Contingut no disponible en valencià

Us trobeu en

Documento BOE-A-2007-22538

Real Decreto 1702/2007, de 14 de diciembre, de traspaso de funciones y servicios de la Administración del Estado a la Comunidad Autónoma de Aragón en materia de provisión de medios personales, materiales y económicos para el funcionamiento de la Administración de Justicia.

Publicado en:
«BOE» núm. 313, de 31 de diciembre de 2007, páginas 53999 a 54032 (34 págs.)
Sección:
I. Disposiciones generales
Departamento:
Ministerio de Administraciones Públicas
Referencia:
BOE-A-2007-22538
Permalink ELI:
https://www.boe.es/eli/es/rd/2007/12/14/1702

TEXTO ORIGINAL

La Constitución española establece en su artículo 149.1.5.ª que el Estado tiene competencia exclusiva en materia de Administración de Justicia.

Por su parte, el Estatuto de Autonomía de Aragón, reformado por la Ley Orgánica 5/2007, de 20 de abril, recoge, en su artículo 67, que corresponde a la Comunidad Autónoma de Aragón la competencia sobre todo el personal al servicio de la Administración de Justicia que no integre el Poder Judicial, de acuerdo con lo dispuesto en la Ley Orgánica del Poder Judicial. También corresponde a la Comunidad Autónoma la competencia sobre los medios materiales de la Administración de Justicia en Aragón, así como la organización, la dotación y la gestión de las oficinas judiciales y de los órganos y servicios de apoyo a los órganos jurisdiccionales. La Comunidad Autónoma podrá, de acuerdo con el Estado, participar en la gestión de cuentas de depósitos y las consignaciones judiciales y de sus rendimientos. Asimismo, establece que corresponde a la Comunidad Autónoma la ordenación y organización de los servicios de justicia gratuita y orientación jurídica gratuita.

Además, la Ley Orgánica 6/1985, de 1 de julio, del Poder Judicial, modificada por la Ley Orgánica 19/2003, de 23 de diciembre, delimita los ámbitos competenciales de las Administraciones, Ministerio de Justicia u órganos competentes de las comunidades autónomas, implicadas en la dotación de medios personales y materiales al servicio del Poder Judicial.

Finalmente, la disposición transitoria segunda del Estatuto de Autonomía de Aragón y el Real Decreto 3991/1982, de 29 de diciembre, regulan la forma y condiciones a que han de ajustarse los traspasos de funciones y servicios del Estado a la Comunidad Autónoma de Aragón.

En consecuencia, procede traspasar a la Comunidad Autónoma de Aragón las funciones y servicios del Estado relativas a la provisión, dentro del territorio de la misma, de los medios personales, materiales y económicos necesarios para el funcionamiento de la Administración de Justicia.

La Comisión Mixta prevista en la disposición transitoria segunda del Estatuto de Autonomía de Aragón, en orden a proceder al referido traspaso, adoptó al respecto el oportuno Acuerdo, en su sesión del Pleno celebrado el día 21 de noviembre de 2007.

En su virtud, y en cumplimiento de lo dispuesto en la mencionada disposición transitoria segunda del Estatuto de Autonomía de Aragón, a propuesta de la Ministra de Administraciones Públicas y previa deliberación del Consejo de Ministros en su reunión del día 14 de diciembre de 2007,

DISPONGO:

Artículo 1.

Se aprueba el Acuerdo de la Comisión Mixta de Transferencias prevista en la disposición transitoria segunda del Estatuto de Autonomía de Aragón sobre traspaso de funciones y servicios de la Administración del Estado a la Comunidad Autónoma de Aragón en materia de provisión de medios personales, materiales y económicos para el funcionamiento de la Administración de Justicia, adoptado por el Pleno de dicha Comisión en su sesión del día 21 de noviembre de 2007, que se transcribe como anexo de este real decreto.

Artículo 2.

En consecuencia, quedan traspasadas a la Comunidad Autónoma de Aragón las funciones que se mencionan en el referido Acuerdo de la Comisión Mixta en los términos y con las condiciones allí especificados, relativas a la provisión de medios personales, materiales y económicos para el funcionamiento de la Administración de Justicia en el territorio de dicha Comunidad Autónoma, así como los medios correspondientes que resultan del texto del acuerdo y relaciones anexas.

Artículo 3.

Los traspasos a que se refiere este real decreto tendrán efectividad a partir del día señalado en el acuerdo de la mencionada Comisión Mixta, sin perjuicio de que el Ministerio de Justicia produzca hasta entonces, en su caso, los actos administrativos necesarios para el mantenimiento de los servicios en el mismo régimen y nivel de funcionamiento que tuvieran en el momento de la adopción del acuerdo.

Artículo 4.

Los créditos presupuestarios que se determinen, de conformidad con la relación número 3 del anexo, serán dados de baja en los conceptos de origen y transferidos por el Ministerio de Economía y Hacienda a los conceptos habilitados en la Sección 32 de los Presupuestos Generales del Estado destinados a financiar el coste de los servicios asumidos por las comunidades autónomas, una vez se remitan al Departamento citado por parte de la Oficina Presupuestaria del Ministerio de Justicia los certificados de retención de crédito, para dar cumplimiento a lo dispuesto en la normativa vigente sobre Presupuestos Generales del Estado.

Disposición final única. Entrada en vigor.

El presente real decreto entrará en vigor el día siguiente al de su publicación en el «Boletín Oficial del Estado».

Dado en Madrid, el 14 de diciembre de 2007.

JUAN CARLOS R.

La Ministra de Administraciones Públicas,

ELENA SALGADO MÉNDEZ

ANEXO

Doña Carmen Montero García-Noblejas y don Pablo Octavio Garfella Martínez, Secretarios de la Comisión Mixta prevista en la disposición transitoria segunda del Estatuto de Autonomía de Aragón,

CERTIFICAN:

Que en el Pleno de la Comisión Mixta, celebrado el día 21 de noviembre de 2007, se adoptó un Acuerdo sobre traspaso a la Comunidad Autónoma de Aragón de las funciones de la Administración General del Estado en materia de provisión de medios personales, materiales y económicos para el funcionamiento de la Administración de Justicia, en los términos que a continuación se expresan:

A) Normas constitucionales y estatutarias en que se ampara el traspaso.

La Constitución española establece, en el artículo 149.1.5.ª que el Estado tiene competencia exclusiva en materia de Administración de Justicia.

Por su parte, el Estatuto de Autonomía de Aragón, reformado por Ley Orgánica 5/2007, de 20 de abril, recoge, en su artículo 67, que corresponde a la Comunidad Autónoma de Aragón la competencia sobre todo el personal al servicio de la Administración de Justicia que no integre el Poder Judicial, de acuerdo con lo dispuesto en la Ley Orgánica del Poder Judicial. También corresponde a la Comunidad Autónoma la competencia sobre los medios materiales de la Administración de Justicia en Aragón, así como la organización, la dotación y la gestión de las oficinas judiciales y de los órganos y servicios de apoyo a los órganos jurisdiccionales. La Comunidad Autónoma podrá, de acuerdo con el Estado, participar en la gestión de cuentas de depósitos y las consignaciones judiciales y de sus rendimientos. Asimismo, establece que corresponde a la Comunidad Autónoma la ordenación y organización de los servicios de justicia gratuita y orientación jurídica gratuita.

Además, la Ley Orgánica 6/1985, de 1 de julio, del Poder Judicial, modificada por la Ley Orgánica 19/2003, de 23 de diciembre, delimita los ámbitos competenciales de las Administraciones, Ministerio de Justicia u órganos competentes de las Comunidades Autónomas, implicadas en la dotación de medios personales y materiales al servicio del Poder Judicial.

Finalmente, la disposición transitoria segunda del Estatuto de Autonomía de Aragón regula la forma y condiciones a que han de ajustarse los traspasos de funciones y servicios del Estado a la Comunidad Autónoma de Aragón, lo que está previsto en el Real Decreto 3991/1982, de 29 de diciembre.

B) Funciones y servicios de la Administración General del Estado que asume la Comunidad Autónoma de Aragón.

1. Se traspasan a la Comunidad Autónoma de Aragón las funciones y servicios que, en el ámbito del territorio de la Comunidad Autónoma, desempeña la Administración General del Estado para la provisión de los medios personales, materiales y económicos necesarios para el funcionamiento de la Administración de Justicia, incluidos los Juzgados de Paz.

1.1 En relación a los medios personales, estas funciones comprenden, entre otras, las siguientes actividades:

a) El personal al servicio de la Administración de Justicia en los términos establecidos en el Reglamento de Ingreso, Provisión de Puestos de Trabajo y Promoción Profesional del Personal Funcionario al Servicio de la Administración de Justicia, aprobado por Real Decreto 1451/2005, de 7 de diciembre, y demás disposiciones aplicables.

b) La revisión y aprobación de las Agrupaciones de las Secretarías de Juzgados de Paz, la fijación de su plantilla y la adscripción, en su caso, de funcionarios de los cuerpos a que se refiere el párrafo a), a los juzgados de poblaciones de más de 7.000 habitantes o que por las necesidades de trabajo se considere justificado.

c) Para el adecuado ejercicio de las competencias de ambas Administraciones Públicas, la Comunidad Autónoma de Aragón grabará en el Sistema Informático de Personal del Registro Central de Personal del Ministerio de Justicia, los actos administrativos regulados en el artículo 5 de la Orden de 25 de abril de 1996, por la que se aprueban las normas reguladoras del Registro Central de Personal al servicio de la Administración de Justicia y el programa para su implantación, de acuerdo con el procedimiento establecido en el artículo 6.º de la citada Orden Ministerial.

1.2 En relación a los medios materiales y económicos, estas funciones comprenden, entre otras, las siguientes actividades:

a) La planificación, programación, control administrativo y provisión de los medios materiales previstos para la actuación de los Tribunales de Justicia, de las Fiscalías y del Instituto de Medicina Legal en la Comunidad Autónoma de Aragón.

b) La adquisición y gestión de patrimonio mobiliario, inmobiliario y enseres para los órganos judiciales con sede en la Comunidad Autónoma de Aragón.

c) La preparación, elaboración y ejecución de los programas de construcción, reparación y conservación de los edificios judiciales y su inspección en la Comunidad Autónoma de Aragón.

d) La instalación y puesta en funcionamiento de órganos judiciales de nueva creación con sede en la Comunidad Autónoma de Aragón.

e) El reconocimiento del derecho a la asistencia jurídica gratuita y la gestión de las indemnizaciones, en su caso, de las actuaciones correspondientes a la defensa por Abogado y representación por Procurador de los Tribunales en turno de oficio ante los órganos judiciales con competencia en la Comunidad Autónoma de Aragón y a la asistencia letrada al detenido o preso cuando el lugar de custodia esté situado en el territorio de la Comunidad Autónoma de Aragón.

f) La asistencia psicológica especializada en las oficinas de Asistencia a las Víctimas.

g) El examen, comprobación y pago de las cuentas de gastos de funcionamiento, indemnización en razón de salidas de oficio, autopsias y diligencias judiciales y las correspondientes a testigos y peritos ante los Tribunales de Justicia con sede en la Comunidad Autónoma de Aragón.

Correrán en cualquier caso a cargo de la Comunidad Autónoma de Aragón todas las indemnizaciones por razón de servicio originadas como consecuencia de servicios prestados dentro del territorio de la Comunidad Autónoma.

2. Permanecerán en la Administración General del Estado y seguirán siendo desempeñadas por el Ministerio de Justicia:

a) La Administración General del Estado continuará con la gestión del personal del Cuerpo de Secretarios Judiciales y aquel otro personal en activo de los Cuerpos al servicio de la Administración de Justicia que está actualmente prestando sus servicios en el territorio de la Comunidad de Aragón y no esté incluido en la relación adjunta número 2 de este Real Decreto. No obstante, la Comunidad de Aragón, respecto de los Secretarios Judiciales, podrá llevar a cabo las actuaciones previstas en el Real Decreto 1608/2005, de 30 de diciembre, por el que se aprueba el Reglamento Orgánico del Cuerpo de Secretarios Judiciales.

b) Las funciones de provisión de medios materiales y económicos para el funcionamiento de los órganos judiciales y del Ministerio Fiscal con competencia en todo el territorio nacional.

c) La creación de nuevos órganos judiciales con sede en la Comunidad Autónoma de Aragón.

d) Las funciones de suministro de material normalizado con destino a los Registros Civiles.

e) Las funciones que desempeña el Instituto Nacional de Toxicología y Ciencias Forenses.

f) Las funciones relativas a la responsabilidad patrimonial por error judicial y como consecuencia del funcionamiento anormal de la Administración de Justicia.

g) El reconocimiento del derecho a la asistencia jurídica gratuita y la gestión de las indemnizaciones, en su caso, por las actuaciones correspondientes a la defensa por Abogado y representación por Procurador en los Tribunales en turno de oficio, ante los órganos judiciales con competencia en todo el territorio nacional.

h) La gestión de las inversiones en infraestructuras en la Comunidad Autónoma de Aragón que estén en curso en la fecha de efectividad de los traspasos.

3. Ambas Administraciones establecerán los necesarios instrumentos de colaboración para:

a) La promoción y utilización de bienes informáticos

destinados a los servicios administrativos propios de Juzgados, Tribunales y Fiscalías, asegurando la compatibilidad de los que se empleen en la Comunidad Autónoma de Aragón con los que se implanten en todo el territorio del Estado, en los términos previstos en la Ley Orgánica del Poder Judicial.

b) Asegurar la compatibilidad en las comunicaciones telemáticas con los Órganos Centrales, Audiencia Nacional y Tribunal Supremo, de acuerdo con la legislación en materia de firma electrónica.

c) La provisión por el Estado de los medios materiales y económicos para el desempeño de las funciones del Servicio Jurídico del Estado, la Comunidad Autónoma de Aragón asegurará que, en las sedes de los Tribunales y Juzgados con competencia en dicha Comunidad, se reserven las instalaciones adecuadas para las correspondientes dependencias del Servicio Jurídico del Estado.

C) Bienes, derechos y obligaciones que se traspasan.

1. Se traspasan los bienes, derechos y obligaciones afectos al ejercicio de las funciones que asume la Comunidad Autónoma de Aragón. En la relación adjunta 1.1 se identifican los inmuebles objeto de traspaso, con indicación de la situación jurídica en la que se subroga la Comunidad Autónoma en virtud del traspaso. Dicha subrogación se producirá, en cualquier caso, respecto de la situación de los locales donde se encuentren ubicados todos los Juzgados de Paz de Aragón.

2. En el plazo máximo de tres meses desde la efectividad de este traspaso, se firmarán las correspondientes actas de entrega y recepción de mobiliario, equipo y material inventariable, así como de la documentación y expedientes en tramitación relativos a las funciones traspasadas.

D) Personal que se traspasa y puestos de trabajo adscritos a los servicios que se transfieren.

1. Se traspasan a la Comunidad Autónoma de Aragón el personal funcionario y laboral al servicio de la Administración de Justicia que se referencia nominalmente en las relaciones adjuntas 2.1 y 2.2, que pasarán a depender de la Comunidad Autónoma de Aragón en los términos legalmente previstos, por el Estatuto de Autonomía y las demás normas que en cada caso resulten aplicables, y en las condiciones que figuren en sus expedientes de personal.

2. Se asumirán por la Comunidad Autónoma de Aragón los ceses y las incorporaciones de personal funcionario o laboral que puedan producirse una vez finalizados los procesos de concurso de traslados o procesos selectivos derivados de oferta de empleo público iniciados con anterioridad a la firma del Acuerdo sobre traspaso de funciones. La incorporación de personal funcionario o laboral se producirá, en todo caso, en puestos previamente incluidos en el presente traspaso, sin que ello lleve consigo modificación del coste efectivo establecido en el presente Acuerdo.

3. Se traspasa a la Comunidad Autónoma de Aragón el personal de la Gerencia Territorial de Justicia en Aragón, así como los puestos de trabajo vacantes, dotados presupuestariamente, que se referencian nominalmente en las relaciones adjuntas número 2.3 y 2.4.

4. Por la Subsecretaría de Justicia y por la Dirección General de Relaciones con la Administración de Justicia, se notificará a los interesados el traspaso y su nueva situación administrativa tan pronto el Gobierno apruebe el presente Acuerdo por real decreto. Asimismo, se remitirá a los órganos competentes de la Comunidad Autónoma de Aragón los expedientes de este personal, así como de los certificados de haberes referidos a las cantidades devengadas por los mismos.

5. En el supuesto de que fuese necesario introducir correcciones o adecuaciones en las referidas relaciones de personal, las mismas se llevarán a cabo mediante certificación expedida por la Secretaría de la Comisión Mixta de Transferencias.

E) Valoración de las cargas financieras de las funciones y medios traspasados.

1. La valoración provisional en el año base 1999 que corresponde al coste efectivo anual de los medios que se traspasan a la Comunidad Autónoma de Aragón se eleva a 29.750.971,55 euros. Dicha valoración será objeto de revisión en los términos establecidos en el artículo 16.1 de la Ley 21/2001, de 27 de diciembre, de Medidas fiscales y administrativas del nuevo sistema de financiación de las Comunidades Autónomas de régimen común y ciudades con Estatuto de Autonomía.

2. La financiación, en euros de 2007, que corresponde al coste efectivo anual es la que se recoge en la relación número 3.

3. En consideración a las necesidades de inversión en las infraestructuras, edificios, sedes de órganos judiciales y tecnologías de la información de la Administración de Justicia en la Comunidad Autónoma de Aragón, con carácter adicional a la valoración del coste efectivo anual establecida anteriormente y sin integrarse en el mismo, se le transferirá a la Comunidad Autónoma la cantidad total de 6.000.000 euros mediante entrega por una sola vez. Los términos, plazos y condiciones de esta transferencia se establecerán mediante acuerdo complementario de la Comisión Mixta.

4. Transitoriamente, hasta tanto se produzca la revisión del fondo de suficiencia como consecuencia de la incorporación al mismo del coste efectivo de este traspaso, este coste se financiará mediante la consolidación en la Sección 32 de los Presupuestos Generales del Estado, de los créditos relativos a los distintos componentes de dicho coste, por los importes que se determinen, susceptibles de actualización por los mecanismos generales previstos en cada Ley de Presupuestos.

F) Fecha de efectividad del traspaso.

1. El traspaso de funciones y servicios con sus medios objeto de este Acuerdo tendrá efectividad a partir del día 1 de enero de 2008.

2. Transitoriamente, mediante acuerdo complementario de la Comisión Mixta se acordará la colaboración del Ministerio de Justicia hasta el 30 de junio de 2008, prorrogable por acuerdo de ambas Administraciones, en la gestión de las funciones y servicios traspasados con el fin de garantizar que se desarrollen en el mismo régimen de funcionamiento existente en el momento actual.

Y para que conste, expedimos la presente certificación en Madrid, a 21 de noviembre de 2007.–Los Secretarios de la Comisión Mixta, Carmen Montero García-Noblejas y Pablo Octavio Garfella Martínez.

RELACIÓN N.º 1: BIENES, DERECHOS Y OBLIGACIONES QUE SE TRASPASAN A LA COMUNIDAD AUTÓNOMA DE ARAGÓN

1.1 Bienes inmuebles

Localidad Dirección Superficie construida m2 Órganos o servicios Situación
Provincia de Huesca
Barbastro C/ Fernando el Católico, 3 1.162,90

Juzgados Primera Instancia e Instrucción Único

Registro Civil

Clínica Médico Forense

Afectado
Boltaña C/ Luis Fatás, 22 882,00 Juzgado Primera Instancia e Instrucción n.º 1 Afectado
Fraga Unidad de Actuación H-8 Partida de Secano. 2.000,00 Solar Afectado
Fraga Avda. Reyes Católicos, 23 407,00

Juzgado de Primera Instancia e Instrucción Único

Registro Civil

Cesión de uso
Huesca C/ Moya, 4 2.350,00

Audiencia Provincial

Decanato

Fiscalía Audiencia Provincial

Fiscalía Menores

J. Cont.–Admvo. n.º 1

Oficina Asistencia a Víctimas

Afectado
Huesca C/ Coso Alto, 18 1.870,00

Clínica Médico Forense

Registro Civil

Juzgado de los Social n.º 1

Juzgado Primera Instancia e Instrucción n.º 1 a 3

Juzgado de lo Penal n.º 1

Servicio de Notificaciones y Embargos

Afectado
Huesca C/ Santo Grial, 2, planta 4.ª 216,00 Juzgado de Menores Arrendado
Jaca P. Ferial, s/n –Polígono Uasu Sanllure 1.856,57

Clínica Médico Forense

Registro Civil

Juzgado Primera Instancia e Instrucción n.º 1 y 2 Fiscalía.

Afectado
Monzón C/ Barón de Eroles, 26 1.361,02 Juzgado Primera Instancia e Instrucción n.º 1 y 2 Afectado
Provincia de Teruel
Alcañiz C/ Padre Nicolás Sancho, 4 1.233,00

Clínica Médico Forense

Registro Civil

Juzgado Primera Instancia e Instrucción n.º 1 y 2 Fiscalía

Afectado
Calamocha Avda. de Valencia, s/n 316,84

Clínica Médico Forense

Registro Civil

Juzgado Primera Instancia e Instrucción Fiscalía

Afectación en trámite
Teruel Plaza San Juan, 6 3.282,00

Audiencia Provincial

Fiscalía

Clínica Médico Forense

Registro Civil

Juzgado Cont.–Admvo. n.º 1

Juzgado Primera Instancia e Instrucción n.º 1 y 2

Juzgado de lo Penal n.º 1

Servicio de Notificaciones y Embargos

Oficina Asistencia a Víctimas

Afectado
Provincia de Zaragoza
Calatayud Avda. San Juan el Real, 6 2.000,00

Clínica Médico Forense

Registro Civil

Juzgado Primera Instancia e Instrucción n.º 1 y 2 Fiscalía

Afectado
Caspe Avda. Chiprana, s/n 1.590,00 Edificio en construcción Afectado
Daroca Plaza La Colegial, 1 414,00 Juzgado Primera Instancia e Instrucción único Precario
Ejea de los Caballeros C/ Independencia, 23 2.060,00

Registro Civil

Juzgado Primera Instancia e Instrucción n.º 1 y 2

Afectado

La Almunia de Doña

Godina

C/ Goya, 6 972,00 Juzgado Primera Instancia e Instrucción n.º 1 y 2 Afectado
Tarazona Avda. de la Paz, s/n 929,00 Juzgado Primera Instancia e Instrucción único Afectado
Zaragoza C/ Coso, 1

5.798,00

Conjuntamente con este inmueble se traspasan los derechos que corresponden a la parcela como consecuencia del planeamiento urbanístico

Tribunal Superior de Justicia

Audiencia Provincial Fiscalía T.S.J.

Afectado
Zaragoza C/ Lagasca, 5 500,00 Juzgado de Menores n.º 1 Fiscalía de Menores Afectado
Zaragoza C/ Convertidos, s/n –1.º 508,71 Juzgados de Vigilancia Penitenciaria n.º 1 y 2 Afectado
Zaragoza C/ Nuevo Parque, 5 (Barrio San Gregorio) 2.700,00 Instituto de Medicina Legal Afectado
Zaragoza Plaza del Pilar, 7 –5.º D, F 179,50 Sección de Apoyo Informático Afectado
Zaragoza C/ Alfonso I, 17-plantas sótano, baja, 1.ª, 2.ª y 3.ª 3.015,00

Registro Civil

Juzgados de lo Social (7)

Arrendado
Zaragoza C/ Coso, 34; plantas 1 a 5 1.444,40 Juzgados de lo Cont.–Admvo (4) Juzgado Mercantil Arrendado

En el supuesto de que resulte necesario introducir correcciones o adecuaciones en la identificación de los inmuebles que son objeto de este traspaso, las mismas se llevarán a cabo mediante certificación expedida por la Secretaría de la Comisión Mixta de Transferencias.

1.2 Vehículos

Marca Modelo Matrícula Fecha alta
CITROEN XANTIA 2.0 I PME-0134-T 28/12/1995
CITROEN XANTIA 2.0 I PME-0135-T 28/12/1995
RENAULT MEGANE PME-0008-T 08/02/2001
RENAULT MEGANE PME-0009-T 13/02/2002
RENAULT MEGANE SEDANE PME-0039-T 25/05/2006
RENAULT MEGANE SEDANE PME-0040-T 25/05/2006
RENAULT MEGANE SEDANE PME-0052-T 20/09/2007

RELACIÓN N.º 2: PERSONAL

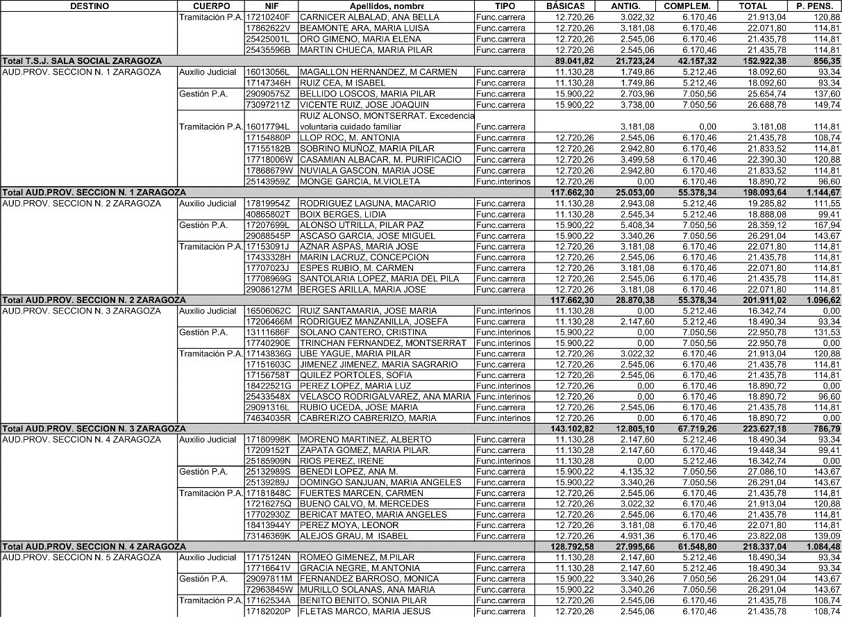
2.1 Personal funcionario de la Administración de Justicia que se traspasa a la Comunidad Autónoma de Aragón

Imagen: /datos/imagenes/disp/2007/313/22538_5464508_image2.png

Imagen: /datos/imagenes/disp/2007/313/22538_5464508_image3.png

Imagen: /datos/imagenes/disp/2007/313/22538_5464508_image4.png

Imagen: /datos/imagenes/disp/2007/313/22538_5464508_image5.png

Imagen: /datos/imagenes/disp/2007/313/22538_5464508_image6.png

Imagen: /datos/imagenes/disp/2007/313/22538_5464508_image7.png

Imagen: /datos/imagenes/disp/2007/313/22538_5464508_image8.png

Imagen: /datos/imagenes/disp/2007/313/22538_5464508_image9.png

Imagen: /datos/imagenes/disp/2007/313/22538_5464508_image10.png

Imagen: /datos/imagenes/disp/2007/313/22538_5464508_image11.png

Imagen: /datos/imagenes/disp/2007/313/22538_5464508_image12.png

Imagen: /datos/imagenes/disp/2007/313/22538_5464508_image13.png

Imagen: /datos/imagenes/disp/2007/313/22538_5464508_image14.png

Imagen: /datos/imagenes/disp/2007/313/22538_5464508_image15.png

Imagen: /datos/imagenes/disp/2007/313/22538_5464508_image16.png

Imagen: /datos/imagenes/disp/2007/313/22538_5464508_image17.png

Imagen: /datos/imagenes/disp/2007/313/22538_5464508_image18.png

Imagen: /datos/imagenes/disp/2007/313/22538_5464508_image19.png

Imagen: /datos/imagenes/disp/2007/313/22538_5464508_image20.png

Imagen: /datos/imagenes/disp/2007/313/22538_5464508_image21.png

Imagen: /datos/imagenes/disp/2007/313/22538_5464508_image22.png

Imagen: /datos/imagenes/disp/2007/313/22538_5464508_image23.png

Imagen: /datos/imagenes/disp/2007/313/22538_5464508_image24.png

Imagen: /datos/imagenes/disp/2007/313/22538_5464508_image25.png

2.2 Personal laboral de la Administración de Justicia que se traspasa a la Comunidad Autónoma de Aragón

Imagen: /datos/imagenes/disp/2007/313/22538_5464508_image26.png

Imagen: /datos/imagenes/disp/2007/313/22538_5464508_image27.png

2.3 Personal funcionario de la Gerencia Territorial de Aragón que se traspasa

Funcionarios N.R.P. Sueldo Trienios C. Destino C. Específico Productivi-dad Plan Pensiones Total anual
Torrubia David, Armando 1743593346 A1122 13.222,72 2.875,32 8.748,04 9.260,86 5.988,00 146,80 40.241 ,74
Palomar Chicharro, José 1720974135 A1122 13.222,72 2.638,02 8.232,00 5.352,18     29.444,92
Asin Cunchillos, Ana Isabel 1786792002 A1135 9.856,70 2.878,40 7.199,78 2.870,40 353,00 130,41 23.288,69
Artiga Jiménez, Pedro 1720977046 A1188 9.856,70 2.158,80 4.941 ,44 2.590,46   118,51 19.665,91
Baños Rioja, José Manuel 7307736657 A1188 9.856,70 1.439,20 4.941 ,44 2.590,46   106,61 18.934,41
Balsa Carrera, Carmelo F. 1742338357 A5551 8.059,52 2.224,74 4.307,10 2.870,40 1.620,00 127,21 19.208,97
Camacho Campaña, Salvador 3093967546 A5551 8.059,52 2.044,28 4.307,10 2.870,40 7.714,00 127,21 25.122,51
García Lahoz, Gregorio 1718990702 A5551 8.059,52 1.923,74 4.307,10 2.870,40 1.890.00 121,26 19.172,02
Longares Gómez, Ramón 1741918024 A5551 8.059,52 2.405,20 4.307,10 2.870,40 7.714,00 133,16 25.489,38
Pueyo Abenia, Antonio 1783712335 A5551 8.059,52 1.984,36 4.307,10 2.870,40 1.890,00 127,21 19.238,59
Alcober Barranco, M. Pilar 1768098135 A1146 8.059,52 2.644, 18 4.307,10 2.114,84   127,21 17.252,85
Garcés Bafaluy, Concepción 7319110146 A1146 8.059,52 1.682,66 4.307,10 2.114,84   103,41 16.267,53
Garcés Sánchez, M. Carmen 0138921157 A6032 8.059,52 2.644, 18 4.307,10 2.114,84   127,21 17.252,85
Millán Sancho, M. Pilar 1721604135 A1146 8.059,52 1.923,04 4.307,10 2.114,84   115,31 16.519,81
Rueda Rueda, Rosa María 1840802935 A6032 8.059,52 2.644, 18 4.307,10 2.114,84   127,21 17.252,85
Aguarta Asin, M. Nieves 1801807446 A1135 9.856,70 1.921 ,50 4.307,10 2.114,84   118,51 18.318,65
Sierra Sierra, Joaquín 1720666724 A1135 9.856,70 1.802,08 4.307,10 2.376,66   118,51 18.461 ,05
Galindo Ibañez, M. Esther 1719293657 A1135 9.856,70 2.282,84 4.307,10 2.114,84   136,36 18.697,84
1 conductor Nivel 14 Vacante 8.059,52 0,00 4.307,10 2.870,40 0,00 0,00 15.237,02
  TOTALES 174.240,36 40.116,72 94.362,10 57.067,30 27.169,00 2.112,11 395.067,59
Cuota empresarial Seguridad Social 39.909,62            
Acción Social 5.999,71            

Nota: Los errores materiales u observaciones que se adviertan en esta relación podrán ser subsanados mediante certificación de la Secretaría de la Comisión Mixta de Transferencias, sin necesidad de ser ratificadas por el Pleno de la citada Comisión.

2.4 Personal laboral de la Gerencia Territorial de Aragón que se traspasa

Año 2007 N.R.P. Sueldo Trienios C. Antigüedad Productividad Complementarias Plan Pensiones Total
Ferrer Muñoz, Juan José 1711605224 L10004A101 13.281,80 1.079,40 779,38 1.594,92 496,08 109,36 17.340,94
Gimeno Franco, Mariano Luis 1719917946 L10005A101 12.305,16 1.439,20 548,94   437,17 91,58 14.822,04
Gil Peiro, José Luis 2909132768 L10004A101 13.631,94 1.079,40 1.469,72 1.594,92 496,08 103,41 18.375,47
  TOTALES 39,218,90 3.598,00 2.798,04 3.189,84 1.429,32 304,35 50.538,45
Cuota empresarial Seguridad Social 16.612,69            
Acción Social 2.050,00            

Nota: Los errores materiales u observaciones que se adviertan en esta relación podrán ser subsanados mediante certificación de la Secretaría de la Comisión Mixta de Transferencias, sin necesidad de ser ratificadas por el Pleno de la citada Comisión.

RELACIÓN N.º 3: VALORACIÓN DEL COSTE EFECTIVO (euros 2007)

Sección 13. Ministerio de Justicia

Resumen por servicios, programas y capítulos

Personal Funcionario y Laboral Admón. de Justicia
02.112A Artículo 12 26.523.482,48
02.113M Artículo 12 642.037,04
02.112A Artículo 13 1.618.403,70
02.112A Artículo 16 1.663.250,68
Personal Gerencia Territorial  
02.112A Artículo 12 395.067,59
02.112A Artículo 13 50.538,45
02.112A Artículo 16 64.572,03
Otro personal  
02.112A Artículo 14 291.770,86
Costes indirectos 112A 195.123,57
Costes indirectos 111N 127.684,00
 Total Capítulo I 31.571.930,40
Artículo 20 1.411.223,78
Artículo 21 1.291 424,35
Artículo 22 5.710.120,46
Artículo23 301.817,08
 Total Capítulo II 8.714.585,67
Artículo 46 477.464,00
Artículo 48 2.868.843,91
 Total Capítulo IV 3.346.307,91
Artículo 62 3.827.783,00
Artículo 63 1.809.977,00
 Total Capítulo VI 5.637.760,00
  Total Coste Efectivo 49.270.583,98

ANÁLISIS

  • Rango: Real Decreto
  • Fecha de disposición: 14/12/2007
  • Fecha de publicación: 31/12/2007
  • Fecha de entrada en vigor: 01/01/2008
  • Efectividad del traspaso desde el 1 de enero de 2008.
Referencias posteriores

Criterio de ordenación:

  • SE AMPLÍA los medios personales, patrimonialels y económicos traspasados, por Real Decreto 254/2010, de 5 de marzo (Ref. BOE-A-2010-5267).
Referencias anteriores
  • DE CONFORMIDAD con:
    • art. 67 y disposición transitoria 2 del Estatuto aprobado por Ley Orgánica 5/2007, de 20 de abril (Ref. BOE-A-2007-8444).
    • Real Decreto 3991/1982, de 29 de diciembre (Ref. BOE-A-1983-3045).
Materias
  • Administración de Justicia
  • Aragón
  • Comunidades Autónomas
  • Funcionarios de la Administración de Justicia
  • Ministerio de Justicia
  • Relaciones de Puestos de Trabajo

subir

Agència Estatal Butlletí Oficial de l'Estat

Avda. de Manoteras, 54 - 28050 Madrid