Contingut no disponible en valencià

Us trobeu en

Documento BOE-A-2017-3190

Orden ETU/258/2017, de 24 de marzo, por la que se establecen las obligaciones de aportación al Fondo Nacional de Eficiencia Energética en el año 2017.Ver texto consolidado

[Vigencia agotada]

Publicado en:
«BOE» núm. 72, de 25 de marzo de 2017, páginas 21343 a 21363 (21 págs.)
Sección:
I. Disposiciones generales
Departamento:
Ministerio de Energía, Turismo y Agenda Digital
Referencia:
BOE-A-2017-3190
Permalink ELI:
https://www.boe.es/eli/es/o/2017/03/24/etu258

TEXTO ORIGINAL

La Directiva 2012/27/UE del Parlamento Europeo y del Consejo, de 25 de octubre de 2012, relativa a la eficiencia energética (en adelante la Directiva), por la que se modifican las Directivas 2009/125/CE y 2010/30/UE, y por la que se derogan las Directivas 2004/8/CE y 2006/32/CE, crea un marco común para fomentar la eficiencia energética dentro de la Unión y establece acciones concretas a fin de alcanzar un notable ahorro de energía acumulado en el periodo 2014-2020.

La Directiva establece en su artículo 7 la obligación de justificar, por parte de cada Estado miembro, una cantidad de ahorro de energía acumulado para el periodo 2014-2020. En cumplimiento de esta obligación, España ha comunicado a la Comisión Europea un objetivo de 15.320 ktep, objetivo que se ha incrementado hasta los 15.979 ktep según la última revisión de la metodología realizada por la Comisión Europea.

Por otra parte, dicho artículo 7 determina que cada Estado miembro establecerá un sistema de obligaciones de eficiencia energética mediante el cual los distribuidores de energía y/o las empresas minoristas de venta de energía quedarán obligados a alcanzar en el año 2020 el objetivo de ahorro indicado mediante la consecución anual, a partir del año 2014, de un ahorro equivalente al 1,5 % de sus ventas anuales de energía.

En consecuencia, la Ley 18/2014, de 15 de octubre, de aprobación de medidas urgentes para el crecimiento, la competitividad y eficiencia, establece un sistema nacional de obligaciones de eficiencia energética en virtud del cual se asigna a las empresas comercializadoras de gas y electricidad, a los operadores de productos petrolíferos al por mayor, y a los operadores de gases licuados de petróleo al por mayor, en adelante sujetos obligados del sistema de obligaciones, una cuota anual de ahorro energético denominada obligación de ahorro.

Para hacer efectivo el cumplimiento de las obligaciones anuales de ahorro energético, los sujetos obligados deberán realizar una contribución financiera anual al Fondo Nacional de Eficiencia Energética, a ingresar en cuatro pagos iguales a lo largo de 2017, no más tarde del 31 de marzo, del 30 de junio, del 30 de septiembre y del 31 de diciembre, por el importe resultante de multiplicar su obligación de ahorro anual por la equivalencia financiera correspondiente.

Este Fondo, permite la puesta en marcha de mecanismos de apoyo económico y financiero, asistencia técnica, formación e información u otras medidas que permitan aumentar la eficiencia energética en los diferentes sectores y ayudar a conseguir el objetivo de ahorro establecido. Estas medidas podrán ser cofinanciadas con otras fuentes de financiación, incluidos los Fondos Europeos.

La presente orden da cumplimiento al artículo 70.1 de la citada Ley 18/2014, de 15 de octubre, mediante el establecimiento de:

a) El objetivo de ahorro energético en el año 2017.

b) Los porcentajes de reparto entre los correspondientes sujetos obligados.

c) Las cuotas u obligaciones de ahorro resultantes y su equivalencia económica.

Para fijar los porcentajes de reparto del objetivo de ahorro anual entre los sujetos obligados, se ha tenido en cuenta la información remitida por los mismos sobre sus datos de ventas de energía correspondientes al año 2015, así como la información disponible en la Comisión Nacional de los Mercados y la Competencia y la Corporación de Reservas Estratégicas de Productos Petrolíferos y la información contenida en la Orden IET/359/2016, de 17 de marzo, por la que se establecen las obligaciones de aportación al Fondo Nacional de Eficiencia Energética en el año 2016.

Por otro lado, cabe señalar que mediante el Real Decreto 469/2016, de 18 de noviembre, por el que se modifica el Real Decreto 216/2014, de 28 de marzo, por el que se establece la metodología de cálculo de los precios voluntarios para el pequeño consumidor de energía eléctrica y su régimen jurídico de contratación, se incorporó el término variable horario de los costes de comercialización (CCVh) en el cálculo de los otros costes asociados al suministros (OCh) que forman parte del coste de producción de energía (CPh) a considerar para la fijación del PVPC.

Entre los términos que componen el término variable horario de los costes de comercialización (CCVh) figura la Retribución del coste de contribución al Fondo Nacional de Eficiencia Energética regulado en el capítulo IV del Título III de la Ley 18/2014, de 15 de octubre, expresado en €/kWh (RFE), valor constante para todas las horas.

Este valor será fijado anualmente mediante orden del Ministro de Energía, Turismo y Agenda Digital previo acuerdo de la Comisión Delegada del Gobierno para Asuntos Económicos.

En la presente orden se procede a actualizar dicho término de Retribución del coste de contribución al Fondo Nacional de Eficiencia Energética, resultando de aplicación lo dispuesto en el artículo 24.2.b) del Real Decreto 216/2014, de 28 de marzo, según el cual si la fecha de entrada en vigor de la orden por la que se fije anualmente el valor del término RFE fuera posterior al 1 de enero del año de aplicación correspondiente, hasta la aprobación de la orden mencionada en el párrafo anterior o, en su caso, hasta la extinción de la obligación de contribución al Fondo Nacional de Eficiencia Energética de estos sujetos, se mantendrá el valor de la retribución del coste de contribución al Fondo Nacional de Eficiencia Energética (RFE) en la cuantía establecida para el año anterior.

Se ha realizado igualmente el preceptivo trámite de audiencia habiéndose notificado éste a cada uno de los interesados y a la Comisión Nacional de los Mercados y la Competencia.

De acuerdo con lo establecido en el artículo 70 de la Ley 18/2014, de 15 de octubre, lo dispuesto en la presente orden ha sido informado por el Instituto para la Diversificación y Ahorro de la Energía en fecha 1 de marzo de 2017.

Mediante Acuerdo de 23 de marzo 2017, la Comisión Delegada del Gobierno para Asuntos Económicos ha autorizado al Ministro de Energía, Turismo y Agenda Digital a dictar la presente orden.

En su virtud, previo Acuerdo de la Comisión Delegada del Gobierno para Asuntos Económicos, resuelvo:

Primero. Obligaciones de aportación al Fondo Nacional de Eficiencia Energética en 2017.

1. Para el año 2017 se establece un objetivo de ahorro agregado de 262 ktep o 3.046,51 GWh.

2. La equivalencia financiera para el año 2017 se establece en 0,789728 millones de euros por ktep ahorrado, o 67.916,58 euros por GWh ahorrado.

3. En el anexo I de la presente orden, se establece la metodología empleada para asignar las obligaciones de ahorro y su equivalencia económica para el año 2017.

4. En el anexo II se establece para los sujetos obligados que han aportado datos, sus respectivas cuotas de obligaciones de ahorro para el año 2017 y su equivalencia económica, resultantes de aplicar los criterios establecidos en la Ley 18/2014, de 15 de octubre, de aprobación de medidas urgentes para el crecimiento, la competitividad y eficiencia.

Asimismo, se establece para aquellos sujetos obligados que no hubieran aportado datos conforme al artículo 70.2 de la citada Ley 18/2014, de 15 de octubre, las cuotas de obligaciones de ahorro para el año 2017 y su equivalencia financiera a partir de la información disponible en la Comisión Nacional de Mercados y la Competencia y la Corporación de Reservas Estratégicas de Productos Petrolíferos, sin perjuicio del régimen sancionador aplicable en su caso.

5. En el anexo III se establece, para aquellos sujetos obligados que no hubieran remitido la información y de los que no se dispusiera de aquella que permitiese subvenir a tal omisión, las cuotas respectivas de obligaciones de ahorro y su equivalencia económica para el año 2017 conforme a lo establecido en el artículo 70.2 de la citada Ley 18/2015, de 15 de octubre, sin perjuicio del régimen sancionador aplicable en su caso.

Segundo. Derechos de cobro.

1. Se reconocen los derechos de cobro del Fondo Nacional de Eficiencia Energética a aquellos sujetos obligados cuya obligación de aportación en el año 2017, una vez tenidos en cuenta los ajustes correspondientes al año 2016, sea una cantidad de valor negativo de acuerdo con el anexo II, siempre que dichos sujetos hayan cumplido con su obligación de aportación al Fondo en el año 2016.

2. Se reconocen derechos de cobro del Fondo Nacional de Eficiencia Energética a una persona jurídica a la que le fue asignada obligación en el año 2016 de acuerdo con la Orden IET/359/2016, de 17 de febrero, pero que actualmente no cumple con los requisitos para ser considerado sujeto obligado y por tanto, no está incluida en el anexo II de la presente Orden donde se tienen en cuenta los ajustes correspondientes al año 2016, siempre que dicho sujeto haya cumplido con sus obligaciones de aportación al Fondo en los años anteriores.

• Axoil Trader S.L.: 214.340,16 euros.

3. La ordenación del pago y el pago material a cada uno de los sujetos referidos en los apartados anteriores, se efectuará por el Instituto para la Diversificación y Ahorro de la Energía, como Gestor del Fondo Nacional de Eficiencia Energética, contra la cuenta específica abierta en régimen de depósito para la operativa funcional del Fondo prevista en el artículo 74.2 de la Ley 18/2014, de 15 de octubre.

Para ello, las personas jurídicas a las que se refiere el presente punto deberán remitir al mencionado Instituto el modelo de solicitud de devolución de ingresos indebidos incluido en el anexo IV de la presente orden, en el plazo máximo de tres meses a contar desde la publicación de la misma en el «Boletín Oficial del Estado».

4. Una vez recibida la solicitud y completados los datos referidos en el citado anexo, el Instituto para la Diversificación y Ahorro de la Energía expedirá, a partir del 31 de marzo de 2017, el correspondiente mandamiento de pago a favor de los interesados en el plazo máximo de un mes, comunicándolo a la Dirección General de Política Energética y Minas.

Tercero. Valor de Retribución del coste de contribución al Fondo Nacional de Eficiencia Energética a considerar en el cálculo del PVPC.

El valor de la Retribución del coste de contribución al Fondo Nacional de Eficiencia Energética regulado en el capítulo IV del Título III de la Ley 18/2014, de 15 de octubre, RFE, incluida en el término variable horario de los costes de comercialización (CCVh) a considerar en el cálculo del PVPC, según lo previsto en el artículo 24 del Real Decreto 216/2014, de 28 de marzo, por el que se establece la metodología de cálculo de los precios voluntarios para el pequeño consumidor de energía eléctrica y su régimen jurídico de contratación, a aplicar desde la fecha de entrada en vigor de la presente orden y hasta la fecha en que se apruebe el nuevo valor para el siguiente periodo o, en su caso, hasta la extinción de la obligación de contribución al Fondo Nacional de Eficiencia Energética de los comercializadores de referencia, será de 0,000268 €/kWh.

Cuarto. Eficacia.

La presente orden surtirá efectos desde el día siguiente al de su publicación en el «Boletín Oficial del Estado».

Contra la presente orden que pone fin a la vía administrativa, de acuerdo con lo dispuesto en el artículo 114 de la Ley 39/2015, de 1 de octubre, del Procedimiento Administrativo Común de las Administraciones Públicas podrá interponerse recurso contencioso-administrativo ante el Tribunal Supremo en el plazo de dos meses, a contar desde el día siguiente al de la publicación de la presente orden de conformidad con el artículo 12.a) de la Ley 29/1998, de 13 de julio, reguladora de la Jurisdicción Contencioso-administrativa.

También podrá interponerse potestativamente recurso de reposición ante el titular del Ministerio de Energía, Turismo y Agenda Digital en el plazo de un mes, a contar desde el día siguiente al de la publicación de la presente orden significando que, en caso de presentar recurso de reposición, no se podrá interponer recurso contencioso-administrativo hasta que se resuelva expresamente el recurso de reposición o se produzca la desestimación presunta del mismo, en virtud de lo dispuesto en el artículo 123.2 de la citada ley.

Para el cómputo de los plazos por meses habrá de estarse a lo dispuesto en el artículo 30.4 de la citada Ley 39/2015, de 1 de octubre.

Madrid, 24 de marzo de 2017.–El Ministro de Energía, Turismo y Agenda Digital, Álvaro Nadal Belda.

ANEXO I
Metodología empleada para asignar las obligaciones de ahorro y el importe equivalente para el año 2017

Tal y como se establece en el artículo 70.1 de la Ley 18/2014, de 15 de octubre, de aprobación de medidas urgentes para el crecimiento, competitividad y eficiencia, para la asignación de las obligaciones de ahorro correspondientes al año 2017 y su importe económico equivalente, se han tenido en cuenta, para cada uno de los sujetos obligados, las obligaciones establecidas en el anexo II de la Orden IET/359/2016, de 17 de marzo, por la que se establecen las obligaciones de aportación al Fondo Nacional de Eficiencia Energética en el año 2016 y las variaciones derivadas de las modificaciones de los datos suministrados por dos sujetos correspondientes a las ventas del año 2014 y la no consideración de una empresa como sujeto obligado.

La aportación al Fondo Nacional de Eficiencia Energética de los sujetos obligados en el año 2017 se ha calculado conforme a la siguiente metodología:

1. Se ha repartido el objetivo de ahorro anual del año 2017 (262 kteps) entre los sujetos obligados, en el caso de las comercializadoras de gas y electricidad, proporcionalmente al volumen de sus ventas de energía final a nivel nacional a consumidores finales, y en el caso de los operadores al por mayor de productos petrolíferos y gases licuados del petróleo, proporcionalmente al volumen de sus ventas de energía final a nivel nacional para su posterior distribución al por menor y a consumidores finales, durante el año 2015.

Cabe señalar que, en aquellos casos en los que los sujetos obligados no hubieran remitido la información solicitada, se ha tenido en cuenta la información disponible en la Comisión Nacional de los Mercados y la Competencia y en la Corporación de Reservas Estratégicas de Productos Petrolíferos.

Cuando un sujeto obligado hubiese iniciado su actividad de ventas de energía final a nivel nacional durante el año 2015, el reparto del objetivo de ahorro energético anual se ha realizado con base a sus previsiones de ventas de energía para el año 2017. Esta obligación será revisada una vez se disponga, para dicho sujeto obligado, de los datos efectivos de ventas durante el periodo anual de obligación.

Asimismo, cabe señalar que se han tenido en cuenta, a la hora de realizar el reparto del objetivo de ahorro del año 2017 entre los sujetos obligados (262 ktep), las aportaciones al Fondo Nacional de Eficiencia Energética en el año 2016 establecidas en el anexo III de la anteriormente mencionada Orden IET/359/2016, de 17 de marzo, al margen del reparto del objetivo de anual correspondiente a ese año, de acuerdo con el artículo 70 de la Ley 18/2014, de 15 de octubre (2,16 ktep).

La equivalencia financiera para el año 2017 es 0,789728 millones de euros por ktep ahorrado o 67.916,58 euros por GWh ahorrado de acuerdo con el apartado primero de la presente orden.

2. Al sujeto obligado que no hubiera remitido la información y del que tampoco se dispusiera de la que permitiera subvenir a tal omisión, se le ha asignado como obligación de ahorro, al margen del reparto del objetivo anual, la que le fuera asignada en la Orden IET/359/2016, de 17 de marzo, por la que se establecen las obligaciones de aportación al Fondo Nacional de Eficiencia Energética en el año 2016, incrementada en un 10 %, tal y como establece el artículo 70.2 de la citada Ley 18/2014, de 15 de octubre.

Si nunca le hubiera sido asignada una obligación de ahorro, se le ha asignado como tal, igualmente al margen del reparto del objetivo anual, el resultado de dividir el importe económico equivalente a la obligación de ahorro del año 2016 entre el número de sujetos obligados del sector al que pertenecía el citado sujeto en dicha fecha, y todo ello multiplicado por la cuota correspondiente de dicho sector sobre el objetivo de ahorro anual del año 2016.

Las cantidades así asignadas en los dos últimos casos, se tendrán en cuenta a la hora de realizar el reparto del objetivo de ahorro del año 2018 entre los sujetos obligados y son las incluidas en el anexo III de la presente orden.

3. A partir de las modificaciones en los datos de dos sujetos obligados sobre sus ventas de energía en el año 2014 y la no consideración de una empresa como sujeto obligado, se han recalculado las obligaciones de ahorro de todos los sujetos obligados correspondientes al año 2016.

Estas cantidades han sido comparadas con las que fueron establecidas en la citada Orden IET/359/2016, de 17 de marzo, de acuerdo con el artículo 70.1 de la mencionada Ley 18/2014, de 15 de octubre, siendo las diferencias entre ambas cantidades los ajustes del año 2016 a tener en cuenta en las obligaciones del año 2017.

Cabe señalar que para la realización del citado recálculo, se ha empleado la equivalencia financiera establecida en la citada Orden IET/359/2016, de 17 de marzo (0,789728 millones de euros por ktep ahorrado o 67.916,58 euros por GWh ahorrado), así como el mismo objetivo de ahorro anual (262 kteps o 3.046,51 GWh).

4. Las obligaciones de aportación al Fondo Nacional de Eficiencia Energética en el año 2017, correspondientes con el anexo II, se han fijado como resultado de la suma de los valores calculados conforme al apartado 1 y los calculados conforme al apartado 3.

5. Por último, cabe señalar que se reconocen expresamente 214.340,16 € euros como derechos de cobro del Fondo Nacional de Eficiencia Energética correspondientes a Axoil Trader, S.L.U., persona jurídica que en la actualidad no cumple con los requisitos para ser considerado sujeto obligado conforme a lo señalado en el apartado segundo.2 de la presente orden.

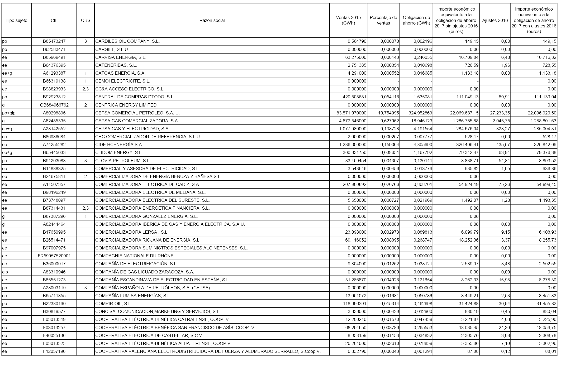
ANEXO II
Aportaciones al Fondo Nacional de Eficiencia Energética en el año 2017 consecuencia del reparto del objetivo de ahorro anual

1

2

3

4

5

6

7

8

9

10

11

12

13

14

ANEXO III
Aportaciones al Fondo Nacional de Eficiencia Energética en el año 2017 al margen del reparto del objetivo de ahorro anual

Tipo sujeto

CIF

OBS

Razón social

Importe económico obligaciones 2017 sin ajustes 2016 (euros)

Ajustes 2016

Importe económico obligaciones 2017 con ajustes 2016 (euros)

pp

B45516986

4

Biodiesel Castilla La Mancha, S.L.

0,00

0,00

0,00

ee

B65960551

4

Comercialización Eléctrica Catalana, S.L.

0,00

0,00

0,00

ee

IE9783448U

1, 4

Electroroute Energy Trading Limited

0,00

0,00

0,00

ee

B98437882

4

Energest de la CV, S.L.

0,00

0,00

0,00

ee

B91597278

1, 4

Energética Baygo, S.L.

0,00

0,00

0,00

ee

DK17225898

4

Energi Danmark A/S

0,00

0,00

0,00

ee

C227767191

4

Exen, S.R.O.

0,00

0,00

0,00

ee

U132950-X

4

Forces Eléctriques D’andorra (Feda)

0,00

0,00

0,00

ee

B87382644

1, 5

Geo Alternativa S.L.

307.582,85

0,00

307.582,85

pp

B38899043

4

Importadora de Productos Petrolíferos de Canarias, S.L.

5,00

0,01

5,01

pp

B87298220

1, 4

Magna Oil, S.L.

0,00

0,00

0,00

pp

3523350969

4

Mythen, S.P.A.

0,00

0,00

0,00

pp

B85799930

4

Ocean Blue Energy, S.L.

644.368,31

0,00

644.368,31

ee

B23749757

1, 5

Optimus Comercializadora Energética, S.L.

307.582,85

0,00

307.582,85

pp

B34271874

1, 4

Petrocastilla 2015, S.L.

0,00

0,00

0,00

pp

B66507492

1, 4

Petróleos Bangla, S.L.

0,00

0,00

0,00

g

1847567

1, 5

Powerbridge Resources Group LTD

1.391.165,60

0,00

1.391.165,60

pp

PT507597303

4

Prio Biocombustiveis, S.A.

0,00

0,00

0,00

g

CHE116343713IVA

4

Worldenergy, S.A.

0,00

0,00

0,00

Total

2.650.704,61

2.650.704,62

Tipo de sujeto obligado:

• ee- comercializador de energía eléctrica.

• g- comercializador de gas.

• pp- operador de productos petrolíferos al por mayor.

• glp- operador de gases licuados de petróleo al por mayor.

(1) Sujetos que han iniciado su actividad en el año 2015.

(4) Sujetos que no han cumplido con la obligación establecida en el artículo 70.2 de la Ley 18/2014 lo que implicará, en su caso, la iniciación del correspondiente procedimiento sancionador. En estos casos las obligaciones establecidas son las que les fueran asignada en la Orden IET/359/2016, de 17 de marzo, por la que se establecen las obligaciones de aportación al Fondo Nacional de Eficiencia Energética en el año 2016, incrementadas en un 10 %.

(5) Sujetos que no han cumplido con la obligación establecida en el artículo 70.2 de la Ley 18/2014 lo que implicará, en su caso, la iniciación del correspondiente procedimiento sancionador. En estos casos las obligaciones establecidas son el resultado de dividir el importe económico equivalente a la obligación de ahorro del año 2016 entre el número de sujetos obligados del sector al que pertenecía el citado sujeto en 2016, y todo ello multiplicado por la cuota correspondiente de dicho sector sobre el objetivo de ahorro anual del año 2016.

ANEXO IV
Modelo de solicitud de devolución de ingresos indebidos al Fondo Nacional de Eficiencia Energética correspondiente a las obligaciones de los años 2016 y 2017

1

ANÁLISIS

  • Rango: Orden
  • Fecha de disposición: 24/03/2017
  • Fecha de publicación: 25/03/2017
  • Fecha de entrada en vigor: 26/03/2017
  • Efectos desde el 26 de marzo de 2017.
  • Esta disposición ha dejado de estar vigente.
Referencias anteriores
Materias
  • Comisión Nacional de los Mercados y la Competencia
  • Consumo de energía
  • Corporación de Reservas Estratégicas de Productos Petrolíferos
  • Energía eléctrica
  • Fondos de dinero
  • Pagos

subir

Agència Estatal Butlletí Oficial de l'Estat

Avda. de Manoteras, 54 - 28050 Madrid