreto 949/2001, de 3 de agosto, por el que se regula el acceso de terceros a las instalaciones gasistas y se establece un sistema económico integrado del sector de gas natural, establece en su artículo 25.1 que el Ministro, mediante orden y previo Acuerdo de la Comisión Delegada del Gobierno para Asuntos Económicos, dictará las disposiciones necesarias para el establecimiento de las tarifas de venta de gas natural. Asimismo, este artículo dispone que en dichas órdenes se establecerán los valores concretos de las tarifas y precios o un sistema de determinación y actualización de los mismos.

En cumplimiento de lo anterior, el Ministro de Industria Turismo y Comercio dictó la Orden ITC/2857/2008, de 10 de octubre, por la que se establece la tarifa del suministro de último recurso de gas natural, donde se determina la forma de cálculo de dicha tarifa a partir del 12 de octubre de 2008, la cual debía adaptarse conforme se desarrollara el procedimiento de subasta para la determinación del coste del gas natural considerado. Asimismo, dispone en sus artículos 4 y 5 las condiciones generales aplicables al suministro y las unidades de facturación y medida.

La presente orden establece la forma de cálculo de la tarifa de último recurso, incorporando los resultados del referido procedimiento de subasta, junto con referencias internacionales indicativas del coste de aprovisionamiento de gas natural.

La Ley 34/1998, de 7 de octubre, dispone el régimen transitorio de los gases manufacturados en territorios insulares, de manera que hasta la finalización y puesta en marcha de las instalaciones que permitan el suministro de gas natural las empresas distribuidoras podrán efectuar el suministro de gases manufacturados. La presente orden determina las tarifas aplicables al suministro de gases manufacturados en territorios insulares hasta la llegada del gas natural, en aplicación de lo dispuesto en el artículo 25.1 del Real Decreto 949/2001, de 3 de agosto.

Se ha evacuado el trámite de audiencia a través del Consejo Consultivo de Hidrocarburos, cuyas observaciones y comentarios, de acuerdo con lo establecido en el 5.5 del Real Decreto 1339/1999, de 31 de julio, por el que se aprueba el Reglamento de la Comisión Nacional de Energía, se han tomado en consideración para la elaboración del correspondiente informe de dicha Comisión, elaborado de conformidad con la disposición adicional undécima, apartado tercero, 1, funciones segunda y cuarta de la Ley 34/1998, de 7 de octubre.

Mediante acuerdo de 18 de junio de 2009, la Comisión Delegada del Gobierno para Asuntos Económicos ha autorizado al Ministro de Industria, Turismo y Comercio a dictar la presente orden.

En su virtud, previo Acuerdo de la Comisión Delegada del Gobierno para Asuntos Económicos, dispongo:

CAPÍTULO I
Disposiciones Generales
Artículo 1. Objeto.

Constituye el objeto de esta orden la determinación de la metodología para el cálculo de la tarifa de último recurso.

Artículo 2. Ámbito de aplicación.

La presente orden será de aplicación al suministro de gas natural que realicen los comercializadores de último recurso a los consumidores que cumplan los requisitos establecidos en la disposición transitoria quinta de la Ley 12/2007, de 2 de julio, por la que se modifica la Ley 34/1998, de 7 de octubre, del sector de hidrocarburos, con el fin de adaptarla a lo dispuesto en la Directiva 2003/55/CE del Parlamento Europeo y del Consejo, de 26 de junio de 2003, sobre normas comunes para el mercado interior del gas natural.

CAPÍTULO II
Definición y estructura de las tarifas de último recurso
Artículo 3. Tarifas de último recurso.

Serán de aplicación las siguientes tarifas de último recurso en función de los consumos anuales:

a) TUR.1, aplicable a los consumidores con consumo anual igual o inferior a 5.000 kWh.

b) TUR.2, aplicable a los consumidores con consumo superior a 5.000 kWh e inferior o igual a 50.000 kwh.

Artículo 4. Estructura general de las tarifas de último recurso.

1. Las tarifas de último recurso se componen de un término de facturación fijo, expresado en €/mes, y un término de facturación variable por unidad de energía, expresado en cts/kWh.

2. Las tarifas de último recurso se determinarán sin incluir los impuestos, recargos y gravámenes sobre el consumo y suministro, ni tampoco los alquileres de equipos de medida, los derechos de acometida, derechos de alta, ni aquellos otros servicios cuya repercusión sobre el usuario esté autorizada por la normativa vigente.

CAPÍTULO III
Procedimiento de cálculo de las tarifas de último recurso
Artículo 5. Determinación de la tarifa de último recurso.

1. De acuerdo con lo establecido en el artículo 93.4 de la Ley 34/1998, de 7 de octubre, y el artículo 26.2 del Real Decreto 949/2001, de 3 de agosto, por el que se regula el acceso de terceros a las instalaciones gasistas y se establece un sistema económico integrado del gas natural, el sistema de cálculo de la tarifa de último recurso incluirá de forma aditiva el coste de la materia prima, los peajes de acceso en vigor, los costes de comercialización y los costes derivados de la seguridad de suministro.

2. El término fijo de la tarifa se determinará como la suma de los costes que corresponden al término fijo del término de conducción del peaje de transporte y distribución (Tfi), al término de reserva de capacidad (Tfe), al término fijo del peaje de regasificación (Tfr) y al coste fijo de comercialización.

3. El término variable de la tarifa se determinará como la suma de los costes que corresponden al término variable del término de conducción del peaje de transporte y distribución (Tvi), al término variable del peaje de regasificación (Tvr), al valor medio del peaje de descarga de buques, al coste medio del canon de almacenamiento subterráneo, al coste medio del canon de almacenamiento de GNL, al coste variable de comercialización, y al coste de la materia prima, que incluirá el coste asociado a las mermas y al riesgo de cantidad.

Artículo 6. Metodología de cálculo de los peajes y cánones imputados.

1. El coste correspondiente al peaje de regasificación se determinará de acuerdo a las siguientes fórmulas:

a) Término fijo del peaje de regasificación, expresado en €/mes:

Imagen: /datos/imagenes/disp/2009/151/10329_001.png

b) Término variable del peaje de regasificación, expresado en cts/kWh:

Imagen: /datos/imagenes/disp/2009/151/10329_002.png

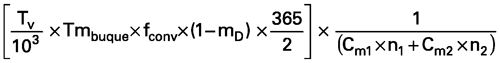
2. El coste medio de descarga de buques, expresado en cts/kWh:

Imagen: /datos/imagenes/disp/2009/151/10329_003.png

3. El coste medio de almacenamiento:

a) Coste de almacenamiento subterráneo, expresado en cts/kWh:

Imagen: /datos/imagenes/disp/2009/151/10329_004.png

b) Coste medio de almacenamiento de GNL, expresado en cts/kWh:

Imagen: /datos/imagenes/disp/2009/151/10329_005.png

4. El coste que corresponde al término de reserva de capacidad del peaje de transporte y distribución, expresado en €/mes, se calculará de acuerdo a la siguiente fórmula:

Imagen: /datos/imagenes/disp/2009/151/10329_006.png

5. A continuación se definen los parámetros empleados en los apartados anteriores:

Tfr y Tvr : términos fijo y variable del peaje de regasificación en vigor, expresados en cts/kWh/día/mes y cts/kWh, respectivamente.

Tfe: término de reserva de capacidad, expresado en cts/kWh/día/mes.

Tfd: término fijo de descarga de buques, planta de Cartagena, expresado en €/buque.

Tvd: término variable de descarga de buques, expresado en cts/kWh.

Tmbuque: tamaño medio de buque, expresado en m3, que será igual a 111.799 m3.

Tf, Tvi, Tve: término fijo, término de inyección y el término de extracción, respectivamente, del canon de almacenamiento subterráneo, expresados en cts/kWh/mes, cts/kWh y cts/kWh.

Tv: canon de almacenamiento de GNL, expresado en cts/MWh/día.

Cmi: consumo anual medio por cliente de cada tarifa, expresado en kWh. Será de 2.507 kWh para el escalón TUR.1 y de 10.256 kWh para el escalón TUR.2.

fc: factor de carga, con un valor de 0,36.

mT, mD, mA, mR: mermas de transporte, distribución, almacenamiento subterráneo y regasificación en vigor, expresadas en tanto por uno.

% GNL: porcentaje de aprovisionamientos en forma de GNL, expresado en tanto por uno, con un valor de 0,72.

fconv: factor de conversión de m3 de GNL a kWh, que será de 6.779 kWh/m3.

EMAX : emisión máxima diaria de los almacenamientos subterráneos, expresada en kWh, con un valor de 6 GWh/día para la TUR.1 y de 25 GWh/día para la TUR.2.

n: número de consumidores, con un valor de 3.491.298 para la TUR.1 y de 3.518.322 para la TUR.2.

GNd: cantidad diaria de gas abastecida mediante gas natural en estado gaseoso, con un valor de 6.800 MWh para la TUR.1 y de 28.028 MWh para la TUR.2.

Artículo 7. Costes de comercialización.

1. El término fijo del coste de comercialización se establece en 1,42 €/mes, tanto para los clientes en la tarifa TUR.1 como en la TUR.2.

2. El coste de comercialización variable se establece en 0,083 cts/kWh, tanto para los consumos de la tarifa TUR.1 como para los de la tarifa TUR.2.

Artículo 8. Determinación del coste de la materia prima.

El coste de la materia prima Cn se calculará de acuerdo con la siguiente fórmula:

Imagen: /datos/imagenes/disp/2009/151/10329_007.png

Donde:

α: ponderación del coste de aprovisionamiento de gas de invierno, en relación al total de gas de invierno y gas de base, que se establece igual a 0,4.

βSI: ponderación del precio del gas de invierno resultante de la subasta. Su valor es de 0,3.

βSB: ponderación del precio del gas de base resultante de la subasta. Su valor es de 0,3.

Pin y Pbn: son los precios de los productos de gas de invierno y gas de base definidos en la Resolución de la Secretaría de Estado de Energía, de 19 de mayo de 2009, por la que se establecen las reglas operativas para el desarrollo de la subasta para la adquisición de gas natural para la fijación de la tarifa de último recurso para el periodo comprendido entre el 1 de julio de 2009 y el 30 de junio de 2010. Estas referencias de precio se sustituirán por los precios que resulten de posteriores subastas que se realicen en aplicación de la Orden ITC/863/2009, de 2 de abril, por la que se regulan las subastas para la adquisición de gas natural que se utilizarán como referencia para la fijación de la tarifa de último recurso. En el caso de que alguno de los precios anteriores incluya una fórmula de revisión en la que intervengan promedios de cotizaciones de crudo o productos derivados o de divisas, esta se calculará considerando, para el mes anterior a la entrada en vigor, exclusivamente las cotizaciones publicadas hasta el día 20 del mes, inclusive.

An y Bn: son los peajes hasta el AOC, que están implícitos en los precios Pin y Pbn. Sus valores se determinarán de acuerdo con las fórmulas establecidas en la Resolución de la Secretaría de Estado de Energía, de 19 de mayo de 2009, utilizando los valores absolutos de los distintos términos de los peajes en vigor, en lugar de sus incrementos. Estos peajes implícitos en los precios de los productos subastados se sustituirán por los que correspondan a los productos de posteriores subastas, que se realicen en aplicación de la Orden ITC/863/2009, de 2 de abril.

RIn: precio de referencia, expresado en cent€/kWh, para aprovisionamientos de gas de invierno que se determina a partir de la siguiente fórmula:

RIn = 0,5 × HHn + 0,5 × NBPn

Donde:

HHn: media de las cotizaciones del Henry Hub para entregas en los doce meses siguientes al inicio del trimestre «n», publicadas por el Nymex (New York Mercantile Exchange). Se tomarán las cotizaciones de cierre desde el día 6 al día 20 del mes anterior al trimestre «n», ponderadas de acuerdo con la fórmula que se indica a continuación. Las cotizaciones de cada uno de los días se convertirán de dólares por millón de BTU, a cent€/kWh utilizando el tipo de diario, o el del último día disponible, publicado por el Banco Central Europeo, y un factor de conversión de 293,07 kWh/MBtu:

Imagen: /datos/imagenes/disp/2009/151/10329_008.png

Donde:

k: son 12 meses a partir del primer mes del trimestre «n» de referencia.

HHk: es la cotización del futuro con entrega en el mes k. En caso de que no exista se tomará la del último mes disponible.

λk: es el factor de ponderación del mes k.

 

enero

febrero

marzo

abril a octubre

noviembre

diciembre

λk

0,2727

0,2727

0,1092

0

0,0727

0,02727

NBPn: media de las cotizaciones del National Balancing Point (NBP) del Reino Unido para entregas en los doce meses siguientes al inicio del trimestre «n», publicadas por el Intercontinental Exchange (ICE) «UK Natural Gas (monthly)». Se tomarán las cotizaciones de cierre desde el día 6 al día 20 del mes anterior al trimestre «n», ponderadas de acuerdo con la fórmula que se indica a continuación. Las cotizaciones de cada uno de los días se convertirán de pence/therm a cent€/kWh utilizando el tipo de cambio diario, o el del último día disponible, publicado por el Banco Central Europeo, y un factor de conversión de 29,307 kWh/therm.

Imagen: /datos/imagenes/disp/2009/151/10329_009.png

Donde:

k y λk: son los parámetros definidos en el apartado anterior.

NBPk: es la cotización del futuro con entrega en el mes k. En caso de que no exista se tomará la del último mes disponible.

RBn: precio de referencia, expresado en cts€/kWh, para el aprovisionamiento de gas de base que se determina a partir de la siguiente fórmula:

Imagen: /datos/imagenes/disp/2009/151/10329_010.png

Brentn: media semestral expresada en $/barril de las cotizaciones del crudo Brent en el semestre anterior al trimestre de referencia «n». Para su cálculo se utilizarán las medias mensuales expresadas en $/Bbl y publicadas en el «Platts Oilgram Price Report» o en el «Platts nPLCrude». En ausencia de valores mensuales publicados, se tomará la media diaria de las cotizaciones baja y alta del «Brent Dated» publicada diariamente en el «Platts POM» o «nPLCRUDE». Para el último mes se tomarán las cotizaciones correspondientes a los días 1 a 20 inclusive.

En: cambio medio $/€ en el trimestre anterior al del mes de cálculo, calculado a partir de las cotizaciones diarias dólar/euro publicadas por el Banco de España o el Banco Central Europeo. Para el último mes del periodo se considerarán exclusivamente las cotizaciones del día 1 al 20 inclusive.

MERM: el coeficiente de mermas se determinará de acuerdo con la siguiente fórmula, en la que se utilizan parámetros definidos en el artículo anterior:

MERM = mD + mT + mR × % GNL

PRQ: prima por riesgo de cantidad, calculada de acuerdo con lo establecido en el artículo 9.

Artículo 9. Prima por riesgo de cantidad.

La prima por riesgo de cantidad (PRQ) refleja el sobrecoste que para los comercializadores de último recurso supone la existencia de una correlación positiva entre el volumen real de gas natural que tienen obligación de suministrar y el precio de la energía en el mercado.

Se define por la fórmula:

PQR = M × ID × IP

Donde:

M: porcentaje de demanda a suministrar mediante un producto estacional, en relación con la demanda total, igual al 0,4.

ID: porcentaje de incremento no predecible de la demanda invernal, igual a 0,3.

IP: porcentaje de incremento de precio asociado al incremento de demanda no predecible, igual a 0,3.

Artículo 10. Actualización de los términos de la tarifa.

1. Los términos fijos y variables de las tarifas se actualizarán en el momento en que se produzca alguna modificación en los términos fijos y variables de los peajes y cánones de acceso al sistema o en los coeficientes de mermas en vigor.

Asimismo, el término variable se actualizará con carácter trimestral, desde el día 1 de los meses de enero, abril, julio y octubre de cada año, siempre que el coste de la materia prima Cn, de acuerdo al valor obtenido de la aplicación de la fórmula del artículo 8, experimente una variación al alza o a la baja superior al 2 por ciento.

2. Las revisiones se realizarán mediante resolución de la Dirección General de Política Energética y Minas. Las condiciones generales aplicables al suministro, así como las unidades de facturación y medida, son las establecidas en los artículos 4 y 5 de la Orden ITC/2857/2008, de 10 de octubre.

Disposición adicional única. Tarifas de gases manufacturados por canalización en territorios insulares.

1. Las tarifas a aplicar por las empresas distribuidoras de gases manufacturados por canalización en territorios insulares son las definidas en el artículo 27 del Real Decreto 949/2001, de 3 de agosto. Para consumos inferiores o iguales a 5.000 kWh/año la tarifa T.1 a aplicar será igual a la TUR.1, mientras que para consumos superiores a 5.000 kWh/año e inferiores o iguales a 50.000 kWh/año la tarifa T.2 a aplicar será idéntica a la TUR.2.

2. Para consumos superiores a 50.000 kWh/año e inferiores o iguales a 100.000 kWh/año se aplicará la tarifa T.3, y para consumos superiores a 100.000 kWh/año se aplicará la tarifa T.4. Dichas tarifas se determinarán por parte de la Dirección General de Política Energética y Minas, de acuerdo con la metodología establecida en la presente orden con las siguientes particularidades:

Como término de conducción del peaje de transporte y distribución se considerarán los valores correspondientes a los escalones 3.3 y 3.4.

Cmi : 57.935 y 501.000 kWh/cliente para las tarifas T.3 y T.4, respectivamente.

ni : 21.400 y 41.101 para las tarifas T.3 y T.4, respectivamente, aplicable para calcular el término fijo del peaje de regasificación y el término de reserva de capacidad del peaje de transporte y distribución.

EMAX y GNd tendrán los valores de 858.976 kWh/día y 8.327.795 kWh, respectivamente, para la tarifa T.3 mientras que en el caso de la tarifa T.4 los valores a aplicar serán de 14.266.470 kWh/día y 15.994.425 kWh.

3. La empresa distribuidora responsable del suministro de gas manufacturado remitirá a los clientes a los que vaya a comenzar a suministrar gas natural la carta que se indica en el anexo de la presente orden, con una antelación mínima de dos meses respecto al momento en que sea efectivo el suministro de gas natural en una determinada zona.

Disposición transitoria única. Modificación del calendario de aplicación del suministro de último recurso.

Desde el 1 de julio, en caso de que un consumidor con consumo anual superior a 50.000 kWh/año e inferior a 3 GWh/año no haya negociado con un comercializador un precio de suministro, se le aplicará el precio que se indica en la siguiente tabla:

Consumo superior a 50.000 kWh/año e inferior o igual a 100.000 kWh/año:

 

2009

2010

12 julio al 30

de septiembre

del 1 de octubre

al 31 de diciembre

del 1 de enero al 31 de marzo

T. Fijo

€/Cliente/mes

46,14

48,44

50,87

T. Variable

cts/kWh

3,721758

3,907845

4,103238

Consumo superior a 100.000 kWh/año e inferior a 3 GWh/año:

 

2009

2010

12 julio al 30

de septiembre

del 1 de octubre

al 31 de diciembre

del 1 de enero al 31 de marzo

T. Fijo

€/Cliente/mes

68,79

72,22

75,84

T. Variable

cts/kWh

3,447925

3,620321

3,801337

Disposición derogatoria única. Derogación normativa.

Quedan derogadas cuantas disposiciones de igual o inferior rango se opongan a lo establecido en esta orden.

Disposición final única. Entrada en vigor.

La presente orden entrará en vigor el día siguiente al de su publicación en el «Boletín Oficial del Estado».

Madrid, 22 de junio de 2009.–El Ministro de Industria, Turismo y Comercio, Miguel Sebastián Gascón.

ANEXO
Carta a remitir a los consumidores de gas manufacturado o gas natural en las Islas Baleares

Estimado cliente,

Una vez que se inicie el suministro de gas natural en su zona de distribución y como consecuencia de la aplicación de la normativa europea, las empresas distribuidoras debemos proceder a transferir nuestra cartera de clientes a una empresa comercializadora de gas natural, quien será a partir de ahora su suministrador de gas.

El cambio de suministrador en ningún caso tendrá un coste adicional para usted, ni modificará las condiciones de calidad de las que ha disfrutado hasta ahora.

Usted tiene derecho a elegir la empresa comercializadora de gas que desee que le suministre. Adicionalmente, de todas las anteriores, le indicamos a continuación las empresas comercializadoras que tienen la obligación de suministrarle a un precio establecido por el Ministerio de Industria, Turismo y Comercio, a las que podrá dirigirse para solicitar información:

 

Teléfono

Página web

Endesa Energia, S.A.

902 502 040

www.endesaonline.com

Gas Natural Servicios SDG, S.A.

900 700 365

www.gasnatural.com

Iberdrola, S.A

901 202 020

www.iberdrola.es

Naturgas Energía Comercializadora, S.A.U.

902 860 860

www.naturgasenergia.com

Union Fenosa Comercial, S.L.

901 380 220

www.unionfenosa.es

Si usted no ha procedido a contratar con alguna comercializadora, el día en que se inicie el suministro de gas natural su suministro será automáticamente asumido por nuestra empresa comercializadora. En este caso, le comunicamos que sus datos personales serán transferidos a esta empresa con el fin de que pueda continuar con el servicio, tal y como veníamos ofreciéndoselo hasta ahora desde nuestra empresa de distribución.

A partir de ese momento, la empresa comercializadora será responsable de enviarle las facturas y gestionar los cobros por el suministro de gas natural. Por su parte, la empresa distribuidora seguirá a cargo de la lectura de contadores y de los servicios de emergencia 24 horas.

A la espera de ofrecerle el mejor servicio.

Reciba un cordial saludo.

Fdo.: ………………………………………

(Nombre de la empresa distribuidora)

NOTA: El listado que aparece en la tabla anterior se actualizará en función de los cambios que se produzcan.

ANÁLISIS

  • Rango: Orden
  • Fecha de disposición: 22/06/2009
  • Fecha de publicación: 23/06/2009
  • Fecha de entrada en vigor: 24/06/2009
Referencias posteriores

Criterio de ordenación:

  • SE AÑADE, con efectos desde el 1 de octubre de 2024, el art. 12, por Orden TED/1013/2024, de 20 de septiembre (Ref. BOE-A-2024-19173).
  • SE MODIFICA:
    • el art. 6.3 y 7, por Real Decreto-ley 6/2022, de 29 de marzo (Ref. BOE-A-2022-4972).
    • los arts. 5 a 7 y disposición adicional única, por Orden TED/1022/2021, de 27 de septiembre (Ref. BOE-A-2021-15776).
  • SE CORRIGEN errores de la Orden TED/902/2020, de 25 de septiembre, por Orden TED/65/2021, de 11 de enero (Ref. BOE-A-2021-1270).
  • SE MODIFICA, con los efectos señalados en la disposición transitoria única, los arts. 3, 5, 6 y 10 y SE SUPRIME el 11, por Orden TED/902/2020, de 25 de septiembre (Ref. BOE-A-2020-11358).
  • SE SUSPENDE:
    • la vigencia del art. 10 y la disposición adicional única.2, en la redacción dada por el Real Decreto-ley 8/2020, de 17 de marzo,, por Real Decreto-ley 11/2020, de 31 de marzo (Ref. BOE-A-2020-4208).
    • en la forma y con los efectos indicados la vigencia del art. 10 y la disposición adicional única.2, por Real Decreto-ley 8/2020, de 17 de marzo (Ref. BOE-A-2020-3824).
  • SE MODIFICA:
    • el art. 8, por Orden TEC/1368/2018, de 20 de diciembre (Ref. BOE-A-2018-17608).
    • los arts. 6.3, 8 y 9, por Orden IET/2736/2015, de 17 de diciembre (Ref. BOE-A-2015-13783).
    • los arts. 8, 10, SE AÑADE el art. 11 y SE ACTUALIZA lo indicado, por Orden IET/2812/2012, de 27 de diciembre (Ref. BOE-A-2012-15767).
    • lo indicado del art. 8, por Orden ITC/3354/2010, de 28 de diciembre (Ref. BOE-A-2010-20003).
    • los arts. 5, 6.3.a) y b) y 8 a 10, por Orden ITC/1506/2010, de 8 de junio (Ref. BOE-A-2010-9236).
Referencias anteriores
Materias
  • Carburantes y combustibles
  • Consumidores y usuarios
  • Gas
  • Precios
  • Suministro de energía
  • Tarifas

subir

Agència Estatal Butlletí Oficial de l'Estat

Avda. de Manoteras, 54 - 28050 Madrid