Contingut no disponible en valencià

Us trobeu en

Documento BOE-A-2011-16758

Ley 15/2007, de 28 de diciembre, por la que se aprueban los Presupuestos Generales de la Comunidad Autónoma de Euskadi para el ejercicio 2008.

Publicado en:
«BOE» núm. 258, de 26 de octubre de 2011, páginas 111579 a 111705 (127 págs.)
Sección:
I. Disposiciones generales
Departamento:
Comunidad Autónoma del País Vasco
Referencia:
BOE-A-2011-16758
Permalink ELI:
https://www.boe.es/eli/es-pv/l/2007/12/28/15

TEXTO ORIGINAL

Se hace saber a todos los ciudadanos y ciudadanas de Euskadi que el Parlamento Vasco ha aprobado la siguiente Ley 15/2007, de 28 de diciembre, por la que se aprueban los Presupuestos Generales de la Comunidad Autónoma de Euskadi para el ejercicio 2008.

TÍTULO I
Aprobación y contenido de los Presupuestos Generales de Euskadi para el ejercicio 2008
Artículo 1. Aprobación.

1. Se aprueban los Presupuestos Generales de la Comunidad Autónoma de Euskadi para el ejercicio 2008 en los términos establecidos en la presente ley.

2. Se incorpora, a los efectos contemplados en el artículo 25.2.a) del Texto Refundido de la Ley de Principios Ordenadores de la Hacienda General del País Vasco, aprobado por el Decreto Legislativo 1/1997, de 11 de noviembre, el Presupuesto del Parlamento Vasco.

3. Se incorpora, a los efectos contemplados en el artículo 24 de la Ley 1/1988, de 5 de febrero, el Presupuesto del Tribunal Vasco de Cuentas Públicas.

4. Se aprueba e incorpora, a los efectos contemplados en el artículo 13 de la Ley 2/2004, de 25 de febrero, de Ficheros de Datos de Carácter Personal de Titularidad Pública y de Creación de la Agencia Vasca de Protección de Datos, el Presupuesto de la Agencia Vasca de Protección de Datos.

5. La presente ley será de aplicación a las entidades que puedan crearse con posterioridad al 31 de diciembre de 2007 y a su correspondiente presupuesto.

Artículo 2. Presupuesto de la Administración de la Comunidad Autónoma.

1. El estado de gastos del presupuesto de la Administración de la Comunidad Autónoma de Euskadi asciende en cuanto a los créditos de pago a la cantidad total de 9.939.662.000 euros y en cuanto a los créditos de compromiso a la cantidad total de 2.049.990.831 euros, cuyo desglose en ejercicios presupuestarios posteriores al 2008 será el que se detalla en el anexo I.

2. El estado de ingresos del presupuesto de la Administración de la Comunidad Autónoma de Euskadi asciende a la cantidad total de 9.939.662.000 euros.

3. La dotación presupuestaria de la Comunidad Autónoma del País Vasco a la Universidad del País Vasco, de conformidad con lo que disponen los artículos 90 a 93 de la Ley 3/2004, de 25 de febrero, del Sistema Universitario Vasco, se fija en la cantidad de 304.193.261 euros, que se desglosa en los siguientes conceptos:

– Aportación ordinaria por importe de 252.801.261 euros para gastos corrientes y de 12.000.000 euros para operaciones de capital.

– Aportación complementaria para la financiación de contratos-programa por importe de 11.453.000 euros.

– Créditos para dotar el programa plurianual de inversión e infraestructuras por importe de 18.000.000 euros.

– Créditos para la financiación de complementos retributivos individuales por importe de 9.939.000 euros.

Artículo 3. Presupuestos de los organismos autónomos.

1. En los estados de gastos de los presupuestos de los organismos autónomos se conceden créditos de pago y de compromiso por los siguientes importes:

– Al Instituto de Alfabetización y Reeuskaldunización de Adultos 42.900.000 euros en cuanto a los créditos de pago y 20.850.000 euros en cuanto a los créditos de compromiso, cuyo desglose en ejercicios presupuestarios posteriores al 2008 será el que se detalla en el anexo I de esta ley.

– A la Academia de Policía del País Vasco 16.905.000 euros en cuanto a los créditos de pago y 199.400 euros en cuanto a los créditos de compromiso, cuyo desglose en ejercicios posteriores al 2008 será el que se detalla en el anexo I de esta ley.

– Al Instituto Vasco de Administración Pública 23.627.000 euros en cuanto a los créditos de pago y 1.669.399 euros en cuanto a los créditos de compromiso, cuyo desglose en ejercicios posteriores al 2008 será el que se detalla en el anexo I de esta ley.

– Al Instituto Vasco de Estadística 13.344.000 euros en cuanto a los créditos de pago y 896.539 euros en cuanto a los créditos de compromiso, cuyo desglose en ejercicios posteriores al 2008 será el que se detalla en el anexo I de esta ley.

– A Emakunde-Instituto Vasco de la Mujer 6.613.000 euros en cuanto a los créditos de pago y 248.775 euros en cuanto a los créditos de compromiso, cuyo desglose en ejercicios posteriores al 2008 será el que se detalla en el anexo I de esta ley.

– A Osalan-Instituto Vasco de Seguridad y Salud Laborales 19.287.000 euros en cuanto a los créditos de pago y 605.000 euros en cuanto a los créditos de compromiso, cuyo desglose en ejercicios posteriores al 2008 será el que se detalla en el anexo I de esta ley.

2. Los estados de ingresos de los presupuestos de los organismos autónomos mencionados ascienden al mismo importe total que los créditos de pago consignados para cada uno de ellos. En particular, se incluyen 305.228 euros en el estado de ingresos del Instituto Vasco de Administración Pública, 100.000 euros en el estado de ingresos de Emakunde-Instituto Vasco de la Mujer y 856.943 euros en el estado de ingresos de Osalan-Instituto Vasco de Seguridad y Salud Laborales, correspondientes a remanentes de tesorería propios.

Artículo 4. Presupuesto del ente público Radio Televisión Vasca y de sus sociedades de gestión

1. En los presupuestos de explotación y de capital del ente público Radio Televisión Vasca correspondientes al ejercicio 2008 se aprueban dotaciones por importes de 136.302.356 euros y de 13.530.445 euros, respectivamente, estimándose los recursos en idénticas cuantías.

2. En los presupuestos de las sociedades públicas de gestión de los servicios públicos de radio y televisión se aprueban dotaciones por los siguientes importes:

Sociedades

Pto. de explotación

Pto. de capital

Televisión Vasca, S.A.

140.993.923

13.047.835

Radio Difusión Vasca, S.A.

19.407.653

300.000

Radio Vitoria, S.A.

4.301.958

45.900

EITBNET SA

5.269.096

215.515

3. Los recursos estimados de las citadas sociedades públicas de gestión ascienden al mismo importe total que las dotaciones aprobadas para cada sociedad.

4. De conformidad con el artículo 44 de la Ley 5/1982, de 20 de mayo, de creación del ente público Radio Televisión Vasca, se aprueba el presupuesto consolidado del ente público Radio Televisión Vasca y de las sociedades públicas de gestión de los servicios públicos de radio y televisión, que asciende, en cuanto a las dotaciones, a la cantidad total de 175.839.098 euros correspondientes al presupuesto de explotación y 13.609.250 euros correspondientes al presupuesto de capital, estimándose los recursos en idénticas cuantías.

Artículo 5. Presupuesto del Ente Vasco de la Energía.

En los presupuestos de explotación y de capital del Ente Vasco de la Energía se aprueban dotaciones por importes de 31.103.650 euros y de 54.574.894 euros, respectivamente, estimándose los recursos en idénticas cuantías.

Artículo 6. Presupuesto del ente público Osakidetza-Servicio Vasco de Salud.

En los presupuestos de explotación y de capital del ente público Osakidetza-Servicio Vasco de Salud se aprueban dotaciones por importes de 2.168.236.212 euros y de 128.440.504 euros, respectivamente, estimándose los recursos en idénticas cuantías. Por su parte, el estado de compromisos futuros asciende a un importe de 93.786.952 euros, cuyo desglose en ejercicios presupuestarios posteriores al 2008 será el que se establece en el anexo I.

Artículo 7. Presupuesto de Uniqual-Agencia de Evaluación de la Calidad y Acreditación del Sistema Universitario Vasco.

En los presupuestos de explotación y de capital de Uniqual-Agencia de Evaluación de la Calidad y Acreditación del Sistema Universitario Vasco se aprueban dotaciones por importes de 1.748.000 euros y de 52.000 euros, respectivamente, estimándose los recursos en idénticas cuantías.

Artículo 8. Presupuesto del ente público Red Ferroviaria Vasca.

En los presupuestos de explotación y de capital del ente público Red Ferroviaria Vasca se aprueban dotaciones por importes de 68.791.366 euros y de 82.679.000 euros, respectivamente, estimándose los recursos en idénticas cuantías. Por su parte, el estado de compromisos futuros asciende a un importe de 234.550.000 euros, cuyo desglose en ejercicios presupuestarios posteriores al 2008 será el que se establece en el anexo I.

Artículo 9. Presupuesto de la Agencia Vasca del Agua.

En los presupuestos de explotación y de capital de la Agencia Vasca del Agua se aprueban dotaciones por importes de 28.918.487 euros y de 51.459.246 euros, respectivamente, estimándose los recursos en idénticas cuantías. Por su parte, el estado de compromisos futuros asciende a un importe de 76.967.022 euros, cuyo desglose en ejercicios presupuestarios posteriores al 2008 será el que se establece en el anexo I.

Artículo 10. Presupuestos del resto de sociedades públicas.

1. En los presupuestos de explotación y de capital de las sociedades públicas no incluidas en el artículo 4 de la presente ley, se aprueban para cada sociedad las dotaciones que se conceden por un importe total de 870.076.587 euros y 393.867.559 euros, respectivamente, y por un importe total de 449.081.988 euros en cuanto al estado de compromisos futuros, cuyo desglose en ejercicios posteriores al 2008 será el que se detalla en el anexo I.

2. Los recursos estimados de las citadas sociedades públicas ascienden al mismo importe total que las dotaciones aprobadas para cada sociedad.

3. El importe de las dotaciones y de los recursos estimados en los presupuestos de explotación y de capital de cada sociedad se especifican en el anexo II.

Artículo 11. Prestación de garantías y reafianzamiento.

1. Durante el ejercicio económico 2008, la Administración de la Comunidad Autónoma podrá prestar garantías por razón de operaciones de cualquier naturaleza por un importe máximo de 50.000.000 de euros.

2. Asimismo, durante el ejercicio 2008, la Administración de la Comunidad Autónoma podrá reafianzar los avales otorgados por las sociedades de garantía recíproca y garantizar los préstamos concedidos por la sociedad Luzaro EFC a las empresas vascas como instrumentos que les faciliten la consecución de fondos propios o la financiación a largo plazo, en el marco de los correspondientes convenios suscritos con esas entidades.

Igualmente, la Administración de la Comunidad Autónoma podrá garantizar la financiación otorgada por el Banco Europeo de Inversiones, el Fondo Europeo de Inversiones u otras instituciones financieras a Luzaro EFC o entidades colaboradoras y cuyo destinatario final sean las empresas vascas, en el marco de los correspondientes convenios suscritos con esas entidades.

Artículo 12. Operaciones de endeudamiento y financieras.

1. El endeudamiento formalizado por la Administración de la Comunidad Autónoma, cualquiera que sea la forma en que haya sido documentado, podrá incrementarse con la limitación de que el saldo al cierre del ejercicio no supere el correspondiente saldo al comienzo del mismo en más de 25.000.000 de euros.

2. El endeudamiento externo formalizado por las entidades que se rijan por el derecho privado, cualquiera que sea la forma en que haya sido documentado, podrá incrementarse con la limitación de que el saldo al cierre del ejercicio no supere el correspondiente saldo al comienzo del mismo en más de 100.000.000 euros.

3. A dichos importes no se imputarán las operaciones de crédito, por plazo no superior a un año, destinadas a necesidades transitorias de tesorería.

TÍTULO II
El estado de gastos
CAPÍTULO I
Tipos de créditos. Especialidades
Artículo 13. Créditos ampliables y medios de financiación.

1. Sin perjuicio de lo dispuesto en los artículos 24, 25 y 26 del texto refundido de las disposiciones legales vigentes sobre Régimen Presupuestario de Euskadi, aprobado por el Decreto Legislativo 1/1994, de 27 de septiembre, durante el 2008 tendrán carácter ampliable, hasta una suma igual a las obligaciones cuyo reconocimiento sea preceptivo, los créditos que, incluidos en los presupuestos de la Administración de la Comunidad Autónoma de Euskadi y de sus organismos autónomos, se detallan en el anexo III de esta ley.

2. Los incrementos de los créditos calificados de ampliables, así como del resto de los créditos que se citan, serán financiados de la siguiente manera:

a) Los que estén en función de la efectiva recaudación de derechos afectados se financiarán con el exceso de ingresos percibidos sobre los inicialmente previstos.

b) Los que produzcan una correlativa disminución del cupo a pagar al Estado por los territorios históricos serán financiados por éstos por igual importe al de aquella disminución, de acuerdo con los coeficientes de aportación establecidos para 2008.

c) Los que no tengan asignada una forma específica de financiación serán financiados de la forma que disponga el Consejo de Gobierno, a propuesta del Departamento de Hacienda y Administración Pública.

3. Adicionalmente, la ampliación de los créditos ampliables que figuran en el estado de gastos de la sección «Gastos Diversos Departamentos» y, en su caso, las necesidades de financiación derivadas de la ejecución de planes y programas de apoyo financiero aprobados por el Consejo Vasco de Finanzas Públicas, podrá llevarse a cabo por el Consejo de Gobierno con cargo a remanentes de tesorería.

Artículo 14. Créditos de compromiso.

Durante el ejercicio 2008, el Departamento de Hacienda y Administración Pública podrá adecuar, mediante las modificaciones que fueran precisas, el importe de los créditos de compromiso generados en ejercicios anteriores correspondientes a convenios de colaboración y contratos relacionados con la instrumentación de operaciones financieras o de cobertura de riesgos cuyo importe anual esté en función de la evolución de los tipos de interés o de otros indicadores similares.

Artículo 15. Créditos de personal.

A los efectos señalados en el artículo 66.3 del texto refundido de las disposiciones legales vigentes sobre Régimen Presupuestario de Euskadi, aprobado por el Decreto Legislativo 1/1994, de 27 de septiembre, con vigencia exclusiva para el ejercicio 2008, para cada sección, tendrán carácter vinculante a nivel de concepto los gastos comprendidos en los conceptos 122, 123, 131, 132, 161 y 162, y a nivel de subconcepto los gastos comprendidos en el subconcepto 16111 correspondientes al capítulo I de los presupuestos de la Administración General de la Comunidad Autónoma de Euskadi y de los organismos autónomos administrativos.

Artículo 16. Plantillas presupuestarias.

1. De conformidad con lo dispuesto en los artículos 20 y 21 de la Ley 6/1989, de 6 de julio, de la Función Pública Vasca, se aprueban las plantillas del personal eventual, funcionario y laboral de la Administración de la Comunidad Autónoma y sus organismos autónomos administrativos, clasificados por grupos, cuerpos, escalas y categorías, con adscripción inicial a los programas y secciones presupuestarias conforme a lo dispuesto en el «Anexo de personal» a estos presupuestos.

2. A los efectos de lo dispuesto en el artículo 22 del texto refundido de las disposiciones legales vigentes sobre Régimen Presupuestario de Euskadi, aprobado por el Decreto Legislativo 1/1994, de 27 de septiembre, el carácter limitativo en lo concerniente a la plantilla presupuestaria de la Administración de la Comunidad Autónoma y de los organismos autónomos administrativos se entenderá referido al total agregado de plazas de personal funcionario, personal laboral fijo y personal eventual y para el conjunto de dichas entidades.

3. Con carácter general, la modificación de las plantillas presupuestarias mediante la creación de nuevas dotaciones de personal requerirá la consiguiente amortización de las dotaciones necesarias de manera que no represente superior coste anual bruto.

4. No obstante lo establecido en el párrafo anterior, el Consejo de Gobierno, a propuesta del Departamento de Hacienda y Administración Pública, podrá autorizar la creación de nuevas dotaciones de personal en el supuesto de modificaciones en las relaciones de puestos de trabajo derivadas de la efectiva realización de traspasos de competencias, la creación de nuevos órganos y servicios, la asunción de la gestión directa de servicios externalizados o subcontratados, la promulgación de normas con rango de ley o la aprobación por el Gobierno de planes, programas y actuaciones significativas de carácter no coyuntural, siempre que cuenten con la adecuada financiación y previo informe favorable del órgano competente en materia de función pública en el que se haga constar la imposibilidad de atender las nuevas necesidades con la readscripción de puestos de trabajo, la reasignación de efectivos u otras medidas de racionalización y ordenación de recursos humanos.

5. Se autoriza al Departamento de Hacienda y Administración Pública para realizar en los créditos de gastos de personal las modificaciones presupuestarias que sean necesarias para su ajuste a las alteraciones de las plantillas que resulten aprobadas con arreglo a lo dispuesto en el presente artículo.

Artículo 17. Créditos para gastos de funcionamiento.

1. A los efectos de lo dispuesto en el artículo 66.3 del texto refundido de las disposiciones legales vigentes sobre Régimen Presupuestario de Euskadi, aprobado por el Decreto Legislativo 1/1994, de 27 de septiembre, con vigencia exclusiva para el ejercicio 2008, tendrán carácter limitativo y vinculante a nivel de capítulo para cada sección y programa, en cuanto a su clasificación económica, los créditos de pago incluidos en los estados de gastos de los presupuestos de la Administración de la Comunidad Autónoma y de sus organismos autónomos administrativos correspondientes al capítulo II, gastos de funcionamiento, excepto los calificados como gastos reservados en el pormenor de gastos del Presupuesto, no siendo necesarias, por tanto, transferencias de crédito a nivel inferior a capítulo.

2. No obstante lo establecido en el párrafo anterior, tendrán carácter vinculante a nivel de concepto los gastos comprendidos en el concepto 241 correspondientes al Programa 4112 «Financiación y Contratación Sanitaria».

Artículo 18. Créditos para transferencias y subvenciones para operaciones corrientes y de capital.

1. A los efectos de lo dispuesto en el artículo 66.3 del texto refundido de las disposiciones legales vigentes sobre Régimen Presupuestario de Euskadi, aprobado por el Decreto Legislativo 1/1994, de 27 de septiembre, con vigencia exclusiva para el ejercicio 2008, tendrán carácter limitativo y vinculante a nivel de artículo para cada sección y programa, en cuanto a su clasificación económica, los créditos de pago incluidos en los estados de gastos de los presupuestos de la Administración de la Comunidad Autónoma y de sus organismos autónomos administrativos correspondientes a los capítulos IV y VII, transferencias y subvenciones para gastos corrientes y transferencias y subvenciones para operaciones de capital, respectivamente.

2. No obstante lo establecido en el párrafo anterior:

a) Tendrán carácter vinculante a nivel de capítulo, sección y programa los créditos de pago correspondientes a los Programas 3211 «Empleo» y 3231 «Formación».

b) Tendrán carácter vinculante a nivel de capítulo, sección, servicio y programa los créditos de pago correspondientes al Programa 7111 «Agricultura y Desarrollo Rural y Litoral».

CAPÍTULO II
Régimen de los créditos. Modificaciones
Artículo 19. Régimen de transferencias de créditos.

1. Durante el ejercicio 2008, el régimen de transferencias de créditos de los Presupuestos Generales de la Comunidad Autónoma y sus organismos autónomos se regirá por el contenido del texto refundido de las disposiciones legales vigentes sobre Régimen Presupuestario de Euskadi, aprobado por el Decreto Legislativo 1/1994, de 27 de septiembre, sin perjuicio de las particularidades que se indican en los párrafos siguientes.

2. El régimen de transferencias de créditos definido en el texto refundido de las disposiciones legales vigentes sobre Régimen Presupuestario de Euskadi, aprobado por el Decreto Legislativo 1/1994, de 27 de septiembre, será de aplicación tanto al Presupuesto Ordinario del 2008 como a los remanentes incorporados de ejercicios anteriores, sin perjuicio de lo dispuesto en el párrafo 1 del artículo 88 de la citada norma.

3. No serán de aplicación las limitaciones generales del régimen de transferencias del artículo 69 del texto refundido de las disposiciones legales vigentes sobre Régimen Presupuestario de Euskadi, aprobado por el Decreto Legislativo 1/1994, de 27 de septiembre, a aquellas que tengan su origen en las partidas afectas a los planes y programas de apoyo financiero aprobados por el Consejo Vasco de Finanzas Públicas, ni a las destinadas a las mismas. Dentro de tales créditos podrán realizarse todo tipo de transferencias sin limitación alguna.

Artículo 20. Otras modificaciones.

1. Las variaciones de presupuestos de las sociedades públicas cuando aquéllas vengan producidas por el cumplimiento de un acuerdo del Consejo de Gobierno por el cual se apruebe la instrumentación de las actuaciones referidas al Fondo de Proyectos Estratégicos o vengan producidas por cualesquiera planes, programas y actuaciones significativas aprobadas por el Gobierno serán autorizadas por éste a propuesta del Departamento de Hacienda y Administración Pública.

2. A los efectos contemplados en el artículo 98 del texto refundido de las disposiciones legales vigentes sobre Régimen Presupuestario de Euskadi, aprobado por el Decreto Legislativo 1/1994, de 27 de septiembre, en lo que respecta a las sociedades públicas participadas por Sprilur, SA, será de aplicación al importe conjunto correspondiente a todas.

3. A los efectos de lo dispuesto en el artículo 54 del texto refundido de las disposiciones legales vigentes sobre Régimen Presupuestario de Euskadi, aprobado por el Decreto Legislativo 1/1994, de 27 de septiembre, modificado por la disposición final tercera de la Ley 10/1996, de 27 de diciembre, por la que se aprueban los Presupuestos Generales de la Comunidad Autónoma de Euskadi para el ejercicio 1997, la suma de las inversiones en inmovilizado material e inmaterial será limitativa a nivel global para el conjunto de todas las sociedades públicas participadas por Sprilur, SA.

CAPÍTULO III
Régimen de retribuciones y haberes pasivos
Artículo 21. Incremento de retribuciones.

1. Las retribuciones anuales íntegras del personal al servicio de la Administración General de la Comunidad Autónoma, organismos autónomos y entes públicos de derecho privado no sujeto a régimen laboral con efectos de 1 de enero de 2008 no podrán experimentar un crecimiento global superior al 2 % con respecto a las establecidas en el ejercicio de 2007, en términos de homogeneidad para los dos períodos de comparación, por lo que respecta tanto a efectivos de personal como a la antigüedad y al régimen de jornada del mismo.

2. Se entiende como personal no laboral el personal funcionario de carrera e interino al servicio de la Administración General de la Comunidad Autónoma, organismos autónomos y entes públicos de derecho privado, así como el personal estatutario dependiente del ente público Osakidetza-Servicio Vasco de Salud.

3. Las retribuciones del personal al servicio de la Administración de Justicia se regirán por su normativa específica.

4. Lo dispuesto en el párrafo 1 debe entenderse sin perjuicio de aquellas adecuaciones en las retribuciones complementarias que con carácter singular y excepcional resulten imprescindibles por una modificación en el contenido del puesto de trabajo, por la variación del número de efectivos asignados a cada programa o por el grado de consecución de los objetivos fijados al mismo. Asimismo se entenderá sin perjuicio de la aplicación de los sistemas de organización y clasificación de puestos de trabajo, incluyendo la aplicación de éstos al personal que acceda o haya accedido a las administraciones públicas vascas en virtud de transferencias, o de la adecuación de las particularidades sectoriales específicas derivadas de la periodificación, reestructuración o adaptación de los conceptos retributivos a la nueva estructura retributiva.

5. De conformidad con lo establecido en los párrafos anteriores, las retribuciones básicas a percibir por el personal no sujeto a régimen laboral serán las que a continuación se reflejan de acuerdo a los diferentes conceptos retributivos:

a) El sueldo y los trienios que correspondan al grupo en que se halle clasificado el cuerpo o escala a que pertenezca, de acuerdo con las siguientes cuantías referidas a doce mensualidades:

Grupo/Subgrupo

Sueldo

Trienios

A1

13.621,32

523, 56

A2

11.560,44

419, 04

B

10.032,96

365, 16

C1

8.617, 68

314, 64

C2

7.046, 40

210, 24

E

6.433, 08

157, 80

b) Las pagas extraordinarias, en los meses de junio y diciembre, con la cuantía de una mensualidad de sueldo y trienios y el importe del complemento de destino mensual que perciba.

6. A efectos de lo dispuesto en el apartado anterior, las retribuciones a percibir por los funcionarios públicos que hasta la Ley 9/2006, de 28 de diciembre, por la que se aprueban los Presupuestos Generales de la Comunidad Autónoma de Euskadi para el ejercicio 2007, han venido referenciadas a los grupos y subgrupos de titulación previstos en el artículo 43 de la Ley 6/1989, de 6 de julio, de la Función Pública Vasca, pasan a estar referenciadas a los grupos de clasificación profesional establecidos en el artículo 76 y disposición transitoria tercera de la Ley 7/2007, de 2 de abril, del Estatuto Básico del Empleado Público, sin experimentar otras variaciones que las derivadas de los incrementos previstos en esta ley. Las equivalencias entre ambos sistemas de clasificación son las siguientes:

Ley 6/1989

Ley 7/2007

Grupo A.

Subgrupo A1.

Grupo B.

Subgrupo A2.

Grupo C.

Subgrupo C1.

Grupo D.

Subgrupo C2.

Grupo E.

Agrupaciones profesionales.

7. De conformidad con el artículo 79.1.a) de la Ley 6/1989, de 6 de julio, de la Función Pública Vasca, la cuantía anual del complemento de destino correspondiente a cada nivel de puesto de trabajo será la siguiente:

Nivel

Cuantía anual

30

16.324,08

29

14.509,95

28

12.968,45

27

11.517,42

26

10.157,20

25

8.796, 97

24

8.252, 66

23

7.663, 41

22

7.119, 11

21

6.575, 31

20

6.121, 91

19

5.758, 98

18

5.396, 35

17

5.078, 39

16

4.761, 26

15

4.443, 72

14

4.126, 59

13

3.808, 96

12

3.491, 91

11

3.174, 27

10

2.922, 18

9

2.712, 50

8

2.544, 56

8. Adicionalmente a lo previsto en el párrafo primero de este artículo, la masa salarial del personal no sujeto a régimen laboral experimentará un incremento del 1 % que se destinará al aumento del complemento específico, o concepto adecuado, con el objeto de lograr, progresivamente en sucesivos ejercicios, una acomodación de tales complementos que permita su percepción en catorce pagas al año, doce ordinarias y dos adicionales en los meses de junio y diciembre.

La cantidad resultante será adicionada al complemento específico anual que se percibirá distribuyéndose en catorce pagas, de las que doce serán iguales y de percibo mensual y las dos restantes, que se percibirán en junio y diciembre, en los términos que se acuerden en la Mesa General de Negociación y, en su defecto, serán de un cincuenta por ciento de la percibida mensualmente. En el caso de que el complemento específico, o concepto adecuado, se devengue en catorce mensualidades, la cantidad resultante será distribuida entre dichas mensualidades.

9. La masa salarial del personal al servicio de la Administración General de la Comunidad Autónoma y sus organismos autónomos y de los entes públicos de derecho privado y sociedades públicas sometido a régimen laboral con fecha 1 de enero de 2008 no podrá experimentar un crecimiento global superior al 2 % con respecto a la establecida en el ejercicio de 2007, sin perjuicio del que pudiera derivarse de la modificación en el contenido del puesto de trabajo, de la variación del número de efectivos asignados a cada programa, del grado de consecución de los objetivos fijados al mismo, o de la modificación de los sistemas de organización del trabajo o clasificación profesional.

Se entiende por masa salarial del personal sometido a régimen laboral el conjunto de las retribuciones salariales y extrasalariales y los gastos de acción social devengados durante 2007 por el personal afectado, exceptuándose, en todo caso:

a) Las prestaciones e indemnizaciones de la Seguridad Social.

b) Las cotizaciones al sistema de la Seguridad Social a cargo del empleador.

c) Las indemnizaciones correspondientes a traslados o despidos.

d) Las indemnizaciones por gastos realizados por el trabajador.

10. Lo previsto en el párrafo anterior representa el límite máximo de la masa salarial correspondiente a 2008, cuya distribución y aplicación individual se producirá a través de la negociación colectiva.

11. Las variaciones de la masa salarial se calcularán en términos de homogeneidad para los dos períodos objeto de comparación, en lo que respecta tanto a efectivos de personal y antigüedad del mismo como al régimen de jornada, trabajo y resto de condiciones laborales.

12. Con independencia de lo anterior, la masa salarial del personal laboral experimentará el incremento necesario para hacer posible la aplicación al mismo, según su categoría, de una cuantía anual equivalente a la que resulte para el personal incluido en el párrafo 2, de acuerdo con lo dispuesto en el párrafo 8 del presente artículo.

13. Sobre el incremento general de retribuciones previsto en los apartados precedentes, la Administración General de la Comunidad Autónoma y sus organismos autónomos, los entes públicos de derecho privado y las sociedades públicas podrán destinar hasta un 0,5 por ciento adicional de su masa salarial a financiar aportaciones a planes de pensiones de empleo o contratos de seguros colectivos que incluyan la cobertura de la contingencia de jubilación, para el personal incluido en sus ámbitos.

14. Para el cálculo de los límites a que se refieren los párrafos anteriores, se aplicará el porcentaje sobre el gasto correspondiente al conjunto de las retribuciones devengadas por el personal no sujeto a régimen laboral en los siguientes conceptos retributivos: retribuciones básicas, complemento de destino, complemento específico y complemento de productividad o conceptos análogos; y la masa salarial del personal sometido a régimen laboral definida en el párrafo 9, sin computar a estos efectos los gastos de acción social.

15. Las retribuciones para el ejercicio 2008 del lehendakari, vicepresidente, consejeros, altos cargos y asimilados podrán, en su caso y como máximo, ser incrementadas, en relación con las vigentes a 31 de diciembre de 2007, en el porcentaje de crecimiento global que con carácter común se aplique a las retribuciones anuales íntegras del personal al servicio de la Administración General de la Comunidad Autónoma y sus organismos autónomos no sujeto a régimen laboral. En todo caso, a los efectos de respetar la estructura retributiva y en orden a mantener la categoría y cargo que les corresponde, se les garantizará que, como mínimo, percibirán las retribuciones equivalentes a las previstas como máximas con carácter general para los funcionarios de máximo nivel.

16. Las retribuciones del personal eventual que no resulten equivalentes a las fijadas para el personal descrito en el párrafo primero de este artículo experimentarán un crecimiento idéntico al del personal al que se encuentren asimiladas, salvo aquéllas cuya cuantía sea fija, en cuyo caso se aplicará el incremento señalado en el párrafo anterior.

17. Los complementos personales y transitorios, así como las indemnizaciones por razón del servicio, se regirán por sus normativas específicas.

Artículo 22. Personal de la Ertzaintza.

1. De conformidad con el artículo 74.1.a) de la Ley 4/1992, de 17 de julio, de Policía del País Vasco, la cuantía anual del complemento de destino correspondiente a cada nivel de categoría será la siguiente:

Nivel

Cuantía anual

1

4.784, 02

2

5.600, 92

3

5.975, 10

4

8.274, 39

5

9.066, 47

6

10.818,81

7

11.567,69

8

13.433,93

2. El conjunto íntegro de retribuciones a percibir por la Ertzaintza se determinará por el Consejo de Gobierno. En todo caso, les serán de aplicación el contenido y los criterios establecidos en el artículo anterior.

Artículo 23. Requisitos para la firma de los convenios colectivos.

1. Los convenios colectivos, las revisiones salariales o los acuerdos de adhesión o extensión en todo o en parte a otros convenios ya existentes, que afecten al personal laboral de la Administración General de la Comunidad Autónoma y sus organismos autónomos, se aprobarán por el Consejo de Gobierno, previo informe del Departamento de Hacienda y Administración Pública. Cuando se refieran al personal laboral dependiente de entes públicos de derecho privado o sociedades públicas requerirán, con carácter previo a su firma, el informe favorable del Departamento de Hacienda y Administración Pública.

2. A los efectos previstos en el párrafo anterior, se remitirá al Departamento de Hacienda y Administración Pública el correspondiente proyecto de acuerdo, acompañado de la cuantificación cifrada de la masa salarial y de las retribuciones del año 2007 y de la masa salarial y de las retribuciones previstas para el año 2008, así como la valoración de todos los aspectos económicos contemplados en dicho proyecto. El citado departamento emitirá, en el plazo máximo de 15 días a partir del siguiente al de la recepción de la citada documentación, el informe que le compete, que hará referencia, en lo que a sus aspectos económicos se refiere, a aquellos extremos de los que se deriven consecuencias en materia de gasto público, sin perjuicio del control económico establecido en la Ley 14/1994, de 30 de junio, de Control Económico y Contabilidad de la Comunidad Autónoma de Euskadi.

Artículo 24. Personal directivo de las sociedades públicas y entes públicos de derecho privado de la Comunidad Autónoma.

1. La cuantía del salario máximo anual que por todos los conceptos, incluidos los incentivos de cuantía no garantizada, perciba el personal a que se refiere este artículo no podrá exceder en ningún caso de las retribuciones íntegras anuales que corresponden a un consejero del Gobierno Vasco.

2. En cumplimiento de lo preceptuado en el párrafo 2 del artículo 4 de la Ley 14/1988, de 28 de octubre, de Retribuciones de Altos Cargos, los criterios para la evaluación y concesión de incentivos vendrán determinados por el cumplimiento de los presupuestos anuales de cada sociedad o ente público y de los objetivos cualitativos contenidos en la memoria anual que acompaña a éstos en cada ejercicio, así como por la eficacia en el cumplimiento del plan de gestión anual de la entidad en los términos que establece el Decreto 130/1999, de 23 de febrero, por el que se regula el estatuto personal de los directivos de los entes públicos de derecho privado y de las sociedades públicas.

3. Los órganos de gobierno y administración competentes de cada sociedad o ente público podrán determinar la forma y la cadencia en la que estos incentivos puedan ser abonados.

Artículo 25. Créditos de haberes pasivos.

1. Las pensiones y otros derechos de carácter pasivo se harán efectivos en los supuestos y cuantías que procedan de conformidad con lo dispuesto en la normativa específica vigente.

2. Las pensiones por haberes pasivos devengadas en aplicación del Decreto Legislativo 1/1986, de 13 de mayo, por el personal que hubiere cubierto los periodos de carencia exigidos, se incrementarán con efecto 1 de enero de 2008 en un porcentaje del dos por ciento (2%).

CAPÍTULO IV
Módulo económico de sostenimiento de los centros educativos concertados
Artículo 26. Módulo económico de sostenimiento de los centros educativos concertados.

1. Los componentes del módulo y sus respectivos importes por cada nivel educativo son los fijados en el anexo IV de esta ley.

2. Los módulos económicos especificados en el anexo IV son topes económicos máximos en los que están incluidos los gastos de personal docente y no docente.

3. No obstante, en los niveles afectados por el sistema de pago delegado el concepto de antigüedad a los trabajadores por cuenta ajena y cooperativistas será abonado en función de la antigüedad real de cada profesor.

Asimismo, la cotización a la Seguridad Social para todo el colectivo incluido en el sistema de pago delegado se realizará según los tipos de cotización que anualmente se determinen en la Ley de Presupuestos Generales del Estado.

TÍTULO III
El estado de ingresos
CAPÍTULO I
Aportaciones de las diputaciones forales
Artículo 27. Aportaciones de las diputaciones forales.

Durante el ejercicio 2008, las aportaciones de las diputaciones forales al sostenimiento de los créditos consignados en el presupuesto de la Administración de la Comunidad Autónoma ascenderán a 8.978.148.860 euros, de conformidad con la metodología aprobada por la Ley 2/2007, de 23 de marzo.

Artículo 28. Coeficientes de aportación.

La aportación de cada territorio histórico será la resultante de aplicar a la cantidad consignada en el artículo anterior los porcentajes siguientes:

Álava: 16,95 %.

Bizkaia: 50,10 %.

Gipuzkoa: 32,95 %.

CAPÍTULO II
Normas de carácter tributario
Artículo 29. Tasas.

1. Las tasas de la Hacienda General del País Vasco que sean de cuantía fija, por no estar fijadas en un porcentaje de la base o no estar ésta valorada en unidades monetarias, se elevan hasta la cantidad que resulte de la aplicación del coeficiente uno coma cero dos (1,02) de la cuantía que resultaba exigible en el año 2007.

2. Una vez aplicado el coeficiente anteriormente indicado, las tasas con dos decimales se ajustarán por defecto si el tercer decimal es inferior a cinco, y por exceso en caso contrario.

En el caso de las tasas con seis decimales, se ajustarán por defecto si el séptimo decimal es inferior a cinco, y por exceso en caso contrario.

TÍTULO IV
Normas de autorización del gasto y de contratación
Artículo 30. Normas de autorización del gasto.

1. Será precisa la autorización del gasto por el Consejo de Gobierno cuando aquél exceda de 5.000.000 de euros, cualquiera que sea la naturaleza del crédito a cuyo cargo se realice, salvo que se trate de transferencias a las entidades integradas en el sector público de la Comunidad Autónoma de Euskadi o subvenciones nominativamente asignadas en los Presupuestos, en cuyo caso no se precisará de tal autorización.

2. Los gastos realizados con cargo a los presupuestos de los organismos autónomos se autorizarán por el consejero del departamento al que estén adscritos cuando excedan de 1.000.000 de euros, o, en el caso del párrafo anterior, por el Consejo de Gobierno.

Artículo 31. Normas de contratación.

En materia de contratación, corresponderá al Consejo de Gobierno la autorización de los contratos cuyo presupuesto sea superior a la cuantía contemplada en el apartado 1 del artículo anterior. En tal supuesto, la autorización del contrato llevará aparejada la del gasto.

TÍTULO V
Informaciones al Parlamento
Artículo 32. Informaciones periódicas.

1. El Gobierno, además de la información exigida por el texto refundido de las disposiciones legales vigentes sobre Régimen Presupuestario de Euskadi, aprobado por el Decreto Legislativo 1/1994, de 27 de septiembre, dará cuenta trimestralmente a la Comisión de Economía, Hacienda y Presupuestos del Parlamento Vasco de las siguientes operaciones:

a) Garantías concedidas en el período e información de aquellas a las que haya tenido que hacer frente por causa de incumplimiento por parte de los beneficiarios de las garantías.

b) Balance de situación, estado de pérdidas y ganancias, cuadro de financiamiento y presupuestos de explotación y de capital de los entes públicos de derecho privado y sociedades públicas.

2. La información a que se refiere el número anterior se cerrará en la fecha de vencimiento de cada trimestre natural y se remitirá al Parlamento antes del día 15 del segundo mes siguiente a dicho vencimiento.

Artículo 33. Otras informaciones.

Asimismo, el Gobierno dará cuenta a la Comisión de Economía, Hacienda y Presupuestos del Parlamento Vasco, dentro del mes siguiente a aquel en que se produzcan, de las siguientes operaciones:

a) Operaciones de endeudamiento realizadas.

b) Créditos y anticipos concedidos por el Consejo de Gobierno, por plazo no superior a un año, a las entidades integrantes del sector público de la Comunidad Autónoma de Euskadi.

c) Ingresos de cada una de las diputaciones forales en tributos concertados, desglosados por impuestos.

d) Detalle de las ayudas concedidas con cargo al Fondo de Proyectos Estratégicos.

Disposición adicional primera. Control y seguimiento de los programas de empleo y formación.

La aplicación de los Programas 3211 y 3231, relativos a empleo y formación, respectivamente, será objeto de un especial control y seguimiento a través del órgano, adscrito al Departamento de Justicia, Empleo y Seguridad Social, creado a tal fin e integrado por representantes de la Administración, de las organizaciones empresariales que ostenten la representación institucional y de las centrales sindicales más representativas de acuerdo con la legislación vigente.

Disposición adicional segunda. Medidas financieras en materia de vivienda y suelo.

1. A los efectos de la normativa en vigor sobre régimen de viviendas de protección oficial y medidas financieras en materia de vivienda y suelo, durante el ejercicio 2008, el importe de las operaciones financieras a través de líneas de descuento a formalizar no podrá exceder de la cantidad de 145.250.000 euros.

2. Se autoriza al Departamento de Hacienda y Administración Pública para concertar y cancelar operaciones financieras destinadas a la reconversión o el aseguramiento de las obligaciones de pago derivadas de los convenios financieros en materia de vivienda y suelo, en los términos que disponga el Consejo de Gobierno.

Disposición adicional tercera. Fondo de Proyectos Estratégicos.

1. El Gobierno Vasco calificará los proyectos que tengan la condición de estratégicos y concederá las ayudas destinadas a la realización de los mismos, para lo cual podrá asumir compromisos de gastos, no obstante lo establecido en el texto refundido de las disposiciones legales vigentes sobre Régimen Presupuestario de Euskadi, aprobado por el Decreto Legislativo 1/1994, de 27 de septiembre, siempre que estén soportados financieramente en las aportaciones al Fondo de Proyectos Estratégicos acordadas por el Consejo Vasco de Finanzas Públicas.

2. La gestión financiera de las ayudas se realizará a través de la Sociedad Capital Desarrollo de Euskadi, SA conforme a lo dispuesto en el acuerdo del Consejo Vasco de Finanzas Públicas y en el correspondiente acuerdo con la misma. Esta sociedad actuará, asimismo, como entidad colaboradora a los efectos de lo dispuesto en el artículo 52 del Texto Refundido de la Ley de Principios Ordenadores de la Hacienda General del País Vasco, aprobado por el Decreto Legislativo 1/1997, de 11 de noviembre, y su normativa de desarrollo.

Disposición adicional cuarta. Medidas de fomento.

1. Los departamentos de la Administración de la Comunidad Autónoma de Euskadi podrán conceder ayudas, consistentes en garantías, préstamos y anticipos reintegrables, para la financiación de proyectos de promoción económica y fomento de sectores productivos audiovisuales, así como de investigación, desarrollo e innovación.

La concesión de estas ayudas se realizará conforme a lo establecido en las correspondientes normas reguladoras, pudiendo el órgano competente para su concesión asumir compromisos de gasto, no obstante lo establecido en el texto refundido de las disposiciones legales vigentes sobre Régimen Presupuestario de Euskadi, aprobado por el Decreto Legislativo 1/1994, de 27 de septiembre, siempre que el coste financiero asociado y la estimación del riesgo previsto al que deba hacer frente la Administración estén soportados financieramente en los correspondientes créditos presupuestarios.

2. La gestión financiera de las ayudas se realizará a través de las personas jurídicas que reúnan las condiciones de solvencia y eficacia que se determinen en las correspondientes normas reguladoras y del modo que se disponga en dichas normas y en los pertinentes acuerdos de colaboración con aquéllas. Estas personas jurídicas actuarán, asimismo, como entidades colaboradoras a los efectos de lo dispuesto en el artículo 52 del Texto Refundido de la Ley de Principios Ordenadores de la Hacienda General del País Vasco, aprobado por el Decreto Legislativo 1/1997, de 11 de noviembre, y su normativa de desarrollo.

3. Se autoriza al Departamento de Hacienda y Administración Pública a efectuar, en los estados de gastos e ingresos de los Presupuestos, las adaptaciones técnicas que sean precisas derivadas de la presente disposición adicional.

Disposición adicional quinta. Explotación de la estructura de telecomunicaciones propiedad de la Comunidad Autónoma.

Los rendimientos obtenidos de la explotación de la estructura de las telecomunicaciones propiedad de la Comunidad Autónoma tendrán la naturaleza de ingresos de derecho privado por no estar afectos al uso o servicio público conforme a lo dispuesto en la normativa vigente en materia de telecomunicaciones.

Disposición adicional sexta. Fomento de la competitividad empresarial.

1. Los ingresos y recursos financieros no previstos y obtenidos en virtud de la enajenación por la Administración General e Institucional de la Comunidad Autónoma de Euskadi de aquellas participaciones en sociedades mercantiles de carácter industrial que, en los términos que determine el Consejo de Gobierno, se considere que ya han cumplido la finalidad estratégica que motivó su adquisición podrán ser aplicados a impulsar la creación de aquellos fondos o instrumentos financieros que se estimen oportunos destinados al fomento de la competitividad del tejido industrial del País Vasco y, en particular, a apoyar la constitución y consolidación de grupos empresariales vascos.

A estos efectos, se autoriza al Gobierno a que, durante el ejercicio 2008 y en los términos de las disposiciones legales vigentes sobre régimen presupuestario y patrimonial, pueda realizar las operaciones patrimoniales oportunas y aplicar los fondos obtenidos a la realización de dichas actuaciones.

2. En todo caso, las actuaciones desarrolladas en ejecución de lo previsto en la presente disposición deberán sujetarse a las directrices que establezca el Departamento de Hacienda y Administración Pública con el objetivo de racionalizar y optimizar los recursos del sistema financiero público del País Vasco y, en su caso, a los instrumentos que puedan establecerse al servicio de la política financiera de la Administración Pública de la Comunidad Autónoma.

Disposición adicional séptima. Instituto Vasco de Finanzas.

1. Se crea el Instituto Vasco de Finanzas, como un ente público de derecho privado, con personalidad jurídica propia y plena capacidad de obrar para el cumplimiento de sus fines, adscrito al departamento competente en materia de finanzas.

2. El Instituto Vasco de Finanzas se regirá por las disposiciones legales aplicables a los entes públicos de derecho privado, salvo las especialidades establecidas en la presente disposición, y por sus estatutos, que serán aprobados por decreto del Gobierno Vasco a propuesta del departamento competente en materia de finanzas.

3. El instituto tendrá como finalidad actuar como instrumento de la política financiera y de crédito público de la Administración de la Comunidad Autónoma de Euskadi.

Para la consecución de sus fines podrá realizar las siguientes funciones:

a) Prestar los servicios de tesorería y de gestión financiera y, en particular, del endeudamiento de la Administración de la Comunidad Autónoma de Euskadi y de las entidades de ella dependientes, en los términos que le atribuya el departamento competente en materia de finanzas.

b) Conceder o instrumentar créditos, avales y otras cauciones, a favor de entidades autónomas, corporaciones públicas y empresas públicas y privadas, dentro de los límites previstos en las leyes anuales de presupuestos.

c) Participar en el capital social o dotación fundacional o prestar apoyos financieros a sociedades o fundaciones que faciliten la financiación o la promoción de empresas no financieras y, en particular, a sociedades de garantía recíproca, entidades que actúan en mercados financieros o similares.

d) La instrumentación y el control de la financiación destinada a la promoción o fomento, mediante toma de participaciones en su capital u otro tipo de financiación, de empresas no financieras, decidida en el marco de las políticas sectoriales aprobadas por el Gobierno Vasco.

e) Prestar asesoramiento en materia financiera y emitir informes para el Consejo de Gobierno o el departamento competente en materia de finanzas, a petición de éstos o por iniciativa propia.

f) Ejercer la representación de la Administración de la Comunidad Autónoma de Euskadi en cuestiones de índole financiera y crediticia que el Gobierno Vasco o el departamento competente en materia de finanzas le encomiende.

g) Cualesquiera otras que le atribuyan las leyes y sus estatutos o que le encomiende el Consejo de Gobierno o el departamento competente en materia de finanzas en el ámbito de sus competencias.

4. Los órganos de gobierno del Instituto Vasco de Finanzas serán el Consejo de Administración, la Dirección General y aquellos otros que se establezcan en sus propios estatutos, que regularán sus funciones, la composición y nombramiento de sus miembros, así como la sede, estructura orgánica y régimen de funcionamiento de dicho instituto.

5. Los puestos de trabajo del Instituto Vasco de Finanzas serán desempeñados por personal contratado al efecto y por personal de la Administración General de la Comunidad Autónoma de Euskadi o entidades dependientes de ella, según la naturaleza de las funciones asignadas a cada puesto de trabajo. El personal contratado al servicio del Instituto Vasco de Finanzas se regirá por el Derecho laboral.

6. El personal laboral que preste servicios en la Administración General de la Comunidad Autónoma de Euskadi o en una entidad dependiente de ella y que cumpla funciones que, de acuerdo con la presente disposición y los estatutos del instituto, sean asumidas por dicho ente público se integrará en el mismo de conformidad con la legislación laboral aplicable. El personal funcionario que preste servicios en la Administración General de la Comunidad Autónoma de Euskadi o en una entidad dependiente de ella y que cumpla funciones que, de acuerdo con la presente disposición y los estatutos del instituto, sean asumidas por dicho ente público, podrá optar por:

a) Integrarse en el Instituto Vasco de Finanzas como personal laboral, con reconocimiento a todos los efectos de la antigüedad reconocida por la Administración de la Comunidad Autónoma de Euskadi, y quedar en ésta en situación de excedencia voluntaria.

b) Mantener la condición de funcionario o funcionaria en el ente público Instituto Vasco de Finanzas y ocupar en el mismo un puesto de trabajo a extinguir. Este puesto se extinguirá cuando el funcionario o funcionaria obtenga otra plaza con carácter definitivo o cuando quede vacante por cualquier causa que no comporte reserva de puesto.

7. Los recursos económicos del instituto estarán constituidos por:

a) Las asignaciones que se establezcan anualmente con cargo a los Presupuestos Generales de la Comunidad Autónoma del País Vasco.

b) Las subvenciones, aportaciones de otras administraciones públicas y donaciones que se concedan a su favor.

c) Los ingresos derivados de los bienes y derechos integrados en su patrimonio y los ingresos, ordinarios y extraordinarios, derivados del ejercicio de sus actividades.

d) Las aportaciones de otras instituciones financieras, públicas o privadas, que se establezcan de acuerdo con las leyes o por medio de convenios de financiación o de colaboración financiera con el instituto.

e) Las emisiones de valores de renta fija u otras operaciones de endeudamiento y los recursos derivados de la gestión integral de sus activos y pasivos, en particular de la titulización de sus créditos de acuerdo con la normativa sobre titulización de activos. Asimismo, los provenientes de otras operaciones financieras distintas de las señaladas anteriormente, acordes con la propia finalidad del instituto.

f) Cualesquiera otros recursos que puedan serle atribuidos.

8. El control económico del Instituto Vasco de Finanzas se ejercerá en la modalidad de control económico-financiero y de gestión, de acuerdo con lo establecido en la Ley 14/1994, de 30 de junio, de Control Económico y Contabilidad de la Comunidad Autónoma de Euskadi, y sin perjuicio del que corresponda al Tribunal Vasco de Cuentas Públicas.

9. Las obligaciones patrimoniales del Instituto Vasco de Finanzas tendrán la garantía de la Administración de la Comunidad Autónoma de Euskadi en los mismos términos que los de la Hacienda General.

10. El inicio de las actividades del Instituto Vasco de Finanzas tendrá lugar en el momento de la entrada en vigor de sus estatutos. Para el caso en que el inicio de las actividades no coincida con la entrada en vigor de la correspondiente ley de presupuestos, el Consejo de Gobierno aprobará los presupuestos de explotación y capital del organismo autónomo y los estados financieros previsionales correspondientes al ejercicio económico en que inicie sus actividades, y dará cuenta a la Comisión de Economía, Hacienda y Presupuestos del Parlamento Vasco en el plazo de quince días. A tales efectos, y por el departamento del Gobierno Vasco competente en materia de presupuestos, se realizarán las modificaciones presupuestarias que fuesen necesarias para la formación de dichos presupuestos, sin que puedan suponer un incremento del importe global consignado en las partidas de los presupuestos generales vigentes al inicio de las actividades del ente público.

Disposición adicional octava. Subsidio complementario de vivienda.

1. A los efectos contemplados en el artículo 28.5 de la Ley 12/1998, de 22 de mayo, contra la Exclusión Social, y en los términos que se establezcan legalmente, el Gobierno, a propuesta del departamento competente en materia de inserción social, determinará las cuantías anuales máximas del subsidio complementario de la renta básica al objeto de hacer frente a los gastos necesarios para el disfrute y mantenimiento de la vivienda o alojamiento habitual.

2. Se autoriza al Departamento de Hacienda y Administración Pública a efectuar, en los estados de gastos de los Presupuestos, las modificaciones que sean precisas derivadas de la presente disposición adicional.

Disposición final primera. Desarrollo y ejecución.

Se autoriza al Gobierno para que, a propuesta de la consejera de Hacienda y Administración Pública, dicte las disposiciones necesarias para el desarrollo y ejecución de esta ley.

Disposición final segunda. Entrada en vigor.

La presente ley entrará en vigor el 1 de enero de 2008.

ANEXO I
CRÉDITOS DE COMPROMISO

1

2

3

4

5

6

7

8

9

ANEXO II
PRESUPUESTOS DEL RESTO DE SOCIEDADES PÚBLICAS

10

11

ANEXO III
Créditos ampliables

1. Los créditos pertenecientes al capítulo I con destino al pago del personal al servicio de la Administración de la Comunidad Autónoma y de sus organismos autónomos, para dar cumplimiento a la aplicación del régimen retributivo establecido en la Ley 6/1989, de 6 de julio, de la Función Pública Vasca.

2. Los destinados al pago del personal laboral en cuanto deban ser aumentados como consecuencia de incrementos salariales dispuestos de conformidad con la normativa vigente.

3. Los créditos destinados al abono de trienios derivados del cómputo del tiempo de servicios realmente prestados y de la aplicación de lo dispuesto en la Ley 70/1978, de 26 de diciembre, sobre reconocimiento de servicios prestados en la Administración Pública.

4. Las dotaciones de personal que hayan sido minoradas en los respectivos créditos por las vacantes existentes, en la medida en que éstas sean cubiertas de acuerdo con la legislación aplicable.

5. Los relativos a clases pasivas en función del reconocimiento de obligaciones específicas del ejercicio en que se devengaron, según lo establecido en la normativa en vigor.

6. Los créditos destinados a satisfacer obligaciones derivadas de la Deuda Pública, en sus distintas modalidades, emitida por la Administración de la Comunidad Autónoma, tanto por intereses y amortización de principal como por gastos derivados de operaciones de emisión, conversión, canje o amortización de la misma, excepto los de personal.

7. Los créditos destinados a garantizar los compromisos pactados en materia educativa así como la financiación derivada de los mismos.

8. Los créditos destinados al desarrollo del Plan Vasco de Formación Profesional.

9. Los créditos destinados a satisfacer la indemnización por residencia que devengue el personal en los puestos en que se haya reconocido este derecho, conforme a la legislación vigente.

10. Los créditos destinados a satisfacer los gastos en asistencia farmacéutica extrahospitalaria, prótesis y vehículos para inválidos consignados en el presupuesto del Departamento de Sanidad.

11. Los créditos destinados a satisfacer la renta básica establecida por la Ley 10/2000, de 27 de diciembre, de Carta de Derechos Sociales.

12. Los créditos destinados a satisfacer subvenciones y ayudas a víctimas del terrorismo de conformidad con la legislación vigente.

13. Los créditos destinados al desarrollo de los servicios complementarios de vigilancia y seguridad de personas y bienes amenazados.

14. Los créditos destinados al desarrollo del Plan de Apoyo a las Familias con Hijos e Hijas.

15. Los créditos destinados a la implantación del primer ciclo de la Educación Infantil.

16. Los créditos que se especifican en el pormenor del estado de gastos con el carácter de ampliables.

17. Las subvenciones nominativas con la finalidad de hacer frente a los gastos de funcionamiento de los entes beneficiarios y con el límite de los compromisos de financiación asumidos con aquéllos.

18. Los créditos referidos al turno de oficio y asistencia letrada al detenido de abogados y procuradores y el de violencia doméstica.

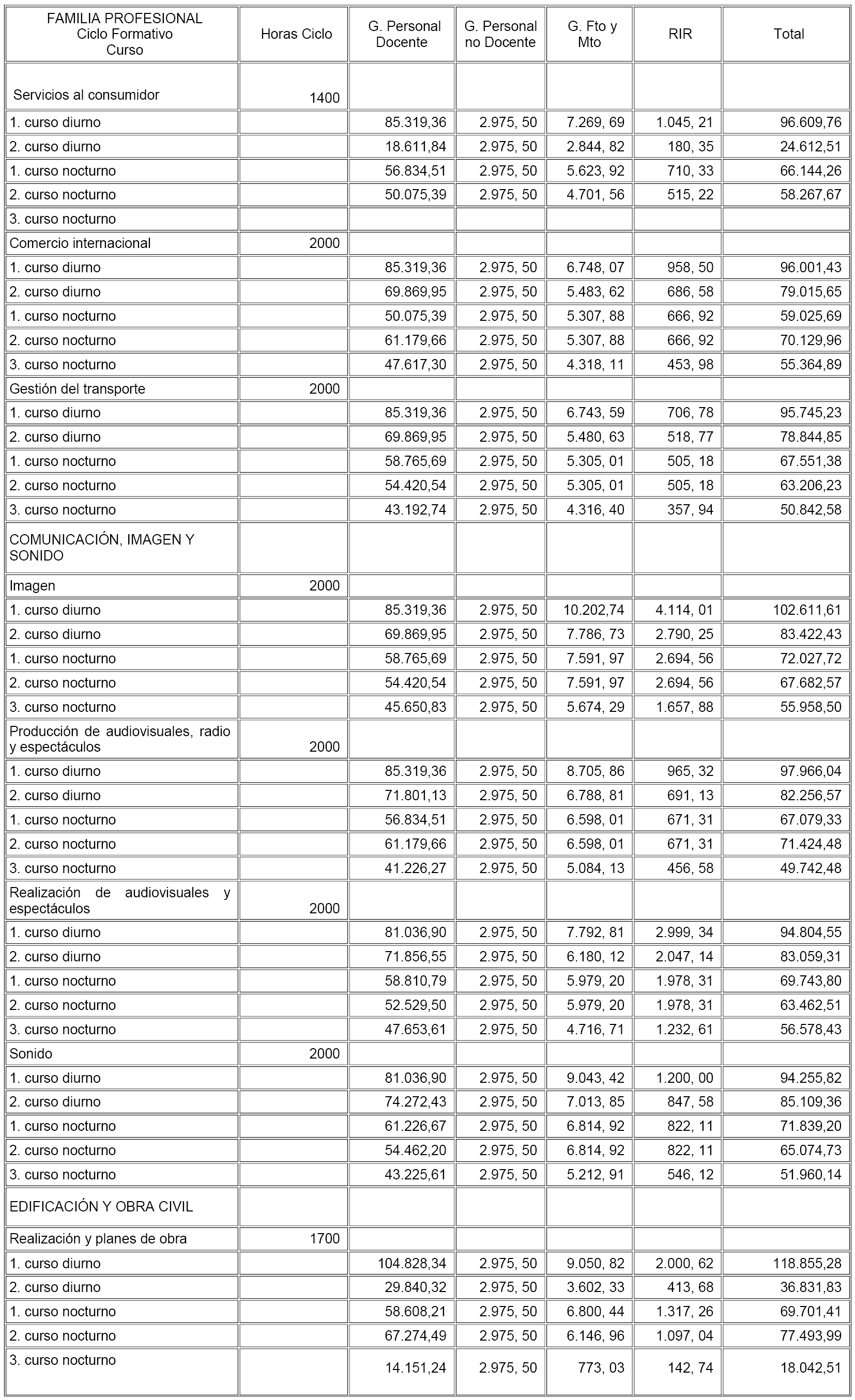
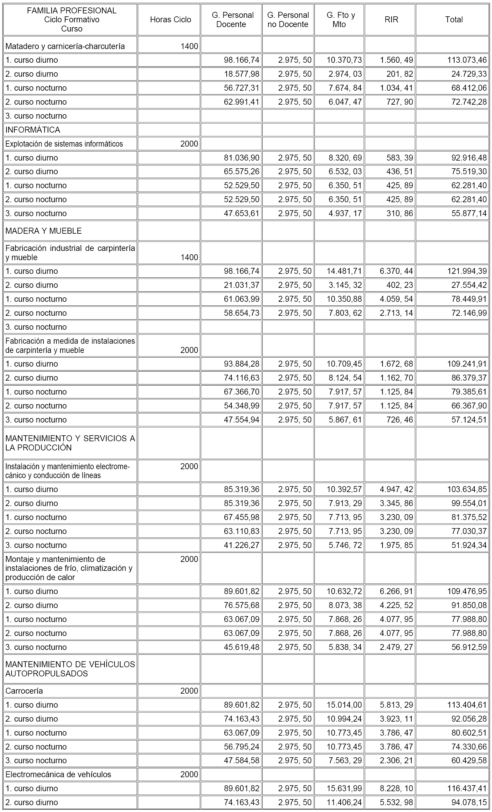
ANEXO IV
MÓDULO ECONÓMICO DE SOSTENIMIENTO DE LOS CENTROS CONCERTADOS

1

2

3

4

5

6

7

8

9

10

11

12

13

14

15

16

17

18

19

20

21

22

23

24

25

26

27

28

29

30

31

32

33

34

35

36

37

38

39

40

41

42

43

44

45

46

47

48

49

50

51

52

53

54

55

56

57

58

59

60

61

62

63

64

65

66

67

68

69

70

71

72

73

74

75

76

77

78

79

80

81

82

83

84

85

86

87

88

89

90

91

92

93

94

95

96

Por consiguiente, ordeno a todos los ciudadanos de Euskadi, particulares y autoridades, que la guarden y hagan guardarla.

Vitoria-Gasteiz, 29 de diciembre de 2007.–El Lehendakari, Juan José Ibarretxe Markuartu.

[Publicada en el «Boletín Oficial del País Vasco» número 250, de 31 de diciembre de 2007. Esta ley se publica en su redacción original aprobada por el Parlamento Vasco, de conformidad con lo previsto en el artículo 27.5 del Estatuto de Autonomía del País Vasco y el artículo 6.1.b) del Real Decreto 181/2008, de 8 de febrero, de ordenación del diario oficial «Boletín Oficial del Estado», sin perjuicio de su vigencia actual]

ANÁLISIS

  • Rango: Ley
  • Fecha de disposición: 28/12/2007
  • Fecha de publicación: 26/10/2011
  • Fecha de entrada en vigor: 01/01/2008
  • Publicada en el BOPV núm. 250, de 31 de diciembre de 2007.
Referencias posteriores

Criterio de ordenación:

  • SE DEROGA la disposición adicional 7, por Ley 19/2023, de 21 de diciembre (Ref. BOE-A-2024-993).
Referencias anteriores
  • DE CONFORMIDAD con el Estatuto aprobado por Ley Orgánica 3/1979, de 18 de diciembre (Ref. BOE-A-1979-30177).
  • CITA:
    • Ley de Principios Ordenadores de la Hacienda General, texto refundido aprobado por Decreto Legislativo 1/1997, de 11 de noviembre (Ref. BOPV-p-1998-90002).
    • Decreto Legislativo 1/1994, de 27 de septiembre (Ref. BOPV-p-1995-90003).
Materias
  • Organización de las Comunidades Autónomas
  • País Vasco
  • Presupuestos de las Comunidades Autónomas

subir

Agència Estatal Butlletí Oficial de l'Estat

Avda. de Manoteras, 54 - 28050 Madrid