Contingut no disponible en valencià

Us trobeu en

Legislación consolidada(información)Este texto consolidado es de carácter informativo y no tiene valor jurídico.
La consolidación consiste en integrar en un solo texto, sin valor oficial, las modificaciones, correcciones y derogaciones de carácter expreso que una norma ha tenido desde su origen, con el objetivo de facilitar el acceso al Derecho vigente. Para fines jurídicos, debe consultarse la publicación oficial.

Instrucción 7/2011, de 15 de septiembre, de la Junta Electoral Central, relativa al procedimiento de acreditación de firmas de apoyo de candidaturas al Congreso de los Diputados, al Senado y al Parlamento Europeo previsto en los artículos 169 y 220 de la Ley Orgánica del Régimen Electoral General.

Publicado en:
«BOE» núm. 224, de 17/09/2011.
Entrada en vigor:
18/09/2011
Departamento:
Junta Electoral Central
Referencia:
BOE-A-2011-14814
Permalink ELI:
https://www.boe.es/eli/es/ins/2011/09/15/7/con

Texto consolidado: «Última actualización, publicada el 17/09/2011»

La Ley Orgánica 2/2011, de 28 de enero, ha modificado el artículo 169.3 de la Ley Orgánica 5/1985, de 19 de junio, del Régimen Electoral General (LOREG), al imponer que los partidos, federaciones o coaliciones que no hubieran obtenido representación en ninguna de las Cámaras en la anterior convocatoria de elecciones, para poder presentar una candidatura a las elecciones al Congreso de los Diputados y al Senado, necesitan la firma, al menos, del 0,1 por ciento de los electores inscritos en el censo electoral de la circunscripción por la que pretendan su elección.

Por otra parte, se mantiene vigente en el referido artículo 169.3 de la LOREG el requisito establecido para que una agrupación de electores pueda presentar candidatura al Congreso de los Diputados o al Senado, consistente en que dicha candidatura deberá acompañarse de la firma del 1 % de los electores inscritos en el censo electoral de la circunscripción.

En el caso de las elecciones al Parlamento Europeo, el artículo 220.3 de la LOREG exige para la presentación de candidaturas, como requisito común para partidos, federaciones, coaliciones electorales y agrupaciones de electores, la acreditación de las firmas de 15.000 electores. No obstante, los partidos, federaciones y coaliciones electorales pueden sustituir ese requisito por la firma de 50 cargos electos, ya sean Diputados, Senadores, Diputados españoles del Parlamento Europeo, miembros de las Asambleas Legislativas de las Comunidades Autónomas o miembros de las Corporaciones Locales (artículo 220.4 de la LOREG).

La imposición de estos requisitos requiere que por la Administración electoral se aclaren aquellos aspectos del procedimiento de recogida y acreditación de firmas que no quedan precisados en la legislación vigente. A estos efectos, esta Junta Electoral ha considerado conveniente que se produzca una unificación de criterios con los requisitos que se vienen exigiendo para la recogida de firmas para la presentación de candidaturas en las elecciones al Parlamento Europeo regulada en el artículo 220 de la LOREG. De esta forma, además de una homogeneidad procedimental se logra una mayor seguridad jurídica para las formaciones que pretendan presentar candidaturas a los comicios en los que se exige la recogida de avales.

Con esta finalidad, la Junta Electoral Central, de conformidad con lo dispuesto en los artículos 19.1.c) y f) de la LOREG, ha aprobado la siguiente

INSTRUCCIÓN

Primero. Objeto.

La presente Instrucción tiene por objeto precisar el procedimiento de recogida y acreditación de firmas previsto en los artículos 169 y 220 de la LOREG, que regulan el procedimiento de presentación de candidaturas para las elecciones al Congreso de los Diputados, al Senado y al Parlamento Europeo, respectivamente.

Segundo. Juntas Electorales competentes.

1. Para las elecciones al Congreso de los Diputados y al Senado la Junta Electoral competente para la recepción y tramitación de las firmas a las que se refiere el artículo 169.3 de la LOREG es la Junta Electoral Provincial correspondiente.

2. En el caso de las elecciones al Parlamento Europeo, la Junta Electoral competente para la recepción y tramitación de las firmas exigidas por los apartados 3) y 4) del artículo 220 de la LOREG es la Junta Electoral Central.

Tercero. Requisitos de presentación de firmas de apoyo de una candidatura en elecciones al Congreso de los Diputados y al Senado.

1. En las elecciones al Congreso de los Diputados y al Senado, los partidos políticos, federaciones de partidos y coaliciones electorales que no hubiesen obtenido representación en ninguna de las Cámaras en la anterior convocatoria de elecciones de éstas, deberán presentar junto a la candidatura las firmas de apoyo de, al menos, el 0,1 % de los electores inscritos en el censo electoral de la circunscripción por la que pretendan su elección, como exige el artículo 169.3 de la LOREG. En el caso de las coaliciones electorales no será exigible dicho requisito si uno de los partidos integrantes hubiese obtenido representación en el Congreso o en el Senado.

2. En el caso de las agrupaciones de electores, para presentar candidaturas al Congreso de los Diputados o al Senado, necesitarán las firmas de apoyo del 1 % de los electores inscritos en el censo electoral de la circunscripción a la que solicitan concurrir, conforme a lo dispuesto en el artículo 169.3 de la LOREG.

3. Las formaciones políticas que cuenten con uno o más Senadores por designación de una Asamblea Legislativa de una Comunidad Autónoma pero que no hubiesen obtenido representación en las últimas elecciones al Congreso de los Diputados o al Senado deberán proceder a la recogida de firmas establecida en el apartado quinto de esta Instrucción.

4. En el supuesto de que una formación política presente en una misma circunscripción candidaturas al Congreso de los Diputados y al Senado no será precisa una presentación por duplicado de los avales.

Cuarto. Requisitos de presentación de firmas de apoyo de candidaturas en las elecciones al Parlamento Europeo.

1. Los partidos políticos, federaciones, coaliciones electorales y agrupaciones de electores, para presentar candidatura en las elecciones al Parlamento Europeo, necesitarán las firmas de apoyo de 15.000 electores, de acuerdo con lo previsto en el artículo 220.3 de la LOREG.

2. No obstante lo dispuesto en el apartado anterior, los partidos, federaciones y coaliciones podrán sustituir dicho requisito por las firmas de apoyo a la candidatura al Parlamento Europeo de 50 cargos electos, ya sean Diputados, Senadores, Diputados españoles del Parlamento Europeo, miembros de las Asambleas Legislativas de las Comunidades Autónomas o miembros de las Corporaciones Locales, en virtud de lo indicado en el artículo 220.4 de la LOREG.

Quinto. Procedimiento de recogida de firmas.

1. Las firmas deberán incluirse en los modelos de impresos elaborados a tal efecto que figuran en el Real Decreto 605/1999, de 16 de abril, de regulación complementaria de los procesos electorales, y en su normativa de desarrollo.

2. Las firmas deberán recogerse para cada proceso electoral y con posterioridad a la convocatoria electoral correspondiente. A tal efecto, el Ministerio del Interior pondrá a disposición de las formaciones políticas el modelo ajustado para cada convocatoria electoral.

3. Los datos que se deberán aportar necesariamente en la recogida de firmas para realizar la acreditación de elector en la circunscripción correspondiente a la inscripción en el censo electoral son: nombre y apellidos del elector, número de DNI, sin que sea preciso aportar fotocopia del documento, fecha de nacimiento y firma. En el caso de las Elecciones al Parlamento Europeo, para los nacionales de otros países de la Unión Europea se sustituirá el número del DNI por el número de identidad de extranjero.

4. En el caso de las elecciones al Congreso de los Diputados y al Senado, será preciso que el avalista se encuentre inscrito como elector en la circunscripción correspondiente a la candidatura que pretenda avalar.

5. En el caso de la recogida de firmas de cargos electos para las elecciones al Parlamento Europeo previsto en el artículo 220.4 de la LOREG, bastará el nombre y apellidos del avalista, el número de DNI o de identidad de extranjero, el cargo que ocupa y la firma.

6. La recogida de avales mediante firma electrónica debe entenderse válida siempre que se ajuste a lo dispuesto por la Ley 59/2003, de 19 de diciembre, de firma electrónica, modificada por la Ley 56/2007, de 28 de diciembre, de Medidas de Impulso de la Sociedad de la Información. En consecuencia, las firmas deberán realizarse con un certificado electrónico de los reconocidos por la Sede electrónica del INE https://sede.ine.gob.es. A tal efecto, el representante de la candidatura o de la agrupación de electores deberá comunicar a la Junta Electoral competente el sistema de firma electrónica y de verificación de firma utilizado, que deberá incluir el sello o marca de tiempo en el que se realiza la firma. Se adjunta Anexo con los criterios estadísticos para las certificaciones por muestreo y especificaciones técnicas sobre los sistemas de firma y de verificación admisibles así como el diseño del esquema XML del fichero de firmas.

7. Ningún avalista puede prestar su firma a más de una candidatura para el proceso electoral.

8. En las elecciones al Congreso de los Diputados y al Senado, los partidos, federaciones o coaliciones que hubieran obtenido representación en alguna de las Cámaras de las Cortes Generales en la anterior convocatoria de elecciones no deberán proceder a la recogida de firmas establecida en el artículo 169.3 de la LOREG.

Sexto. Tramitación de las firmas recogidas.

1. Los representantes de las candidaturas deberán adjuntar los avales que hubieran recogido a la restante documentación necesaria para la presentación de candidaturas de conformidad con la legislación electoral.

2. La Junta Electoral competente remitirá las firmas presentadas a la Oficina del Censo Electoral para su verificación. En el caso de las elecciones al Congreso de los Diputados y al Senado, las firmas serán remitidas por la Junta Electoral Provincial a la Delegación Provincial correspondiente de la Oficina del Censo Electoral.

3. La Oficina del Censo Electoral realizará las comprobaciones pertinentes para verificar el número y la validez de los avales presentados. Deberá en todo caso realizar las operaciones necesarias para comprobar que ninguna persona hubiera avalado más de una candidatura. En el caso de que se verifique que un mismo elector figura como avalista de más de una candidatura, los avales de dicho elector no serán tenidos en cuenta para ninguna candidatura.

4. La Oficina del Censo Electoral, en función del número de candidaturas que deba comprobar y de los plazos perentorios para realizar dicha comprobación, podrá realizar esa operación mediante un sistema de muestreo aleatorio, conforme a los criterios técnicos previamente establecidos y comunicados posteriormente a la Junta Electoral competente junto a la certificación. En el caso de que mediante dicho recuento aleatorio se alcanzara un resultado negativo respecto al cumplimiento del requisito de firmas de apoyo de una candidatura, la Oficina del Censo Electoral deberá proceder a realizar la comprobación material de la validez de las firmas de esa candidatura.

5. La certificación de la Oficina del Censo Electoral, o de la Delegación Provincial correspondiente, de la comprobación realizada deberá ser remitida a la Junta Electoral competente en el plazo de un día después de la publicación de las candidaturas presentadas. Las Juntas competentes comunicarán a los representantes de las candidaturas afectadas, conforme establece el artículo 47.2 de la LOREG, las irregularidades en los avales presentados o la insuficiencia de estos, concediendo el plazo de subsanación de cuarenta y ocho horas previsto en el referido precepto.

Séptimo. Avales de los cargos electos.

1. En las elecciones al Parlamento Europeo, de acuerdo con el artículo 220.4 de la LOREG, los partidos, federaciones y coaliciones pueden sustituir el requisito señalado en el artículo 220.3 de la LOREG por las firmas de 50 cargos electos, ya sean Diputados, Senadores, Diputados españoles del Parlamento Europeo, miembros de las Asambleas Legislativas de las Comunidades Autónomas o miembros de las Corporaciones Locales. A estos efectos, los Alcaldes pedáneos son considerados miembros de las Corporaciones locales. Los miembros de las Juntas Vecinales sólo podrán avalar si, de conformidad con lo dispuesto en la legislación autonómica aplicable, hubieran sido elegidos por los vecinos.

2. Las firmas de los cargos electos deberán acompañarse de la certificación correspondiente del órgano del que formen parte los firmantes.

Octavo. Retirada del aval a una candidatura.

La retirada de un aval realizada con posterioridad a la presentación de una candidatura no tendrá efectos.

Noveno. Publicación en el BOE y entrada en vigor.

De acuerdo con el artículo 18.6 LOREG, la presente Instrucción se publicará en el «Boletín Oficial del Estado» y tendrá efectos a partir del día siguiente al de su publicación.

Palacio del Congreso de los Diputados, 15 de septiembre de 2011.–El Presidente de la Junta Electoral Central, Antonio Martín Valverde.

ANEXO A LA INSTRUCCIÓN 7/2011, DE 15 DE SEPTIEMBRE DE 2011, DE LA JUNTA ELECTORAL CENTRAL

I. Procedimiento para la certificación de firmas de candidaturas por muestreo

Se trata de determinar el tamaño de la muestra de las firmas que avalan a una candidatura de una circunscripción electoral, mediante la comprobación de la condición de electores de sus firmantes, con las suficientes garantías, sin necesidad de comprobarlas todas.

El modelo estadístico que se ajusta al problema planteado es el de una distribución hipergeométrica, para una población finita de tamaño N (el número de firmas presentadas) de las cuales una proporción P presenta una característica determinada (que son electores de la circunscripción).

El número de elementos que presenta la característica (el número de firmas realizadas por los electores) es NP y el de los que no N(1-P).

Este número se puede estimar mediante a partir de la proporción muestra obtenida con una muestra aleatoria de la población.

La confianza en el valor estimado se mide con el denominado intervalo de confianza, que determina los límites inferior y superior dentro de los cuales estarían los valores de las estimaciones que se obtendrían para el conjunto de todas las muestras posibles con un nivel de significación (expresado en tanto por ciento o en tanto por mil) predeterminado.

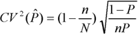
El problema a resolver consiste en calcular el tamaño de la muestra n necesario para estimar una característica que se presenta en la población en una proporción P con un nivel de precisión (CV) predeterminado, que para la distribución considerada es:

Imagen: /datos/imagenes/disp/2011/224/14814_001.png

Esta distribución estadística se puede aproximar mediante una distribución normal de media p y de varianza p*(1-p)/n.

Finalmente, los límites obtenidos se refieren al total multiplicándolos por el tamaño de la población N.

Habida cuenta que ningún elector podrá prestar su firma a más de una candidatura las certificaciones se harían después de eliminar a los firmantes que resultaran duplicados, considerando que se distribuyen aleatoriamente en la misma proporción en la muestra que en el total de los firmantes.

Recomendación importante: Teniendo en cuenta que algunos de los avales presentados pueden resultar inválidos se aconseja recoger entre un 10 y un 20 % más de los avales necesarios.

A modo de ejemplo, se exponen distintos supuestos para poder certificar que se supera el número total de firmas realizadas por electores mediante una estimación muestral con un nivel de confianza.

Candidatura de agrupaciones de electores al Parlamento Europeo:

El número de avalistas necesario es de 15.000 electores (artículo 220.3).

Número de firmas requeridas

Tamaño de la muestra

Tanto por mil de significación

Proporción muestral mínima

15.000

600

999

0,80

Lo que se interpreta en la forma siguiente:

Supongamos que se presentaran 20 mil firmas. La proporción de las firmas que deben tener la condición de electores para superar los 15.000 debería ser mayor o igual a 0,75. Para una proporción mínima mayor, por ejemplo de 0,80, bastaría con una muestra de 600 (un 4%) de los firmantes, para garantizar que la proporción de los que tienen la condición de elector supera ese porcentaje en el 999 por mil de los casos.

Si se rebajara el nivel de confianza al 99% entonces bastaría con una muestra de 350 avalistas.

Dependiendo del número de certificaciones que de requieran se puede optar por establecer un nivel de confianza mayor o menor.

Candidatura de agrupaciones de electores al Congreso y al Senado:

El número de avalistas necesario es del 1% de los electores (artículo 169.3). Aplicando el procedimiento a las provincias con el mayor y menor número de electores (Madrid con 45 mil firmas requeridas y 55 mil presentadas y Soria con 750 requeridas y 1.000 presentadas), resulta:

Número de firmas requeridas

Tamaño de la muestra

Tanto por mil de significación

Proporción muestral mínima

45.000

700

99

0,85

750

100

99

0,85

Candidatura de candidaturas que no obtuvieron representación en el Congreso o al Senado:

El problema es el mismo que el de las agrupaciones de electores, descrito en el apartado anterior, con la única diferencia de que el número de avalistas necesario es del 0,1 % de los electores (artículo 169.3).

II. Especificaciones técnicas para la recogida de avales de candidaturas con firma electrónica

1 1. Índice.

1. Índice.

2. Especificación del fichero con el aval firmado.

2.1 Introducción.

2.2 Formato.

2.3 Firma.

2.4 Nombre de los ficheros xml.

2.5 Formato del fichero zip.

2 2. Especificación del fichero con el aval firmado.

2.1 Introducción.

Los avales para las candidaturas electorales deberán presentarse en formato XML y firmados electrónicamente por el avalista. En este documento se detalla el formato del fichero xml a firmar, el tipo de firma a incorporar y el formato del fichero zip a entregar en la Junta Electoral competente.

2.2 Formato.

El formato del fichero sin firmar es el siguiente:

Imagen: /datos/imagenes/disp/2011/224/14814_002.png

La estructura y restricciones de contenido del fichero queda definido por el siguiente fichero xsd (XML Schema Definition).

Imagen: /datos/imagenes/disp/2011/224/14814_003.png

Imagen: /datos/imagenes/disp/2011/224/14814_004.png

Imagen: /datos/imagenes/disp/2011/224/14814_005.png

2.3 Firma.

El fichero a entregar deberá incorporar una firma XMLDsig. Esta firma se incorporará al propio fichero de aval, firmando los datos del nodo «avalcandidatura», esto es, una firma tipo «enveloped».

El fichero de aval firmado deberá verificar las especificaciones siguientes:

1. [XMLDSig] XML Signature Syntax and Processing.

2. [XADES] XML Advanced Electronic Signatures ETSI TS 101 903.

El fichero firmado deberá tener, por tanto, la estructura reflejada en el siguiente ejemplo:

Imagen: /datos/imagenes/disp/2011/224/14814_006.png

Imagen: /datos/imagenes/disp/2011/224/14814_007.png

2.4 Nombre de los ficheros xml.

El fichero anterior deberá almacenarse con el nombre siguiente NNNNNNNNN.xml donde NNNNNNNNN es el NIF/NIE de la persona que avala la candidatura y que además firma el aval. Esto es, es el NIF/NIE del certificado usado para firmar y el NIF/NIE del campo <ID>.

2.5 Formato del fichero zip.

Para cada tipo de elecciones, circunscripción y candidatura se formará un fichero zip con todos los avales correspondientes, con el siguiente nombre:

EEEEEE.CCCCCC.PPPPPP.zip, donde cada campo tiene el siguiente significado:

Campo

Descripción

EEEEEE

Nombre de elecciones. Sólo se admiten los valores especificados para la etiqueta <elecciones /> del xml de entrega. Éstos valores aparecen recogidos en el esquema.

CCCCCC

Nombre de la circunscripción. Sólo se admiten los valores especificados para la etiqueta <circunscripción /> del xml de entrega. Éstos valores aparecen recogidos en el esquema.

PPPPPP

Nombre de la candidatura. Debe coincidir con lo recogido en la etiqueta nombre. No hay limitación, únicamente la limitación de tamaño recogida en el esquema, 100 caracteres.

Así por ejemplo, para una candidatura de nombre Candidatura1, que presenta avales al Congreso y al Senado por la circunscripción de Almería, el nombre del fichero sería:

CONGRESO Y SENADO.Almería.Candidatura1.zip, y todos los ficheros xml del fichero zip deberán tener esos valores en las etiquetas correspondientes.

En el supuesto de candidaturas al Congreso y al Senado (elecciones=CONGRESO y SENADO) en las provincias insulares, dado que las circunscripciones de ambas elecciones son distintas, se deberán aportar dos ficheros zip, uno con los avales al Congreso para la circunscripción provincial y otro con los avales al Senado para la circunscripción de la isla o agrupación de islas por la que se pretenda la candidatura.

Agència Estatal Butlletí Oficial de l'Estat

Avda. de Manoteras, 54 - 28050 Madrid