Contingut no disponible en català

Us trobeu en

Documento BOE-A-2000-10562

Orden de 8 de mayo de 2000 por la que se modifica la de 30 de abril de 1999, relativa a los modelos de presentación de las cuentas anuales para su depósito en el Registro Mercantil correspondiente.

[Disposición derogada]

Publicado en:
«BOE» núm. 135, de 6 de junio de 2000, páginas 19852 a 19959 (108 págs.)
Sección:
I. Disposiciones generales
Departamento:
Ministerio de Justicia
Referencia:
BOE-A-2000-10562
Permalink ELI:
https://www.boe.es/eli/es/o/2000/05/08/(2)

TEXTO ORIGINAL

La Orden de 30 de abril de 1999 modificó la de 14 de enero de 1994, por la que se aprobaban los modelos de presentación de las cuentas anuales para su depósito en el Registro Mercantil correspondiente y los modelos de presentación en euros de las cuentas anuales.

Se hace necesario ahora adecuar el contenido de dichos modelos, debido a modificaciones normativas tales como la Ley 37/1998, de 16 de noviembre, de reforma de la Ley 24/1998, de 28 de julio, del Mercado de Valores, que establece una modificación, con carácter general, del tratamiento contable de fondo de comercio y la Orden del Ministerio de Economía y Hacienda de 29 de diciembre de 1999 sobre el régimen transitorio a aplicar contablemente en la exteriorización de los compromisos por pensiones, que obligan en ambos casos a actualizar la cumplimentación de la Memoria; de otra parte, procede sustituir la anterior nomenclatura prepa- rada para el milenio anterior por otra donde se pueda recoger todas las fechas a partir del año 2000, y asimismo se ha eliminado la referencia al comienzo del período transitorio dado que ya se está en él.

Asimismo, en los modelos abreviados se ha corregido un error para adecuar la enumeración del epígrafe «Ajustes por periodificación» a la correspondiente al Plan General de Contabilidad.

En su virtud, a propuesta de la Dirección General de los Registros y del Notariado y de acuerdo con el Instituto de Contabilidad y Auditoría de Cuentas, dispongo:

Artículo único

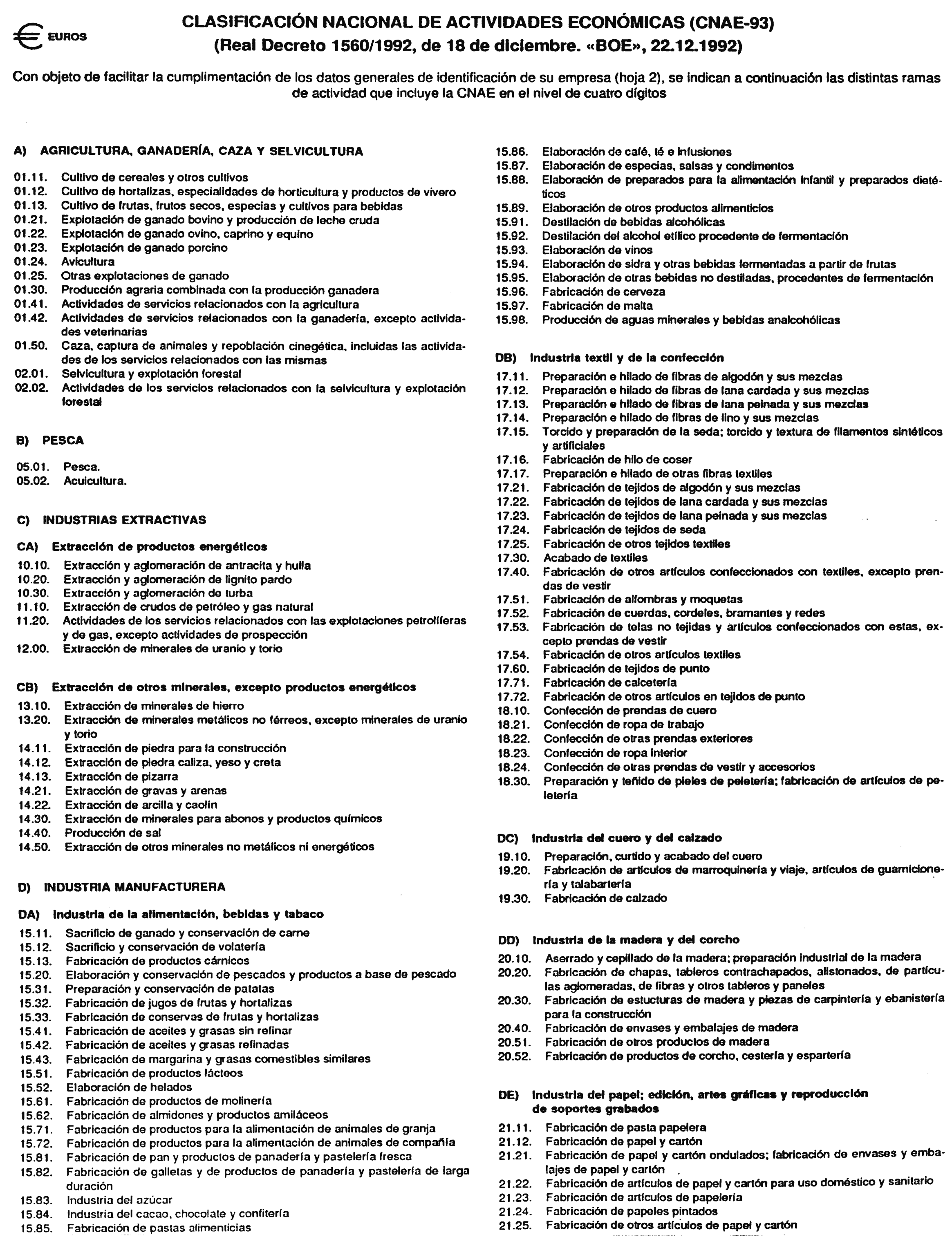
Los modelos de cuentas anuales, normal y abreviado, tanto en pesetas como en euros, quedan sustituidos por los establecidos en el anexo a la presente Orden.

Madrid, 8 de mayo de 2000.

ACEBES PANIAGUA

Ilmo. Sr. Director general de los Registros y del Notariado.

Imagen: /datos/imagenes/disp/2000/135/10562_7993389_image1.png

Imagen: /datos/imagenes/disp/2000/135/10562_7993389_image2.png

Imagen: /datos/imagenes/disp/2000/135/10562_7993389_image3.png

Imagen: /datos/imagenes/disp/2000/135/10562_7993389_image4.png

Imagen: /datos/imagenes/disp/2000/135/10562_7993389_image5.png

Imagen: /datos/imagenes/disp/2000/135/10562_7993389_image6.png

Imagen: /datos/imagenes/disp/2000/135/10562_7993389_image7.png

Imagen: /datos/imagenes/disp/2000/135/10562_7993389_image8.png

Imagen: /datos/imagenes/disp/2000/135/10562_7993389_image9.png

Imagen: /datos/imagenes/disp/2000/135/10562_7993389_image10.png

Imagen: /datos/imagenes/disp/2000/135/10562_7993389_image11.png

Imagen: /datos/imagenes/disp/2000/135/10562_7993389_image12.png

Imagen: /datos/imagenes/disp/2000/135/10562_7993389_image13.png

Imagen: /datos/imagenes/disp/2000/135/10562_7993389_image14.png

Imagen: /datos/imagenes/disp/2000/135/10562_7993389_image15.png

Imagen: /datos/imagenes/disp/2000/135/10562_7993389_image16.png

Imagen: /datos/imagenes/disp/2000/135/10562_7993389_image17.png

Imagen: /datos/imagenes/disp/2000/135/10562_7993389_image18.png

Imagen: /datos/imagenes/disp/2000/135/10562_7993389_image19.png

Imagen: /datos/imagenes/disp/2000/135/10562_7993389_image20.png

Imagen: /datos/imagenes/disp/2000/135/10562_7993389_image21.png

Imagen: /datos/imagenes/disp/2000/135/10562_7993389_image22.png

Imagen: /datos/imagenes/disp/2000/135/10562_7993389_image23.png

Imagen: /datos/imagenes/disp/2000/135/10562_7993389_image24.png

Imagen: /datos/imagenes/disp/2000/135/10562_7993389_image25.png

Imagen: /datos/imagenes/disp/2000/135/10562_7993389_image26.png

Imagen: /datos/imagenes/disp/2000/135/10562_7993389_image27.png

Imagen: /datos/imagenes/disp/2000/135/10562_7993389_image28.png

Imagen: /datos/imagenes/disp/2000/135/10562_7993389_image29.png

Imagen: /datos/imagenes/disp/2000/135/10562_7993389_image30.png

Imagen: /datos/imagenes/disp/2000/135/10562_7993389_image31.png

Imagen: /datos/imagenes/disp/2000/135/10562_7993389_image32.png

Imagen: /datos/imagenes/disp/2000/135/10562_7993389_image33.png

Imagen: /datos/imagenes/disp/2000/135/10562_7993389_image34.png

Imagen: /datos/imagenes/disp/2000/135/10562_7993389_image35.png

Imagen: /datos/imagenes/disp/2000/135/10562_7993389_image36.png

Imagen: /datos/imagenes/disp/2000/135/10562_7993389_image37.png

Imagen: /datos/imagenes/disp/2000/135/10562_7993389_image38.png

Imagen: /datos/imagenes/disp/2000/135/10562_7993389_image39.png

Imagen: /datos/imagenes/disp/2000/135/10562_7993389_image40.png

Imagen: /datos/imagenes/disp/2000/135/10562_7993389_image41.png

Imagen: /datos/imagenes/disp/2000/135/10562_7993389_image42.png

Imagen: /datos/imagenes/disp/2000/135/10562_7993389_image43.png

Imagen: /datos/imagenes/disp/2000/135/10562_7993389_image44.png

Imagen: /datos/imagenes/disp/2000/135/10562_7993389_image45.png

Imagen: /datos/imagenes/disp/2000/135/10562_7993389_image46.png

Imagen: /datos/imagenes/disp/2000/135/10562_7993389_image47.png

Imagen: /datos/imagenes/disp/2000/135/10562_7993389_image48.png

Imagen: /datos/imagenes/disp/2000/135/10562_7993389_image49.png

Imagen: /datos/imagenes/disp/2000/135/10562_7993389_image50.png

Imagen: /datos/imagenes/disp/2000/135/10562_7993389_image51.png

Imagen: /datos/imagenes/disp/2000/135/10562_7993389_image52.png

Imagen: /datos/imagenes/disp/2000/135/10562_7993389_image53.png

Imagen: /datos/imagenes/disp/2000/135/10562_7993389_image54.png

Imagen: /datos/imagenes/disp/2000/135/10562_7993389_image55.png

Imagen: /datos/imagenes/disp/2000/135/10562_7993389_image56.png

Imagen: /datos/imagenes/disp/2000/135/10562_7993389_image57.png

Imagen: /datos/imagenes/disp/2000/135/10562_7993389_image58.png

Imagen: /datos/imagenes/disp/2000/135/10562_7993389_image59.png

Imagen: /datos/imagenes/disp/2000/135/10562_7993389_image60.png

Imagen: /datos/imagenes/disp/2000/135/10562_7993389_image61.png

Imagen: /datos/imagenes/disp/2000/135/10562_7993389_image62.png

Imagen: /datos/imagenes/disp/2000/135/10562_7993389_image63.png

Imagen: /datos/imagenes/disp/2000/135/10562_7993389_image64.png

Imagen: /datos/imagenes/disp/2000/135/10562_7993389_image65.png

Imagen: /datos/imagenes/disp/2000/135/10562_7993389_image66.png

Imagen: /datos/imagenes/disp/2000/135/10562_7993389_image67.png

Imagen: /datos/imagenes/disp/2000/135/10562_7993389_image68.png

Imagen: /datos/imagenes/disp/2000/135/10562_7993389_image69.png

Imagen: /datos/imagenes/disp/2000/135/10562_7993389_image70.png

Imagen: /datos/imagenes/disp/2000/135/10562_7993389_image71.png

Imagen: /datos/imagenes/disp/2000/135/10562_7993389_image72.png

Imagen: /datos/imagenes/disp/2000/135/10562_7993389_image73.png

Imagen: /datos/imagenes/disp/2000/135/10562_7993389_image74.png

Imagen: /datos/imagenes/disp/2000/135/10562_7993389_image75.png

Imagen: /datos/imagenes/disp/2000/135/10562_7993389_image76.png

Imagen: /datos/imagenes/disp/2000/135/10562_7993389_image77.png

Imagen: /datos/imagenes/disp/2000/135/10562_7993389_image78.png

Imagen: /datos/imagenes/disp/2000/135/10562_7993389_image79.png

Imagen: /datos/imagenes/disp/2000/135/10562_7993389_image80.png

Imagen: /datos/imagenes/disp/2000/135/10562_7993389_image81.png

Imagen: /datos/imagenes/disp/2000/135/10562_7993389_image82.png

Imagen: /datos/imagenes/disp/2000/135/10562_7993389_image83.png

Imagen: /datos/imagenes/disp/2000/135/10562_7993389_image84.png

Imagen: /datos/imagenes/disp/2000/135/10562_7993389_image85.png

Imagen: /datos/imagenes/disp/2000/135/10562_7993389_image86.png

Imagen: /datos/imagenes/disp/2000/135/10562_7993389_image87.png

Imagen: /datos/imagenes/disp/2000/135/10562_7993389_image88.png

Imagen: /datos/imagenes/disp/2000/135/10562_7993389_image89.png

Imagen: /datos/imagenes/disp/2000/135/10562_7993389_image90.png

Imagen: /datos/imagenes/disp/2000/135/10562_7993389_image91.png

Imagen: /datos/imagenes/disp/2000/135/10562_7993389_image92.png

Imagen: /datos/imagenes/disp/2000/135/10562_7993389_image93.png

Imagen: /datos/imagenes/disp/2000/135/10562_7993389_image94.png

Imagen: /datos/imagenes/disp/2000/135/10562_7993389_image95.png

Imagen: /datos/imagenes/disp/2000/135/10562_7993389_image96.png

Imagen: /datos/imagenes/disp/2000/135/10562_7993389_image97.png

Imagen: /datos/imagenes/disp/2000/135/10562_7993389_image98.png

Imagen: /datos/imagenes/disp/2000/135/10562_7993389_image99.png

Imagen: /datos/imagenes/disp/2000/135/10562_7993389_image100.png

Imagen: /datos/imagenes/disp/2000/135/10562_7993389_image101.png

Imagen: /datos/imagenes/disp/2000/135/10562_7993389_image102.png

Imagen: /datos/imagenes/disp/2000/135/10562_7993389_image103.png

Imagen: /datos/imagenes/disp/2000/135/10562_7993389_image104.png

Imagen: /datos/imagenes/disp/2000/135/10562_7993389_image105.png

Imagen: /datos/imagenes/disp/2000/135/10562_7993389_image106.png

Imagen: /datos/imagenes/disp/2000/135/10562_7993389_image107.png

ANÁLISIS

  • Rango: Orden
  • Fecha de disposición: 08/05/2000
  • Fecha de publicación: 06/06/2000
  • Fecha de derogación: 11/02/2009
Referencias posteriores

Criterio de ordenación:

  • SE DEROGA:
  • CORRECCIÓN de errores:
    • con modificación del anexo, en BOE núm. 251, de 19 de octubre de 2000 (Ref. BOE-A-2000-18753).
    • en BOE núm. 144, de 16 de junio de 2000 (Ref. BOE-A-2000-11273).
Referencias anteriores
  • MODIFICA los modelos indicados de la Orden de 30 de abril de 1999 (Ref. BOE-A-1999-11201).
  • EN RELACIÓN con la Orden de 14 de enero de 1994 (Ref. BOE-A-1994-1953).
Materias
  • Contabilidad
  • Empresas
  • Formularios administrativos
  • Registro Mercantil

subir

Agència Estatal Butlletí Oficial de l'Estat

Avda. de Manoteras, 54 - 28050 Madrid