Contingut no disponible en català

Us trobeu en

Documento BOE-A-2008-21012

Real Decreto 2003/2008, de 5 de diciembre, sobre traspaso a la Comunidad Autónoma del Principado de Asturias de las funciones y servicios de la Administración General del Estado en materia de provisión de medios personales y económicos para el funcionamiento de la Administración de Justicia.

Publicado en:
«BOE» núm. 315, de 31 de diciembre de 2008, páginas 52704 a 52744 (41 págs.)
Sección:
I. Disposiciones generales
Departamento:
Ministerio de Administraciones Públicas
Referencia:
BOE-A-2008-21012
Permalink ELI:
https://www.boe.es/eli/es/rd/2008/12/05/2003

TEXTO ORIGINAL

La Constitución Española establece, en el artículo 149.1.5.ª, que el Estado tiene competencia exclusiva en materia de Administración de Justicia.

Por su parte, el Estatuto de Autonomía del Principado de Asturias, aprobado por Ley Orgánica 7/1981, de 30 de diciembre, y modificado por las Leyes Orgánicas 3/1991, de 13 de marzo, 1/1994, de 24 de marzo, y 1/1999, de 5 de enero, recoge, en su artículo 41.1, que en relación a la Administración de Justicia, exceptuada la militar, corresponde al Principado ejercer todas las facultades que la Ley Orgánica del Poder Judicial reconozca o atribuya al Gobierno del Estado.

Además, la Ley Orgánica 6/1985, de 1 de julio, del Poder Judicial, modificada por la Ley Orgánica 19/2003, de 23 de diciembre, delimita los ámbitos competenciales de las Administraciones, Ministerio de Justicia u órganos competentes de las Comunidades Autónomas, implicadas en la dotación de medios personales y materiales al servicio del Poder Judicial.

Mediante Real Decreto 966/2006, de 1 de septiembre, fueron traspasados a la Comunidad Autónoma del Principado de Asturias las funciones y servicios de la Administración del Estado en materia de provisión de medios materiales y económicos para el funcionamiento de la Administración de Justicia.

A su vez, la disposición transitoria cuarta del Estatuto de Autonomía del Principado de Asturias y el Real Decreto 1707/1982, de 24 de julio, regulan el funcionamiento de la Comisión Mixta de Transferencias, así como la forma y condiciones a que han de ajustarse los traspasos de funciones y servicios de la Administración General del Estado a dicha comunidad autónoma.

De conformidad con todo lo anterior, la Comisión Mixta de Transferencias Administración del Estado-Comunidad Autónoma del Principado de Asturias adoptó, en su reunión del día 20 de noviembre de 2008, el Acuerdo sobre traspaso a la Comunidad Autónoma del Principado de Asturias de las funciones y servicios de la Administración General del Estado en materia de provisión de medios personales y económicos para el funcionamiento de la Administración de Justicia, que eleva al Gobierno para su aprobación mediante real decreto.

En su virtud, en cumplimiento de lo dispuesto en la mencionada disposición transitoria cuarta del Estatuto de Autonomía del Principado de Asturias, a propuesta de la Ministra de Administraciones Públicas, y previa deliberación del Consejo de Ministros en su reunión del día 5 de diciembre de 2008,

DISPONGO:

Artículo 1.

Se aprueba el Acuerdo de la Comisión Mixta prevista en la disposición transitoria cuarta del Estatuto de Autonomía del Principado de Asturias, por el que se traspasa a la Comunidad Autónoma del Principado de Asturias las funciones y servicios de la Administración General del Estado en materia de provisión de medios personales y económicos para el funcionamiento de la Administración de Justicia adoptado por el Pleno de dicha Comisión en su sesión del día 20 de noviembre de 2008, y que se transcribe como anexo de este real decreto.

Artículo 2.

En consecuencia, se traspasan a la Comunidad Autónoma del Principado de Asturias las funciones y servicios que se relacionan en el referido acuerdo de la Comisión Mixta, en los términos y condiciones allí especificados, así como los medios personales y créditos presupuestarios correspondientes en los términos que resultan del propio acuerdo y de las relaciones anexas.

Artículo 3.

El traspaso a que se refiere este real decreto tendrá efectividad a partir del día señalado en el acuerdo de la Comisión Mixta.

Artículo 4.

Los créditos presupuestarios que se determinan, de conformidad con la relación número 2 del anexo, serán dados de baja en los correspondientes conceptos presupuestarios y transferidos por el Ministerio de Economía y Hacienda a los conceptos habilitados en la sección 32 de los Presupuestos Generales del Estado, destinados a financiar el coste de los servicios asumidos por las comunidades autónomas, una vez se remitan al departamento citado, por parte del Ministerio de Justicia, los certificados de retención de crédito, para dar cumplimiento a lo dispuesto en la normativa vigente sobre Presupuestos Generales del Estado.

Disposición final única. Entrada en vigor.

El presente real decreto entrará en vigor el día siguiente al de su publicación en el «Boletín Oficial del Estado».

Dado en Madrid, el 5 de diciembre de 2008.

JUAN CARLOS R.

La Ministra de Administraciones Públicas,

ELENA SALGADO MÉNDEZ

ANEXO

Doña Carmen Cuesta Gil y don Luis Abelardo Álvarez García, Secretarios de la Comisión Mixta prevista en la disposición transitoria cuarta del Estatuto de Autonomía del Principado de Asturias,

CERTIFICAN:

Que en el pleno de la Comisión Mixta, celebrado el día 20 de noviembre de 2008, se adoptó un Acuerdo sobre traspaso a la Comunidad Autónoma del Principado de Asturias de las funciones y servicios de la Administración General del Estado en materia de provisión de medios personales y económicos para el funcionamiento de la Administración de Justicia, en los términos que a continuación se expresan:

A) Normas constitucionales, estatutarias y legales en que se ampara el traspaso

La Constitución Española establece, en el artículo 149.1.5.ª, que el Estado tiene competencia exclusiva en materia de Administración de Justicia.

Por su parte, el Estatuto de Autonomía del Principado de Asturias, aprobado por Ley Orgánica 7/1981, de 30 de diciembre y modificado por las Leyes Orgánicas 3/1991, de 13 de marzo, 1/1994, de 24 de marzo, y 1/1999, de 5 de enero, recoge, en su artículo 41.1, que en relación a la Administración de Justicia, exceptuada la militar, corresponde al Principado ejercer todas las facultades que la Ley Orgánica del Poder Judicial reconozca o atribuya al Gobierno del Estado.

Además, la Ley Orgánica 6/1985, de 1 de julio, del Poder Judicial, modificada por la Ley Orgánica 19/2003, de 23 de diciembre, delimita los ámbitos competenciales de las Administraciones, Ministerio de Justicia u órganos competentes de las Comunidades Autónomas, implicadas en la dotación de medios personales y materiales al servicio del Poder Judicial.

Mediante Real Decreto 966/2006, de 1 de septiembre, fueron traspasados a la Comunidad Autónoma del Principado de Asturias las funciones y servicios de la Administración del Estado en materia de provisión de medios materiales y económicos para el funcionamiento de la Administración de Justicia.

Finalmente, la disposición transitoria cuarta del Estatuto de Autonomía del Principado de Asturias y el Real Decreto 1707/1982, de 24 de julio, regulan el funcionamiento de la Comisión Mixta de Transferencias, así como la forma y condiciones a que han de ajustarse los traspasos de funciones y servicios de la Administración General del Estado a dicha comunidad autónoma.

Sobre las bases de estas previsiones constitucionales y estatutarias, procede efectuar el traspaso a la Comunidad Autónoma del Principado de Asturias de funciones y servicios en materia de provisión de medios personales y económicos para el funcionamiento de la Administración de Justicia.

B) Funciones y servicios de la Administración General del Estado que asume la Comunidad Autónoma del Principado de Asturias

1. Se traspasan a la Comunidad Autónoma del Principado de Asturias las funciones y servicios que, en el ámbito del territorio de la Comunidad Autónoma, desempeña la Administración General del Estado para la provisión de los medios personales y económicos necesarios para el funcionamiento de la Administración de Justicia, incluidos los Juzgados de Paz. En particular, estas funciones comprenden, entre otras, las siguientes actividades:

a) La gestión del personal al servicio de la Administración de Justicia en los términos establecidos en el Reglamento de Ingreso, Provisión de Puestos de Trabajo y Promoción Profesional del Personal Funcionario al Servicio de la Administración de Justicia, aprobado por Real Decreto 1451/2005, de 7 de diciembre, y demás disposiciones aplicables.

b) La revisión y aprobación de las Agrupaciones de las Secretarías de Juzgados de Paz, la fijación de su plantilla y la adscripción, en su caso, de funcionarios de los cuerpos a que se refiere el párrafo a), a los juzgados de poblaciones de más de 7.000 habitantes o que por las necesidades de trabajo se considere justificado.

c) Para el adecuado ejercicio de las competencias de ambas Administraciones Públicas, la Comunidad Autónoma del Principado de Asturias grabará en el Sistema Informático de Personal del Registro Central de Personal del Ministerio de Justicia, los actos administrativos regulados en el artículo 5 de la Orden de 25 de abril de 1996, por la que se aprueban las normas reguladoras del Registro Central de Personal al servicio de la Administración de Justicia y el programa para su implantación, de acuerdo con el procedimiento establecido en el artículo 6.º de la citada Orden ministerial.

Correrán en cualquier caso a cargo de la Comunidad Autónoma del Principado de Asturias todas las indemnizaciones por razón de servicio originadas como consecuencia de servicios prestados dentro del territorio de la Comunidad Autónoma.

2. La Administración General del Estado, a través del Ministerio de Justicia, continuará con la gestión del personal del Cuerpo de Secretarios Judiciales y aquel otro personal en activo de los Cuerpos al servicio de la Administración de Justicia que está actualmente prestando sus servicios en el territorio de la Comunidad Autónoma del Principado de Asturias y no esté incluido en la relación adjunta número 1 de este acuerdo. No obstante, la Comunidad Autónoma del Principado de Asturias, respecto de los Secretarios Judiciales, podrá llevar a cabo las actuaciones previstas en el Real Decreto 1608/2005, de 30 de diciembre, por el que se aprueba el Reglamento Orgánico del Cuerpo de Secretarios Judiciales.

C) Personal que se traspasa y puestos de trabajo adscritos a los servicios que se transfieren

1. Se traspasan a la Comunidad Autónoma del Principado de Asturias el personal funcionario al servicio de la Administración de Justicia que se referencia nominalmente en la relación número 1, así como los puestos de trabajo vacantes dotados presupuestariamente que figuran en la mencionada relación. El personal traspasado pasará a depender de la Comunidad Autónoma del Principado de Asturias en los términos legalmente previstos, por el Estatuto de Autonomía y las demás normas que en cada caso resulten aplicables, y en las condiciones que figuren en sus expedientes de personal.

2. Se asumirán por la Comunidad Autónoma del Principado de Asturias los ceses y las incorporaciones de personal que puedan producirse una vez finalizados los procesos de concurso de traslados iniciados con anterioridad a la firma del Acuerdo sobre traspaso de funciones. La incorporación de personal funcionario se producirá, en todo caso, en puestos previamente incluidos en el presente traspaso, sin que ello lleve consigo modificación del coste efectivo establecido en el presente Acuerdo.

3. Por la Subsecretaría de Justicia y por la Dirección General de Relaciones con la Administración de Justicia, se notificará a los interesados el traspaso y su nueva situación administrativa tan pronto el Gobierno apruebe el presente Acuerdo por Real Decreto. Asimismo, se remitirá a los órganos competentes de la Comunidad Autónoma del Principado de Asturias los expedientes de este personal, así como de los certificados de haberes referidos a las cantidades devengadas por los mismos.

4. En el supuesto de que fuese necesario introducir correcciones o adecuaciones en las referidas relaciones de personal, las mismas se llevarán a cabo mediante certificación expedida por la Secretaría de la Comisión Mixta de Transferencias.

D) Valoración de las cargas financieras de las funciones y medios traspasados

1. La valoración provisional en el año base 1999 que corresponde al coste efectivo anual de los medios que se traspasan a la Comunidad Autónoma del Principado de Asturias se eleva a 18.596.605,36 euros. Dicha valoración será objeto de revisión en los términos establecidos en el artículo 16.1 de la Ley 21/2001, de 27 de diciembre, de Medidas fiscales y administrativas del nuevo sistema de financiación de las Comunidades Autónomas de régimen común y ciudades con Estatuto de Autonomía.

2. La financiación, en euros de 2008, que corresponde al coste efectivo anual es la que se recoge en la relación número 2.

3. En consideración a las necesidades de financiación de inversión para la adecuación de infraestructuras de la Administración de Justicia en la Comunidad Autónoma del Principado de Asturias, en edificios, sedes de órganos judiciales y tecnologías de la información, con carácter adicional a la valoración del coste efectivo anual establecida anteriormente y sin integrarse en el mismo, se le transferirá a la Comunidad Autónoma la cantidad total de 8.000.000 de euros. Los términos, plazos y condiciones de esta transferencia se establecerán mediante acuerdo complementario de la Comisión Mixta.

4. Transitoriamente, hasta tanto se produzca la revisión del fondo de suficiencia como consecuencia de la incorporación al mismo del coste efectivo de este traspaso, este coste se financiará mediante la consolidación de la Sección 32 de los Presupuestos Generales del Estado, de los créditos relativos a los distintos componentes de dicho coste, por los importes que se determinen, susceptibles de actualización por los mecanismos generales previstos en cada Ley de Presupuestos.

E) Fecha de efectividad del traspaso

El traspaso de funciones y servicios objeto de este Acuerdo tendrá efectividad a partir del día 1 de enero de 2009.

Y para que conste, expedimos la presente certificación en Madrid a 20 de noviembre de 2008.‒Los Secretarios de la Comisión Mixta. Fdo.: Carmen Cuesta Gil y Luis Abelardo Álvarez García.

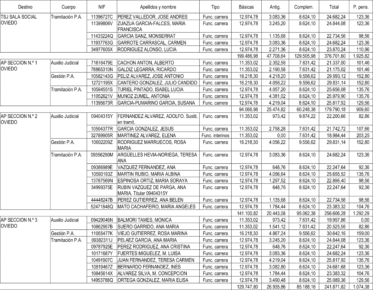
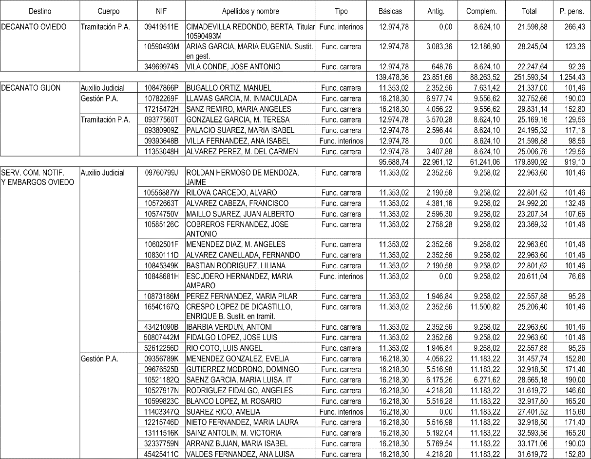
RELACIÓN NÚMERO 1

Personal funcionario al servicio de la Administración de Justicia que se traspasa a la Comunidad Autónoma del Principado de Asturias

Imagen: /datos/imagenes/disp/2008/315/21012_5457011_image2.png

Imagen: /datos/imagenes/disp/2008/315/21012_5457011_image3.png

Imagen: /datos/imagenes/disp/2008/315/21012_5457011_image4.png

Imagen: /datos/imagenes/disp/2008/315/21012_5457011_image5.png

Imagen: /datos/imagenes/disp/2008/315/21012_5457011_image6.png

Imagen: /datos/imagenes/disp/2008/315/21012_5457011_image7.png

Imagen: /datos/imagenes/disp/2008/315/21012_5457011_image8.png

Imagen: /datos/imagenes/disp/2008/315/21012_5457011_image9.png

Imagen: /datos/imagenes/disp/2008/315/21012_5457011_image10.png

Imagen: /datos/imagenes/disp/2008/315/21012_5457011_image11.png

Imagen: /datos/imagenes/disp/2008/315/21012_5457011_image12.png

Imagen: /datos/imagenes/disp/2008/315/21012_5457011_image13.png

Imagen: /datos/imagenes/disp/2008/315/21012_5457011_image14.png

Imagen: /datos/imagenes/disp/2008/315/21012_5457011_image15.png

Imagen: /datos/imagenes/disp/2008/315/21012_5457011_image16.png

Imagen: /datos/imagenes/disp/2008/315/21012_5457011_image17.png

Imagen: /datos/imagenes/disp/2008/315/21012_5457011_image18.png

Imagen: /datos/imagenes/disp/2008/315/21012_5457011_image19.png

Imagen: /datos/imagenes/disp/2008/315/21012_5457011_image20.png

Imagen: /datos/imagenes/disp/2008/315/21012_5457011_image21.png

Imagen: /datos/imagenes/disp/2008/315/21012_5457011_image22.png

Imagen: /datos/imagenes/disp/2008/315/21012_5457011_image23.png

Imagen: /datos/imagenes/disp/2008/315/21012_5457011_image24.png

Imagen: /datos/imagenes/disp/2008/315/21012_5457011_image25.png

Imagen: /datos/imagenes/disp/2008/315/21012_5457011_image26.png

Imagen: /datos/imagenes/disp/2008/315/21012_5457011_image27.png

Imagen: /datos/imagenes/disp/2008/315/21012_5457011_image28.png

Imagen: /datos/imagenes/disp/2008/315/21012_5457011_image29.png

Imagen: /datos/imagenes/disp/2008/315/21012_5457011_image30.png

Imagen: /datos/imagenes/disp/2008/315/21012_5457011_image31.png

Imagen: /datos/imagenes/disp/2008/315/21012_5457011_image32.png

Imagen: /datos/imagenes/disp/2008/315/21012_5457011_image33.png

Imagen: /datos/imagenes/disp/2008/315/21012_5457011_image34.png

Imagen: /datos/imagenes/disp/2008/315/21012_5457011_image35.png

Imagen: /datos/imagenes/disp/2008/315/21012_5457011_image36.png

Imagen: /datos/imagenes/disp/2008/315/21012_5457011_image37.png

Imagen: /datos/imagenes/disp/2008/315/21012_5457011_image38.png

RELACIÓN NÚMERO 2

Coste efectivo del traspaso de funciones y servicios de la Administración del Estado a la Comunidad Autónoma del Principado de Asturias en materia de provisión de medios personales y económicos para el funcionamiento de la Administración de Justicia

Imagen: /datos/imagenes/disp/2008/315/21012_5457011_image39.png

ANÁLISIS

  • Rango: Real Decreto
  • Fecha de disposición: 05/12/2008
  • Fecha de publicación: 31/12/2008
  • Fecha de entrada en vigor: 01/01/2009
  • Efectividad del traspaso desde el 1 de enero de 2009.
Referencias anteriores
  • DE CONFORMIDAD con:
    • Real Decreto 1707/1982, de 24 de julio (Ref. BOE-A-1982-19295).
    • art. 41.1 del Estatuto aprobado por Ley Orgánica 7/1981, de 30 de diciembre (Ref. BOE-A-1982-634).
Materias
  • Administración de Justicia
  • Asturias
  • Comunidades Autónomas

subir

Agència Estatal Butlletí Oficial de l'Estat

Avda. de Manoteras, 54 - 28050 Madrid