Contingut no disponible en català

Us trobeu en

Documento BOE-A-2025-26676

Circular 7/2025, de 16 de diciembre, de la Comisión Nacional de los Mercados y la Competencia, por la que se modifica la Circular 5/2019, de 5 de diciembre, por la que se establece la metodología para el cálculo de la retribución de la actividad de transporte de energía eléctrica; y se aprueban las instalaciones tipo y los valores unitarios de referencia de inversión y de operación y mantenimiento por elemento de inmovilizado que se emplearán en el cálculo de dicha retribución.

Publicado en:
«BOE» núm. 311, de 26 de diciembre de 2025, páginas 175655 a 175697 (43 págs.)
Sección:
III. Otras disposiciones
Departamento:
Comisión Nacional de los Mercados y la Competencia
Referencia:
BOE-A-2025-26676
Permalink ELI:
https://www.boe.es/eli/es/cir/2025/12/16/7

TEXTO ORIGINAL

La actividad de transporte tiene carácter de monopolio natural y cuenta con un transportista único desde la aprobación de la Ley 17/2007, de 4 de julio, por la que se modifica la Ley 54/1997, de 27 de noviembre, del Sector Eléctrico, para adaptarla a lo dispuesto en la Directiva 2003/54/CE del Parlamento Europeo y del Consejo, de 26 de junio de 2003, sobre normas comunes para el mercado interior de la electricidad, salvo las excepciones previstas en el artículo 34.2 de la Ley 24/2013, de 26 de diciembre, del Sector Eléctrico.

La Ley 24/2013, de 26 de diciembre, dispone, en su artículo 14.2, que la retribución de las actividades se establecerá con criterios objetivos, transparentes y no discriminatorios, que incentiven la mejora de la eficacia de la gestión, la eficiencia económica y técnica de dichas actividades y la calidad del suministro eléctrico.

Asimismo, establece en el artículo 14.3 que, para el cálculo de la retribución de la actividad de transporte, se considerarán los costes necesarios para realizar la actividad por una empresa eficiente y bien gestionada, mediante la aplicación de criterios homogéneos en todo el territorio español, sin perjuicio de las especificidades previstas para los territorios no peninsulares. Estos regímenes económicos permitirán la obtención de una retribución adecuada a la de una actividad de bajo riesgo.

De acuerdo con el artículo 14.4 de la Ley 24/2013, los parámetros de retribución de la actividad de transporte se fijarán teniendo en cuenta la situación cíclica de la economía, de la demanda eléctrica y la rentabilidad adecuada para estas actividades por periodos regulatorios que tendrán una vigencia de seis años, salvo que una norma de derecho comunitario europeo establezca una vigencia del periodo regulatorio distinta.

Estos parámetros retributivos podrán revisarse antes del comienzo del periodo regulatorio. Si no se llevara a cabo esta revisión se entenderán prorrogados para todo el periodo regulatorio siguiente.

El artículo 14.8 de la Ley 24/2013 establece que la metodología de retribución de la actividad de transporte se establecerá atendiendo a los costes necesarios para construir, operar y mantener las instalaciones de acuerdo al principio de realización de la actividad al menor coste para el sistema eléctrico según lo dispuesto en el artículo 1.1 de la misma ley. Asimismo, el artículo 14.8 bis establece que la metodología de retribución de transporte deberá contemplar incentivos económicos, que podrán tener signo positivo o negativo, para la mejora de la disponibilidad de las instalaciones, para garantizar el nivel de endeudamiento adecuado a fin de disponer de una estructura de deuda sostenible y otros objetivos.

El artículo 14.12 de la Ley 24/2013 establece que «corresponderá a la Comisión Nacional de los Mercados y la Competencia la aprobación de la retribución para cada año de las empresas titulares de instalaciones de transporte y distribución de conformidad con lo previsto en la Ley 3/2013, de 4 de junio».

Según el artículo 7.1 de la Ley 3/2013, de 4 de junio, de creación de la Comisión Nacional de los Mercados y la Competencia, esta Comisión establecerá, mediante circular, previo trámite de audiencia y con criterios de eficiencia económica, transparencia, objetividad y no discriminación, la metodología, los parámetros y la base de activos para la retribución de las instalaciones de transporte de energía eléctrica, conforme a las orientaciones de política energética.

De conformidad con lo anterior, fue aprobada la Circular 5/2019, de 5 de diciembre, de la Comisión Nacional de los Mercados y la Competencia, por la que se establece la metodología para el cálculo de la retribución de la actividad de transporte de energía eléctrica, aplicable a partir de la retribución del ejercicio 2020.

Esta circular ha funcionado adecuadamente durante el periodo regulatorio 2020-2025, permitiendo que las empresas que realizan la actividad de transporte hayan realizado las inversiones necesarias, así como la operación y mantenimiento de las redes, obteniendo una rentabilidad razonable en el desarrollo de su actividad. Si bien, estando próxima la finalización del actual periodo regulatorio, resulta necesario proceder a realizar determinadas modificaciones en la metodología de cálculo de la retribución del transporte.

En el siguiente periodo regulatorio 2026-2031, la metodología ha de adaptarse a inversiones crecientes derivadas del proceso de descarbonización, asegurando el equilibrio entre el desarrollo de infraestructuras, un uso eficiente de las redes existentes y la incorporación de las nuevas funcionalidades que se espera de las mismas asociadas a la digitalización y a las nuevas figuras que emergen en el sistema eléctrico.

Las redes eléctricas juegan un papel fundamental en el proceso de transición limpia en el que se encuentra actualmente inmerso el sector energético. Así lo ha destacado la Comisión Europea en su Plan de Acción de la UE para las Redes, publicado en noviembre de 2023. Según dicho Plan, la creación de incentivos comienza con el establecimiento de un marco regulador propicio que aporte seguridad a las inversiones, incentive el rol activo de los gestores de la red de transporte y establezca requisitos de eficiencia, compartiendo con los consumidores parte de las ganancias conseguidas.

Un modelo energético en rápida evolución requiere una regulación que garantice que las redes son capaces de satisfacer la creciente demanda eléctrica vinculada a la movilidad limpia, la calefacción, la refrigeración y la electrificación de la industria, al mismo tiempo que facilite, tanto la integración de energía renovable para dar cobertura a esa nueva demanda, como un entorno de participación de esa misma demanda en los servicios que pueda requerir el sistema eléctrico. Todo ello, en un contexto de incertidumbre sobre el ritmo de crecimiento de la demanda. Resultando necesario, además, disponer de una red de transporte resiliente que garantice la seguridad y continuidad del suministro eléctrico.

Por consiguiente, teniendo en cuenta los retos de la transición energética, se hace necesario modificar determinados aspectos de la metodología de cálculo de la retribución del transporte eléctrico establecida en la Circular 5/2019, de 5 de diciembre.

Las principales modificaciones introducidas se refieren a la determinación del valor de inversión de las instalaciones de transporte, que pasa a realizarse en base a su valor auditado. Se introduce al final de cada semiperiodo de 3 años, un ajuste a valores unitarios de referencia de inversión, para todas las tipologías de instalaciones que disponen de ellos. Por otra parte, se procede a retribuir el coste financiero de los importes invertidos en la obra en curso de las instalaciones singulares, atendiendo a los largos periodos de construcción, a la complejidad técnica para ejecutar estas instalaciones y al carácter estratégico para el sistema eléctrico, con incidencia en la mejora de la seguridad de suministro, la integración de energías renovables y el fortalecimiento de la interconexión con el mercado energético europeo. Asimismo, se modifica el incentivo de disponibilidad.

Además, se incrementa la intensidad de la penalización relativa a la prudencia financiera a partir del cuarto año del siguiente periodo regulatorio, del 1 % de la retribución, al 1,5 %, para incrementar el incentivo a las empresas que aún no lo han hecho, a que se sitúen dentro de los rangos de valores recomendables de los ratios de la Comunicación 1/2019, de 23 de octubre.

Por otra parte, el artículo 3.2 de la Circular 5/2019, de 5 de diciembre, establece que antes del inicio de cada periodo regulatorio, la Comisión Nacional de los Mercados y la Competencia, previa audiencia pública antes del 1 de junio, establecerá el conjunto de parámetros técnicos y económicos que se utilizarán para el cálculo de la retribución de la actividad de transporte para todo el periodo regulatorio. Mediante la presente circular, se procede al establecimiento de los mismos para el periodo regulatorio 2026-2031.

Conforme a la letra g) del artículo 7.1 de la Ley 3/2013, de 4 de junio, es función de esta Comisión establecer, mediante circular, los valores unitarios de inversión, de operación y mantenimiento y la vida útil regulatoria de las instalaciones con derecho a retribución a cargo del sistema eléctrico de las empresas de transporte para cada periodo regulatorio.

En virtud de dichas competencias, se publicó la Circular 7/2019, de 5 de diciembre, de la Comisión Nacional de los Mercados y la Competencia, por la que se aprueban las instalaciones tipo y los valores unitarios de referencia de operación y mantenimiento por elemento de inmovilizado que se emplearán en el cálculo de la retribución de las empresas titulares de instalaciones de transporte de energía eléctrica.

Respecto a los valores unitarios de referencia de inversión por elemento de inmovilizado de aplicación en la retribución de la actividad de transporte de energía eléctrica, sus valores se encuentran recogidos en la Orden IET/2659/2015, de 11 de diciembre. En este sentido, la disposición adicional única de la Circular 7/2019, de 5 de diciembre, establece que los valores unitarios de referencia de inversión aplicables durante el periodo 2020-2025 seguirán siendo los establecidos en dicha orden.

Estando próxima la finalización del periodo regulatorio que abarca los ejercicios 2020 a 2025, resulta necesario llevar a cabo una revisión de los valores unitarios de operación y mantenimiento a aplicar a partir del año 2026. Asimismo, resulta también necesario establecer los valores unitarios de inversión a aplicar a partir del año 2026, que desplazan los recogidos en la Orden IET/2659/2015, de 11 de diciembre.

La necesidad de revisar los valores unitarios se fundamenta en la adaptación de los mismos conforme a la evolución de los costes de operación y mantenimiento e inversión, debiendo efectuarse dicha revisión antes del comienzo del periodo regulatorio 2026-2031, para que resulten de aplicación durante el mismo.

A los efectos de la citada revisión, se ha utilizado la información disponible en la Comisión Nacional de los Mercados y la Competencia de la contabilidad regulatoria de costes de la actividad de transporte eléctrico, desarrollada mediante la Circular 1/2015, de 22 de julio, de la Comisión Nacional de los Mercados y la Competencia, de desarrollo de la información regulatoria de costes relativa a las actividades reguladas de transporte, regasificación, almacenamiento y gestión técnica del sistema de gas natural, así como transporte y operación del sistema de electricidad. Asimismo, se ha utilizado la Circular informativa 4/2021, de 5 de mayo, de la Comisión Nacional de los Mercados y la Competencia, de petición de información a las empresas titulares de instalaciones de transporte de energía eléctrica para la supervisión y cálculo de la retribución de la actividad.

Se ha analizado la información de la contabilidad regulatoria de costes de la actividad de transporte, realizando los ajustes procedentes en los costes declarados.

La circular se adecúa a los principios de buena regulación establecidos en el artículo 129 de la Ley 39/2015, de 1 de octubre, del Procedimiento Administrativo Común de las Administraciones Públicas: necesidad, eficacia, proporcionalidad, seguridad jurídica, transparencia y eficiencia.

La circular se ajusta al principio de necesidad, en la medida en que las modificaciones planteadas para el nuevo período regulatorio son resultado de la experiencia obtenida durante la vigencia de la Circular 5/2019, de 5 de diciembre. En la medida en que la modificación de la metodología y la determinación de los valores unitarios solo puede realizarse antes del comienzo del periodo regulatorio, resulta necesario efectuar dicha revisión al final del actual periodo regulatorio 2020-2025, a fin de contar con las modificaciones de que se trata y con unos valores unitarios en el siguiente periodo regulatorio 2026-2031, que reflejen los costes necesarios correspondientes a un operador eficiente para realizar la inversión y la operación y mantenimiento de las redes de transporte al menor coste para el sistema eléctrico.

La circular se atiene a los principios de proporcionalidad, seguridad jurídica y eficiencia, ya que los cambios planteados se limitan a los necesarios e imprescindibles para la atención de los objetivos regulatorios mencionados.

En cuanto al principio de transparencia, la circular se dicta de conformidad con el artículo 30 de la Ley 3/2013, de 4 de junio, habiéndose dotado al procedimiento de la correspondiente publicidad y transparencia. En particular, aparte de la comunicación pública previa del calendario de circulares de carácter normativo realizada en 2024 por la CNMC (que incluía la referencia a esta circular), cabe destacar que se consideró oportuno en esta materia concreta realizar una consulta pública previa más específica, que fue publicada el 24 de junio de 2024.

Si bien se han tramitado dos procedimientos de aprobación de circulares (uno para la modificación de la metodología retributiva y otro para la determinación de los valores unitarios), siguiendo la recomendación realizada por el Consejo de Estado se ha procedido a la integración de los dos textos, para reducir la dispersión normativa y facilitar una comprensión integradora del régimen retributivo de la actividad de transporte de electricidad.

La presente circular deroga la Circular 7/2019, de 5 de diciembre, que establece los valores unitarios de operación y mantenimiento aplicables a partir del 1 de enero de 2020, y desplaza las disposiciones anteriores al Real Decreto-ley 1/2019, de 11 de enero, que regulaban materias sobre las que la presente circular ejerce competencia por primera vez; en particular, los valores unitarios de inversión establecidos en la Orden IET/2659/2015, de 11 de diciembre, que devienen inaplicables conforme al citado Real Decreto-ley 1/2019, de 11 de enero.

Por todo lo anterior, conforme a las funciones asignadas por el artículo 7.1, letra g) de la Ley 3/2013, de 4 de junio, y previo trámite de audiencia, el Pleno del Consejo de la Comisión Nacional de los Mercados y la Competencia, en su sesión del día 16 de diciembre de 2025, ha acordado emitir, de acuerdo con el Consejo de Estado, la presente circular:

Artículo 1. Objeto.

Esta circular tiene por objeto:

1. Modificar la Circular 5/2019, de 5 de diciembre, de la Comisión Nacional de los Mercados y la Competencia, por la que se establece la metodología para el cálculo de la retribución de la actividad de transporte de energía eléctrica.

2. Establecer los parámetros técnicos y económicos que se utilizarán para el cálculo de la retribución de la actividad de transporte de energía eléctrica en el periodo regulatorio 2026-2031, conforme lo establecido en el artículo 3.2 de la Circular 5/2019, de 5 de diciembre.

3. Establecer las instalaciones tipo y los valores unitarios de referencia de inversión y de operación y mantenimiento por elemento de inmovilizado de las instalaciones de transporte de energía eléctrica, que serán aplicables, a partir del 1 de enero de 2026, a todos los activos de transporte de energía eléctrica ubicados en territorio español que a la entrada en vigor de la presente circular tengan autorización de explotación, así como a los activos que se pongan en servicio con posterioridad a dicha entrada en vigor.

Artículo 2. Modificación de la Circular 5/2019, de 5 de diciembre, de la Comisión Nacional de los Mercados y la Competencia, por la que se establece la metodología para el cálculo de la retribución de la actividad de transporte de energía eléctrica.

La Circular 5/2019, de 5 de diciembre, de la Comisión Nacional de los Mercados y la Competencia, se modifica en los siguientes términos:

Uno. Se modifica el punto 2 del artículo 5, que queda redactado como sigue:

«2. La retribución para el año n de cada empresa transportista se calculará de acuerdo a la siguiente expresión:

Imagen: /datos/imagenes/disp/2025/311/26676_16465829_1.png

Donde:

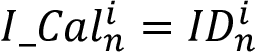
Imagen: /datos/imagenes/disp/2025/311/26676_16465829_2.pnges la retribución por inversión en el año n que recibe una empresa transportista i vinculada a las instalaciones de su titularidad en servicio el año n−2.

Imagen: /datos/imagenes/disp/2025/311/26676_16465829_3.pnges la retribución en concepto de operación y mantenimiento en el año n que percibe una empresa transportista i vinculada a las instalaciones de su titularidad en servicio el año n−2.

Imagen: /datos/imagenes/disp/2025/311/26676_16465829_4.pnges la retribución en concepto de extensión de vida útil en el año n, que percibe una empresa transportista i vinculada a las instalaciones de su titularidad que continúen en servicio el año n−2, habiendo superado su vida útil regulatoria.

Imagen: /datos/imagenes/disp/2025/311/26676_16465829_5.pnges el término del incentivo de calidad repercutido a la empresa transportista i en el año n asociado al grado de disponibilidad ofrecido por sus instalaciones de transporte el año n−2 y a la reducción del tiempo medio de interrupción en el año n−2.

Imagen: /datos/imagenes/disp/2025/311/26676_16465829_6.png es la retribución de la obra en curso en el año n que percibe una empresa transportista i vinculada a los costes del periodo de construcción de las instalaciones singulares, que no sean despachos de maniobra y telecontrol de la red de transporte, de su titularidad, puestas en servicio en el año n−2.»

Dos. Se modifica el artículo 6 en los puntos 1 y 3, que quedan redactados como sigue:

«1. La retribución a la inversión de una instalación j de la red de transporte en el año n, por estar en servicio en el año n−2, se calculará de acuerdo con la siguiente fórmula:

Imagen: /datos/imagenes/disp/2025/311/26676_16465831_1.png

Donde:

Imagen: /datos/imagenes/disp/2025/311/26676_16465831_2.png es la retribución por amortización de la inversión de la instalacón j en el año n.

La retribución por amortización de la inversión de la instalación j, se obtendrá a partir de los valores de inversión, de acuerdo con la siguiente fórmula:

Imagen: /datos/imagenes/disp/2025/311/26676_16465831_3.png

Siendo VIj el valor reconocido de la inversión de la instalación j en el primer año de cálculo de la retribución de la misma. Para su cálculo se distinguen tres grupos de instalaciones:

a) Para las instalaciones puestas en servicio desde el 1 de enero de 1998 hasta el 31 de diciembre de 2017, su valor es el valor reconocido de la inversión a cada instalación de manera individual, de acuerdo con el valor de la inversión con derecho a retribución a cargo del sistema asignado en la orden de retribución del año correspondiente.

b) Para las instalaciones puestas en servicio desde el 1 de enero de 2018 hasta el ejercicio 2023, su valor será el valor reconocido a cada instalación de manera individual, de acuerdo con el valor de la inversión con derecho a retribución asignado en la resolución de retribución, de la Comisión Nacional de los Mercados y la Competencia, del año correspondiente.

c) Para las instalaciones puestas en servicio desde el 1 de enero de 2024 hasta el ejercicio n−2, su valor será el valor reconocido de la inversión a cada instalación de manera individual, de acuerdo a lo establecido en el artículo 7. Para las instalaciones singulares se calculará de acuerdo con lo establecido en el artículo 9.

d) Para las instalaciones puestas en servicio en cada semiperiodo de 3 años a partir del 1 de enero de 2024, al final de cada semiperiodo se llevará a cabo un ajuste, de acuerdo a lo establecido en al artículo 7.bis.

VUj es la vida útil regulatoria de la instalación j expresada en años. Con carácter general, tomará un valor de 40 años, salvo para las siguientes tipologías:

a) Los despachos de maniobra y telecontrol tendrán una vida útil regulatoria de 12 años.

b) Los aumentos de capacidad de líneas eléctricas aéreas de transporte, o repotenciaciones de líneas, tendrán una vida útil regulatoria de 8 años.

c) Los compensadores estáticos síncronos tendrán una vida útil regulatoria de 25 años.

d) Los sistemas de capacidad dinámica de línea (DLR) tendrán una vida útil regulatoria de 12 años.

e) Los sistemas de almacenamiento (baterías integradas en la red de transporte) tendrán una vida útil regulatoria de 20 años.

f) Los equipos de autonomía tendrán una vida útil regulatoria de 12 años.

En cualquier caso, la vida útil regulatoria de una instalación será aquella que establezca la normativa de referencia que le sea de aplicación, en función del momento de obtención de la autorización de explotación para una instalación de igual tipología. Para posibles nuevas tipologías de instalaciones que puedan establecerse, la Comisión Nacional de los Mercados y la competencia determinará, mediante circular, la vida útil regulatoria que corresponda.

Imagen: /datos/imagenes/disp/2025/311/26676_16466878_1.png es la retribución financiera de la inversión de la instalación j en el año n. Este término se calculará cada año n aplicando la tasa de retribución al valor neto de la inversión, conforme a la siguiente fórmula:

Imagen: /datos/imagenes/disp/2025/311/26676_16466878_2.png;

Donde:

TRFp es la tasa de retribución financiera a aplicar en el cálculo retributivo del periodo regulatorio p. Dicha tasa será la fijada al inicio del periodo regulatorio por circular de la Comisión Nacional de los Mercados y la Competencia.

Imagen: /datos/imagenes/disp/2025/311/26676_16466878_3.png es el valor neto de la inversión de la instalación j con derecho a retribución a cargo del sistema el año n. Este valor se calculará de acuerdo a la siguiente expresión:

Imagen: /datos/imagenes/disp/2025/311/26676_16466878_4.png

Siendo k el número de años transcurridos desde la puesta en servicio.»

«3. La retribución en concepto de inversión a percibir por la empresa transportista i por el conjunto de instalaciones de su red de transporte el año n se calculará de acuerdo a la expresión:

Imagen: /datos/imagenes/disp/2025/311/26676_16466878_5.png»

Tres. Se modifica el artículo 7 conforme a la siguiente redacción:

«Artículo 7. Reconocimiento del valor de inversión con derecho a retribución a cargo del sistema de las instalaciones cuya puesta en servicio es posterior al 31 de diciembre de 2023, que no estén catalogadas como instalaciones singulares.

1. El valor de inversión con derecho a retribución a cargo del sistema de los nuevos elementos puestos en servicio por la empresa transportista i desde el 1 de enero de 2024 hasta el 31 de diciembre del año n−2, Imagen: /datos/imagenes/disp/2025/311/26676_16467069_1.png que no hayan sido catalogados como singulares, se establecerá para las nuevas instalaciones puestas en servicio el año n−2 con carácter anual, junto con la retribución de cada empresa, por la Comisión Nacional de los Mercados y la Competencia y se calculará como:

Imagen: /datos/imagenes/disp/2025/311/26676_16467069_2.png

Donde:

VIj es el valor de la inversión con derecho a retribución a cargo del sistema de la instalación j perteneciente a la empresa transportista i, que será calculado según los criterios establecidos en la presente circular y en sus disposiciones de desarrollo, el primer año que perciba retribución.

2. El valor VIj de inversión con derecho a retribución a cargo del sistema de la instalación j que ha obtenido autorización de explotación el año n−2 se calculará como:

Imagen: /datos/imagenes/disp/2025/311/26676_16467069_3.png

Donde:

Imagen: /datos/imagenes/disp/2025/311/26676_16467069_4.png es un coeficiente en base uno que refleja el complemento a uno del valor total de inversión de dicha instalación financiado y cedido por terceros.

AYj es el 90 por ciento del importe percibido del valor de las ayudas públicas percibidas por la instalación j. En ningún caso el margen del 10 por ciento a considerar respecto a las empresas transportistas podrá ser superior a 10 millones de euros.

Imagen: /datos/imagenes/disp/2025/311/26676_16467069_5.png es el valor auditado de inversión de la instalación j que ha obtenido la autorización de explotación el año n−2.

Imagen: /datos/imagenes/disp/2025/311/26676_16466880_1.png es el factor de retardo retributivo de la inversión de la instalación j que ha obtenido la autorización de explotación el año n−2. Este factor es derivado del coste financiero motivado por el retraso entre la obtención de la autorización de explotación de la instalación j y el inicio del devengo de la retribución por inversión. Este valor se calculará como:

Imagen: /datos/imagenes/disp/2025/311/26676_16466880_2.png

Donde:

TRFAPS es la tasa de retribución financiera en vigor el año en que ha obtenido la autorización de explotación la instalación j.

trj es el tiempo de retardo retributivo de la instalación j expresado en años, con una precisión de dos decimales, que mide el tiempo transcurrido desde la obtención de la autorización de explotación de la instalación j hasta que comienza el devengo de la retribución de la misma.

3. Para el cálculo de los valores de inversión reales, se descontarán aquellos impuestos indirectos cuya exención o devolución esté prevista en la normativa fiscal y aquellos tributos a los que se hace referencia en el artículo 16.4 de la Ley 24/2013, de 26 de diciembre.

4. Con carácter general, aquellas instalaciones que deban ser construidas o financiadas por consumidores o productores de energía eléctrica y hayan sido o hubieran debido ser cedidas a la red de transporte de acuerdo a la normativa estatal solo percibirán retribución en concepto de operación y mantenimiento, considerándose nulo su valor de inversión a efectos retributivos.

5. Para que una línea de transporte sea retribuida como soterrada, deberá discurrir por suelo urbanizado. Para la consideración de suelo urbanizado, se estará a lo establecido en el Real Decreto Legislativo 7/2015, de 30 de octubre, por el que se aprueba el texto refundido de la Ley de Suelo y Rehabilitación Urbana.

No obstante lo señalado en el párrafo anterior, si una disposición normativa estatal o comunitaria, aprobada por la Unión Europea, obligase expresamente al soterramiento de una línea en terreno rural, esta podrá ser retribuida como soterrada.

En todo caso, para que una línea de la red de transporte sea retribuida como soterrada, esta deberá haber sido recogida expresamente con dicha característica en el instrumento de planificación de la red de transporte que se encuentre en vigor.»

Cuatro. Se añade un nuevo artículo 7 bis conforme a la siguiente redacción:

«Artículo 7 bis. Ajuste de los valores reales de inversión al final de cada semiperiodo regulatorio para las instalaciones puestas en servicio con posterioridad al 31 de diciembre de 2023.

1. Cada tres años, es decir, a mitad y al final de cada periodo regulatorio, se calculará el resultado de aplicar los nuevos valores unitarios de inversión vigentes, al conjunto de instalaciones puestas en servicio en los años n−4, n−3 y n−2 que disponen de valores unitarios de inversión. El Imagen: /datos/imagenes/disp/2025/311/26676_16466881_1.png se obtiene conforme a la siguiente expresión:

Imagen: /datos/imagenes/disp/2025/311/26676_16466881_2.png

Siendo Imagen: /datos/imagenes/disp/2025/311/26676_16466881_3.png el valor de inversión con derecho a retribución a cargo del sistema de la instalación j perteneciente a la empresa transportista i, calculado a costes unitarios de inversión.

En el caso de que para una instalación j la ayuda AYj percibida sea superior al valor Imagen: /datos/imagenes/disp/2025/311/26676_16466881_3.png, entonces dicha instalación j no se tendrá en cuenta en la aplicación del presente artículo.

2. Dicho valor, obtenido por aplicación del apartado anterior, se comparará con la suma del valor de inversión retribuible obtenido por aplicación del punto 2 artículo 7 para las instalaciones que disponen de valor unitario de inversión, para los tres ejercicios n−4→n−2. Tras la comparación, se distinguirán los siguientes supuestos:

– Si Imagen: /datos/imagenes/disp/2025/311/26676_16466881_5.png, no se realizará ningún ajuste.

– Si Imagen: /datos/imagenes/disp/2025/311/26676_16466881_6.png, el valor de inversión final correspondiente al periodo n−4→n−2 se calculará de la siguiente manera:

Imagen: /datos/imagenes/disp/2025/311/26676_16466881_7.png

En el caso de que Imagen: /datos/imagenes/disp/2025/311/26676_16466882_1.png sea superior a 1,15 Imagen: /datos/imagenes/disp/2025/311/26676_16466882_2.pngImagen: /datos/imagenes/disp/2025/311/26676_16466882_3.png no podrá ser superior a 1,10 Imagen: /datos/imagenes/disp/2025/311/26676_16466882_4.png.

– Si Imagen: /datos/imagenes/disp/2025/311/26676_16466882_5.png, el valor de inversión final correspondiente al periodo n−4→n−2 se calculará de la siguiente manera:

Imagen: /datos/imagenes/disp/2025/311/26676_16466882_6.png

En el caso de que Imagen: /datos/imagenes/disp/2025/311/26676_16466882_7.png sea inferior a Imagen: /datos/imagenes/disp/2025/311/26676_16466882_8.png el valor Imagen: /datos/imagenes/disp/2025/311/26676_16466882_9.png no podrá ser superior al 1,10 Imagen: /datos/imagenes/disp/2025/311/26676_16466882_10.png.

4. El ajuste correspondiente al semiperiodo n−4→n−2 será el siguiente:

Imagen: /datos/imagenes/disp/2025/311/26676_16466882_11.png

Dicho ajuste Imagen: /datos/imagenes/disp/2025/311/26676_16466882_12.png, de signo negativo o positivo, se incorporará al cálculo de la retribución a la inversión como si fuera una instalación con vida de 40 años, de forma que las cantidades correspondientes al ajuste se descontarán o añadirán a la retribución por inversión de las instalaciones puestas en servicio en dicho año n−2, considerando que su amortización se realiza a 40 años.»

Cinco. Se modifica el artículo 9 en los puntos 3, 9 y 10 y se añade un punto 11, con el siguiente contenido:

«3. Asimismo, podrán tener la consideración de inversiones singulares aquellas inversiones efectuadas por las empresas transportistas en proyectos piloto. No obstante, la empresa transportista deberá garantizar que la ejecución de las citadas inversiones supone un beneficio cuantificable para el sistema en términos de seguridad, calidad, eficiencia, objetividad y transparencia, para lo que la solicitud de reconocimiento de este tipo de inversiones deberá acompañarse de un análisis coste-beneficio y una memoria técnica. En el caso de que el proyecto piloto pueda afectar a la seguridad del suministro, se solicitará informe preceptivo al operador del sistema.

La aprobación de las citadas inversiones estará supeditada, en todo caso, al mantenimiento de la estabilidad financiera del sistema eléctrico, y no incluirá la retribución por conceptos ya contemplados en la metodología establecida en la presente circular.»

«9. Para la determinación del valor de inversión con derecho a retribución a cargo del sistema de aquellas inversiones que sean clasificadas como singulares, su valor será calculado conforme a la siguiente expresión:

Imagen: /datos/imagenes/disp/2025/311/26676_16466883_1.png;

En la expresión anterior se incluirán los valores definitivos de las ayudas recibidas, así como el porcentaje de la instalación que haya sido financiado por terceros.

AYj es el 90 por ciento del importe percibido del valor de las ayudas públicas percibidas por la instalación j. En ningún caso el margen del 10 por ciento a considerar con respecto a las empresas transportistas podrá ser superior a 10 millones de euros.»

«10. Se define como retribución por operación y mantenimiento base de una instalación singular la retribución por operación y mantenimiento establecida en la resolución de singularidad, sin considerar ningún tipo de coste financiero asociado al retardo que se produce en el cobro de la misma.

Una vez puesta en servicio la instalación, la retribución por operación y mantenimiento de cada instalación singular se calculará por la Comisión Nacional de los Mercados y la Competencia de acuerdo a la siguiente expresión:

Imagen: /datos/imagenes/disp/2025/311/26676_16466883_2.png

Donde:

Imagen: /datos/imagenes/disp/2025/311/26676_16466883_3.png es la retribución por operación y mantenimiento base de una instalación singular que se recoge en la resolución de declaración de singularidad establecida en el apartado 5.

Imagen: /datos/imagenes/disp/2025/311/26676_16466883_4.png es un factor de retardo retributivo de la operación y mantenimiento, tal y como se ha definido en el artículo 8 para las instalaciones no singulares.

β es el coeficiente que permitirá ajustar el valor de retribución por operación y mantenimiento a los costes reales de explotación una vez puesta en servicio cada instalación singular. Dicho valor se calculará por primera vez para cada instalación a partir del tercer año en el que perciba retribución, en base a la información de costes aportada por la empresa transportista en sus declaraciones a la Comisión Nacional de los Mercados y la Competencia, siendo los dos primeros años desde su puesta en servicio igual a 1. En el primer año de cada periodo regulatorio se calculará el parámetro β para cada instalación singular, tomando como base los costes de los tres últimos años del anterior periodo regulatorio. Dicho parámetro β, establecido para cada instalación singular, permanecerá constante hasta la mitad del periodo regulatorio, donde se analizará de nuevo la información de costes y, si procede, se actualizará el parámetro β de cada instalación singular, que se mantendrá constante hasta el fin del periodo regulatorio. Asimismo, el valor del coeficiente β no podrá ser nunca superior a 1.

En ningún caso la cuantía de la retribución por operación y mantenimiento base podrá superar el 25 por ciento de la estimación de la retribución de operación y mantenimiento establecida en la resolución de singularidad.»

«11. Imagen: /datos/imagenes/disp/2025/311/26676_16466884_1.png es la retribución de la obra en curso en el año n que percibe una empresa transportista i vinculada a los costes del periodo de construcción de las instalaciones singulares, que no sean despachos de maniobra y telecontrol, de su titularidad, puestas en servicio en el año n−2. Se calculará de acuerdo a la siguiente expresión:

Imagen: /datos/imagenes/disp/2025/311/26676_16466884_2.png

Donde:

j es cada instalación singular, que no sea despacho de maniobra y telecontrol, titularidad de la empresa i, puesta en servicio en el año n−2.

CCj son los costes del periodo de construcción de la instalación j. Se calcularán conforme a la siguiente expresión:

Imagen: /datos/imagenes/disp/2025/311/26676_16466884_3.png

Donde:

IIOCa son los importes invertidos en la obra en curso en cada año a, descontados los importes financiados y cedidos por terceros, y el valor de las ayudas públicas percibidas por la instalación j en ese mismo año, donde a es un año comprendido entre el año de inicio de la construcción y el año n−3, siendo n−2 el año de puesta en servicio de la instalación.

RDa es el coste de la deuda en cada año a, desde el año n−7 hasta el año n−3, siendo n−2 el año de puesta en servicio de la instalación. El coste de la deuda se define conforme lo establecido en el artículo 10 de la Circular 2/2019, de 12 de noviembre, de la Comisión Nacional de los Mercados y la Competencia, por la que se establece la metodología de cálculo de la tasa de retribución financiera de las actividades de transporte y distribución de energía eléctrica, y regasificación, transporte y distribución de gas natural. Se aplicará el valor que se haya fijado para RD en la circular que establezca la tasa de retribución financiera para transporte de energía eléctrica en el periodo regulatorio al que el año a pertenezca.

TRFAPS es la tasa de retribución financiera en vigor el año en que ha obtenido la autorización de explotación la instalación j.»

Seis. Se modifica el artículo 15 conforme a la siguiente redacción:

«Artículo 15. Establecimiento de un incentivo de calidad.

1. Se establece un incentivo de calidad que combina un subincentivo a la disponibilidad de la red de transporte y un subincentivo a la reducción del tiempo de interrupción medio que se aplicará a cada una de las empresas titulares de instalaciones de transporte.

Imagen: /datos/imagenes/disp/2025/311/26676_16466885_1.png

Donde:

Imagen: /datos/imagenes/disp/2025/311/26676_16466885_2.png es el incentivo de calidad repercutido a la empresa transportista i el año n que está asociado al grado de disponibilidad y al tiempo medio de interrupción de sus instalaciones de transporte en el año n−2.

Imagen: /datos/imagenes/disp/2025/311/26676_16466886_1.png es el subincentivo a la disponibilidad Imagen: /datos/imagenes/disp/2025/311/26676_16466886_1.png repercutido a la empresa transportista i el año n que está asociado al grado de disponibilidad ofrecido por sus instalaciones de transporte el año n−2.

Imagen: /datos/imagenes/disp/2025/311/26676_16466886_2.png es el subincentivo a la reducción del tiempo de interrupción medio para la empresa transportista i en el año n, definido como la relación entre la energía no suministrada y la potencia media del sistema, dada por el transportista en el año n−2.

PPI es el peso, en tanto por uno, que se le asigna a cada uno de los incentivos que conforman el incentivo de calidad.

2. En relación al subincentivo a la disponibilidad, la cuantía máxima que podrá tomar la bonificación a la disponibilidad obtenida por la empresa i el año n se denominará CMAXn y la cuantía máxima que podrá tomar la penalización vinculada a la disponibilidad obtenida por la empresa i el año n, si incumple los valores objetivos, será CMinn. Asimismo, el Dobjetivo_periodo es el valor del índice ponderado de disponibilidad establecido como objetivo. Este parámetro podrá ser modificado al inicio de cada periodo regulatorio por la Comisión Nacional de los Mercados y la Competencia. Si no se llevara a cabo esta revisión, se entenderá prorrogado su valor para todo el periodo regulatorio siguiente.

A los efectos del subincentivo a la disponibilidad de la red de transporte resultarán de aplicación las siguientes definiciones:

a) F: familia de instalaciones. Son las instalaciones de transporte de energía eléctrica que, por su función y por sus características técnicas, tienen tasas de fallos similares y un tratamiento homogéneo a los efectos del incentivo de disponibilidad. Las familias serán las establecidas en el anexo I.

b) tj: tiempo de indisponibilidad de una instalación. Es el número de horas que la instalación de transporte de energía eléctrica j no está disponible para su correcto funcionamiento durante el año n−2.

c) Imagen: /datos/imagenes/disp/2025/311/26676_16466886_3.png: índice de indisponibilidad anual de una instalación j el año n−2. Es el cociente entre el número de horas tj que una instalación está indisponible y el número de horas del periodo en estudio Tj expresado en tanto por ciento:

Imagen: /datos/imagenes/disp/2025/311/26676_16466886_4.png

Donde:

Tj es el número de horas del periodo en que es analizada la disponibilidad de la instalación j. A los efectos del cálculo del presente incentivo, este periodo será un año, salvo que la instalación haya obtenido autorización de explotación a lo largo de ese año, en cuyo caso será el número de horas que dicha instalación j ha estado en servicio.

d) Imagen: /datos/imagenes/disp/2025/311/26676_16466887_1.png: índice de disponibilidad de una instalación j el año n−2. Expresa el porcentaje del tiempo total que dicha instalación ha estado disponible para el servicio a lo largo del año n−2, siendo por tanto el complemento a 100 del índice de indisponibilidad:

Imagen: /datos/imagenes/disp/2025/311/26676_16466887_2.png

e) Imagen: /datos/imagenes/disp/2025/311/26676_16466887_3.png: índice de indisponibilidad de una familia de instalaciones F de la empresa i el año n−2. Expresa la indisponibilidad durante el año n de las instalaciones de transporte j de la empresa i que se incluyen en la familia F y se calculará de acuerdo a la siguiente expresión:

Imagen: /datos/imagenes/disp/2025/311/26676_16466887_4.png

Donde PNj es la potencia nominal de la instalación j perteneciente a la empresa i.

f) Imagen: /datos/imagenes/disp/2025/311/26676_16466887_5.png: índice de disponibilidad de una familia de instalaciones F de la empresa i el año n−2. Expresa la disponibilidad durante el año n−2 de las instalaciones de transporte j de la empresa i que se incluyen en la familia F y se calculará de acuerdo a la siguiente expresión:

Imagen: /datos/imagenes/disp/2025/311/26676_16466887_6.png

A los efectos del cálculo del incentivo de disponibilidad de la presente circular, se define como índice de disponibilidad ponderado de la red de transporte propiedad de la empresa i el año n−2 la siguiente expresión:

Imagen: /datos/imagenes/disp/2025/311/26676_16466887_7.png

Donde:

kF, n−2 es el índice que pondera el peso de cada una de las familias el año n−2 en el cálculo de la disponibilidad total de la red de una empresa. Este índice se calculará en función del número de unidades físicas y del coste de la operación y mantenimiento. Se hará de acuerdo a la siguiente expresión:

Imagen: /datos/imagenes/disp/2025/311/26676_16467636_1.png

Donde:

VOMj es el valor medio de los valores unitarios de referencia de operación y mantenimiento del año n−2 para las instalaciones de la familia F.

UFj son las unidades físicas de la instalación j.

El subincentivo de disponibilidad que la empresa i percibirá el año n asociado a la disponibilidad de su red de transporte el año n−2 se denomina Imagen: /datos/imagenes/disp/2025/311/26676_16467636_2.png y se calculará de acuerdo con la siguiente expresión:

Si Imagen: /datos/imagenes/disp/2025/311/26676_16467636_3.png

con un límite de Imagen: /datos/imagenes/disp/2025/311/26676_16467636_4.png

Si Imagen: /datos/imagenes/disp/2025/311/26676_16467636_5.png

Si Imagen: /datos/imagenes/disp/2025/311/26676_16467636_6.png

con un límite de Imagen: /datos/imagenes/disp/2025/311/26676_16467636_7.png

3. En relación con el subincentivo del tiempo medio de interrupción, la cuantía máxima que podrá tomar la bonificación a este incentivo se denominará Imagen: /datos/imagenes/disp/2025/311/26676_16467636_8.png y la cuantía máxima que podrá tomar la penalización se denomina Imagen: /datos/imagenes/disp/2025/311/26676_16467636_9.png obtenida por la empresa i el año n.

Asimismo, el TIMobjetivo_periodo es el valor objetivo a cumplir en el periodo. Este parámetro podrá ser modificado al inicio de cada periodo regulatorio por la Comisión Nacional de los Mercados y la Competencia. Si no se llevara a cabo esta revisión, se entenderá prorrogado su valor para todo el periodo regulatorio siguiente.

El subincentivo de reducción del tiempo medio de interrupción que la empresa i percibirá el año n asociado al TIM el año n−2 se denomina Imagen: /datos/imagenes/disp/2025/311/26676_16467856_1.png y se calculará de acuerdo con la siguiente expresión:

Si Imagen: /datos/imagenes/disp/2025/311/26676_16467856_2.png

Entonces:

Imagen: /datos/imagenes/disp/2025/311/26676_16467856_3.png

Si Imagen: /datos/imagenes/disp/2025/311/26676_16467856_4.png

 Entonces:

Imagen: /datos/imagenes/disp/2025/311/26676_16467856_5.png

Si Imagen: /datos/imagenes/disp/2025/311/26676_16467856_6.png

 Entonces:

Imagen: /datos/imagenes/disp/2025/311/26676_16467856_7.png

Si Imagen: /datos/imagenes/disp/2025/311/26676_16467856_8.png

 Entonces:

Imagen: /datos/imagenes/disp/2025/311/26676_16467856_9.png

Si Imagen: /datos/imagenes/disp/2025/311/26676_16467856_10.png

Entonces:

Imagen: /datos/imagenes/disp/2025/311/26676_16467857_1.png»

Siete. Se modifica el punto 2 del artículo 19, que queda redactado en los siguientes términos:

«2. La penalización será el resultado de aplicar la siguiente fórmula:

Imagen: /datos/imagenes/disp/2025/311/26676_16467857_2.png

Donde:

n: es cada año del periodo regulatorio.

PPFn: es el valor de la penalización en el año n, en euros.

RAn: es la retribución anual del titular de activos de red en el año n, en euros, en los términos en los que se define en el artículo 5.

IGRn: es el índice global de ratios del año n, definido en el apartado sexto de la Comunicación 1/2019, de 23 de octubre, de la Comisión Nacional de los Mercados y la Competencia, de definición de ratios para valorar el nivel de endeudamiento y la capacidad económico-financiera de las empresas que realizan actividades reguladas, y de rangos de valores recomendables de los mismos.»

Ocho. Se añade un nuevo artículo 20 conforme a la siguiente redacción:

«Artículo 20. Adelanto de inversiones previstas en la planificación.

1. Los sujetos previstos en el artículo 18.2 del Real Decreto 1047/2013, de 27 de diciembre, que por motivos sobrevenidos deseasen una fecha de puesta en servicio más temprana que la señalada en el instrumento de planificación o en su caso en el plan de inversiones aprobado por la Dirección General de Política Energética y Minas, y soliciten el adelanto de la construcción de dicha instalación, de acuerdo con lo establecido en el mencionado artículo, deberán hacerse cargo de la retribución de la instalación que le correspondería al transportista durante el periodo correspondiente derivado de la anticipación de la puesta en servicio. Esta retribución en ningún caso será superior a la que corresponda por aplicación de los valores unitarios vigentes a esta instalación.

La instalación puesta en servicio en ningún caso, podrá percibir una retribución con cargo al sistema en una fecha anterior a la prevista para su puesta en servicio en el instrumento de planificación de la red de transporte.

2. La fecha prevista de obtención de la autorización de explotación que figurase en la planificación de la red de transporte, o en el programa anual si esta se hubiera modificado, será la equivalente a efectos retributivos a la de obtención de la autorización de explotación, por lo que dicha instalación comenzará a devengar retribución con cargo al sistema el 1 de enero del año n+2 siendo n el año de obtención de la autorización de explotación previsto en los documentos antes señalados.

El valor de inversión a reconocer será el resultante de restar la amortización acumulada entre la fecha de puesta en servicio de la instalación y aquella prevista en el instrumento de planificación correspondiente, a la valoración de la instalación realizada conforme a valores unitarios vigentes.

Asimismo, la vida útil residual de esta instalación será la diferencia entre la que corresponda a una instalación de esas características y los años transcurridos desde su fecha de obtención de la autorización de explotación hasta la fecha de puesta en servicio prevista en el instrumento de planificación correspondiente».

Nueve. Se añade un nuevo capítulo VIII con la siguiente redacción:

«CAPÍTULO VIII
Instalaciones tipo y valores unitarios de referencia
Artículo 21. Instalaciones tipo y valores unitarios de referencia de inversión y de operación y mantenimiento por elemento de inmovilizado aplicables a las instalaciones de transporte de energía eléctrica.

1. Las instalaciones tipo que serán aplicables a las instalaciones de transporte de energía eléctrica son las que figuran en el anexo II.

2. Los valores unitarios de referencia de inversión por elemento de inmovilizado que serán aplicables a las instalaciones de transporte de energía eléctrica son los que figuran en los anexos III, IV, V y VI, según el territorio en que estén ubicadas.

3. Los valores unitarios de referencia de operación y mantenimiento por elemento de inmovilizado que serán aplicables a las instalaciones de transporte de energía eléctrica son los que figuran en los anexos VII, VIII, IX y X, según el territorio en que estén ubicadas».

Diez. El anexo pasará a denominarse anexo I, y se añaden los nuevos anexos II a X con la siguiente redacción:

«ANEXO II
Instalaciones tipo

Líneas

Código Descripción
TI-001P 400 kV (dúplex) Simple circuito.
TI-002P 400 kV (dúplex) Doble circuito.
TI-003P 400 kV (dúplex) Cuádruple circuito.
TI-004P 400 kV (tríplex) Simple circuito.
TI-005P 400 kV (triplex) Doble circuito.
TI-006P 400 kV (triplex) Cuádruple circuito.
TI-007P 220 kV (simplex) Simple circuito.
TI-008P 220 kV (simplex) Doble circuito.
TI-009P 220 kV (dúplex) Simple circuito.
TI-010P 220 kV (dúplex) Doble circuito.
TI-011P 220 kV (dúplex) Cuádruple circuito.
TI-012P 220 kV Simple circuito de Cu de 1.100 mm2 de sección.
TI-013P 220 kV Doble circuito de Cu de 1.100 mm2 de sección.
TI-014P 220 kV Simple circuito de Cu de 2.000 mm2 de sección.
TI-015P 220 kV Doble circuito de Cu de 2.000 mm2 de sección.
TI-016P 220 kV Simple circuito de Cu de 2.500 mm2 de sección.
TI-017P 220 kV Doble circuito de Cu de 2.500 mm2 de sección.
TI-018P 220 kV Simple circuito de Al de 630 mm2 de sección.
TI-019P 220 kV Doble circuito de Al de 630 mm2 de sección.
TI-020P 220 kV Simple circuito de Al de 1.200 mm2 de sección.
TI-021P 220 kV Doble circuito de Al de 1.200 mm2 de sección.
TI-022P 220 kV Simple circuito de Al de 2.000 mm2 de sección.
TI-023P 220 kV Doble circuito de Al de 2.000 mm2 de sección.
TI-024B 220 kV (dúplex) Simple Circuito.
TI-025B 220 kV (dúplex) Doble Circuito.
TI-026B 220 kV (simplex) Simple Circuito.
TI-027B 220 kV (simplex) Doble Circuito.
TI-028B 132 kV (simplex) Simple Circuito.
TI-029B 132 kV (simplex) Doble Circuito.
TI-030B 66 kV (simplex) Simple Circuito.
TI-031B 66 kV (simplex) Doble Circuito.
TI-091B 220 kV Simple circuito de Cu 2.000 mm2 de sección.
TI-032B 220 kV Doble circuito de Cu 2.000 mm2 de sección.
TI-033B 220 kV Simple circuito de Cu 1.100 mm2 de sección.
TI-034B 220 kV Doble circuito de Cu 1.100 mm2 de sección.
TI-035B 220 kV Simple circuito de Al 630 mm2 de sección.
TI-036B 220 kV Doble circuito de Al 630 mm2 de sección.
TI-037B 220 kV Simple circuito de Al 2.000 mm2 de sección.
TI-038B 220 kV Doble circuito de Al 2.000 mm2 de sección.
TI-039B 220 kV Simple circuito de Al 1.200 mm2 de sección.
TI-040B 220 kV Doble circuito de Al 1.200 mm2 de sección.
TI-041B 132 kV Simple circuito de Al 1.200 mm2 de sección.
TI-042B 132 kV Doble circuito de Al 1.200 mm2 de sección.
TI-043B 66 kV Simple circuito de Al 1.000 mm2 de sección.
TI-044B 66 kV Doble circuito de Al 1.000 mm2 de sección.
TI-045C 220 kV (dúplex) Simple Circuito.
TI-046C 220 kV (dúplex) Doble Circuito.
TI-047C 220 kV (simplex) Simple Circuito.
TI-048C 220 kV (simplex) Doble Circuito.
TI-049C 132 kV (simplex) Simple Circuito.
TI-050C 132 kV (simplex) Doble Circuito.
TI-051C 66 kV (simplex) Simple Circuito.
TI-052C 66 kV (simplex) Doble Circuito.
TI-053C 220 kV Simple circuito de Cu 2.000 mm2 de sección.
TI-054C 220 kV Doble circuito de Cu 2.000 mm2 de sección.
TI-055C 220 kV Simple circuito de Cu 1.100 mm2 de sección.
TI-056C 220 kV Doble circuito de Cu 1.100 mm2 de sección.
TI-057C 220 kV Simple circuito de Al 630 mm2 de sección.
TI-058C 220 kV Doble circuito de Al 630 mm2 de sección.
TI-059C 220 kV Simple circuito de Al 2.000 mm2 de sección.
TI-060C 220 kV Doble circuito de Al 2.000 mm2 de sección.
TI-061C 220 kV Simple circuito de Al 1.200 mm2 de sección.
TI-062C 220 kV Doble circuito de Al 1.200 mm2 de sección.
TI-063C 132 kV Simple circuito de Al 1.200 mm2 de sección.
TI-064C 132 kV Doble circuito de Al 1.200 mm2 de sección.
TI-065C 66 kV Simple circuito de Al 1.000 mm2 de sección.
TI-066C 66 kV Doble circuito de Al 1.000 mm2 de sección.
TI-067DI 220 kV (dúplex) Simple Circuito.
TI-068DI 220 kV (dúplex) Doble Circuito.
TI-069DI 220 kV (simplex) Simple Circuito.
TI-070DI 220 kV (simplex) Doble Circuito.
TI-071DI 132 kV (simplex) Simple Circuito.
TI-072DI 132 kV (simplex) Doble Circuito.
TI-073DI 66 kV (simplex) Simple Circuito.
TI-074DI 66 kV (simplex) Doble Circuito.
TI-075DI 220 kV Simple circuito de Cu 2.000 mm2 de sección.
TI-076DI 220 kV Doble circuito de Cu 2.000 mm2 de sección.
TI-077DI 220 kV Simple circuito de Cu 1.100 mm2 de sección.
TI-078DI 220 kV Doble circuito de Cu 1.100 mm2 de sección.
TI-079DI 220 kV Simple circuito de Al 630 mm2 de sección.
TI-080DI 220 kV Doble circuito de Al 630 mm2 de sección.
TI-081DI 220 kV Simple circuito de Al 2.000 mm2 de sección.
TI-082DI 220 kV Doble circuito de Al 2.000 mm2 de sección.
TI-083DI 220 kV Simple circuito de Al 1.200 mm2 de sección.
TI-084DI 220 kV Doble circuito de Al 1.200 mm2 de sección.
TI-085DI 132 kV Simple circuito de Al 1.200 mm2 de sección.
TI-086DI 132 kV Doble circuito de Al 1.200 mm2 de sección.
TI-087DI 66 kV Simple circuito de Al 1.000 mm2 de sección.
TI-088DI 66 kV Doble circuito de Al 1.000 mm2 de sección.

Posiciones

Código Descripción
TI-090P Convencional 400 kV, 50 kA, todas las configuraciones.
TI-091P Convencional 220 kV, 40 kA, Interruptor y medio.
TI-092P Convencional 220 kV, 40 kA, resto de configuraciones.
TI-093P Blindada 400 kV, 63 kA, todas las configuraciones.
TI-094P Blindada 400 kV, 63 kA, con fluoductos.
TI-095P Blindada 220 kV, 40 kA, en edificio, todas las configuraciones.
TI-096P Blindada 220 kV, 40 kA, en edificio, todas las configuraciones, con fluoductos.
TI-097P Blindada 220 kV, 50 kA, en edificio, todas las configuraciones.
TI-098P Blindada 220 kV, 50 kA, en edificio, todas las configuraciones, con fluoductos.
TI-099P Blindada 220 kV, 63 kA, en edificio, todas las configuraciones.
TI-100P Blindada 220 kV, 63 kA, en edificio, todas las configuraciones, con fluoductos.
TI-101P Blindada 220 kV, 50 kA, en intemperie, todas las configuraciones.
TI-102P Blindada 220 kV, 50 kA, en intemperie, todas las configuraciones, con fluoductos.
TI-103P Blindada 220 kV, 63 kA, en intemperie, todas las configuraciones.
TI-104P Blindada 220 kV, 63 kA, en intemperie, todas las configuraciones, con fluoductos.
TI-105P Móvil 400 kV, todas las configuraciones.
TI-106P Móvil 220 kV, todas las configuraciones.
TI-107B Convencional 220 kV, 40 kA, Interruptor y medio.
TI-108B Convencional 220 kV, 40 kA, resto configuraciones.
TI-109B Convencional 132 kV, 31,5 kA.
TI-110B Convencional 66 kV, 31,5 kA.
TI-111B Blindada 220 kV en edificio, 40 kA.
TI-112B Blindada 220 kV en edificio, 40 kA, con fluoductos.
TI-113B Blindada 132 kV, 31,5 kA.
TI-114B Blindada 66 kV, 31,5 kA.
TI-115B Móvil 220 kV, todas las configuraciones.
TI-116B Móvil 132 kV, todas las configuraciones.
TI-117B Móvil 66 kV, todas las configuraciones.
TI-118C Convencional 220 kV, 40 kA, Interruptor y medio.
TI-119C Convencional 220 kV, 40 kA, resto configuraciones.
TI-139C Convencional 132 kV, 31,5 kA.
TI-120C Convencional 66 kV, 31,5 kA.
TI-121C Blindada 220 kV en edificio, 40 kA.
TI-122C Blindada 220 kV en edificio, 40 kA, con fluoductos.
TI-123C Blindada 132 kV, 31,5 kA.
TI-124C Blindada 66 kV, 31,5 kA.
TI-125C Móvil 220 kV, todas las configuraciones.
TI-126C Móvil 132 kV, todas las configuraciones.
TI-127C Móvil 66 kV, todas las configuraciones.
TI-128DI Convencional 220 kV, 40 kA, Interruptor y medio.
TI-129DI Convencional 220 kV, 40 kA, resto configuraciones.
TI-130DI Convencional 132 kV, 31,5 kA.
TI-131DI Convencional 66 kV, 31,5 kA.
TI-132DI Blindada 220 kV en edificio, 40 kA.
TI-133DI Blindada 220 kV en edificio, 40 kA, con fluoductos.
TI-134DI Blindada 132 kV, 31,5 kA.
TI-135DI Blindada 66 kV, 31,5 kA.
TI-136DI Móvil 220 kV, todas las configuraciones.
TI-137DI Móvil 132 kV, todas las configuraciones.
TI-138DI Móvil 66 kV, todas las configuraciones.

Máquinas

Código Descripción
TI-140P Transformadores monofásicos (400/220 kV).
TI-141P Transformadores trifásicos (400/220/132 kV).
TI-142P Reactancias (400 o 220 kV).
TI-143P Condensadores (400 o 220 kV).
TI-144B Transformador (220/132 kV).
TI-145B Transformador (220/66 kV).
TI-146B Transformador (132/66 kV).
TI-147B Reactancias (220 kV).
TI-148B Reactancias (132 kV).
TI-149B Reactancias (66 kV).
TI-150B Condensadores (66 kV).
TI-151C Transformador (220/132 kV).
TI-152C Transformador (220/66 kV).
TI-153C Transformador (132/66 kV).
TI-154C Reactancias (220 kV).
TI-155C Reactancias (132 kV).
TI-156C Reactancias (66 kV).
TI-157C Condensadores (66 kV).
TI-158DI Transformador (220/132 kV).
TI-159DI Transformador (220/66 kV).
TI-160DI Transformador (132/66 kV).
TI-161DI Reactancias (220 kV).
TI-162DI Reactancias (132 kV).
TI-163DI Reactancias (66 kV).
TI-164DI Condensadores (66 kV).

Instalaciones singulares

Código Descripción
TI-089P Líneas singulares ubicadas en territorio peninsular.
TI-090B Líneas singulares ubicadas en las islas Baleares.
TI-090C Líneas singulares ubicadas en las islas de Tenerife y Gran Canaria.
TI-090DI Líneas singulares ubicadas en el resto de islas pertenecientes a las islas Canarias.
TI-165P Máquinas singulares instaladas en territorio peninsular.
TI-165B Máquinas singulares instaladas en las islas Baleares.
TI-165C Máquinas singulares instaladas en Tenerife y Gran Canaria.
TI-165DI Máquinas singulares instaladas en el resto de islas Canarias.

Otras tipologías

Código Descripción
TI-166 Compensador estático síncrono (STATCOM).
TI-167 Compensador Var estáticos (SVC).
TI-168 Reactor con control de tiristor (TCR).
TI-169 Reactancia conmutada por tiristor (TSR).
TI-170 Condensador conmutado por tiristor (TSC).
TI-171 Resistencia de frenado controlada por tiristor (TCR).
TI-172 Compensador estático síncrono en serie (SSSC).
TI-173 Condensador en serie controlado por tiristor (TCSC).
TI-174 Condensador en serie conmutado por tiristor (TSSC).
TI-175 Compensador síncrono (CS).
TI-176 Reactancia en serie controlada por tiristor (TCSR).
TI-177 Reactor en serie conmutado por tiristor (TSSR).
TI-178 Controlador de línea de sobrecarga (CLS).
TI-179 Transformador desfasador controlado por tiristor (TCPST).
TI-180 Regulador de ángulo de fase controlado por tiristor (TCPR).
TI-181 Controlador unificado de flujo de potencia (UPFC).
TI-182 Controlador de flujo de potencia interlínea (IPFC).
TI-183 Capacidad dinámica de línea (DLR).
TI-184 Equipos de autonomía 24 h.
TI-185 Adecuación de subestación a Procedimientos de Operación.
TI-186 STATCOM híbridos (STATCOMh).
TI-187 Transformador desfasador (TD).
TI-188 Reactancia por etapa (RPE).
TI-189 Sistemas de almacenamiento (Baterías integradas en la red de transporte).
TI-190 Nuevas líneas con conductor de alta temperatura y/o baja flecha.
TI-191 Posiciones con tecnologías libres de SF6.
ANEXO III
Valores unitarios de referencia de inversión por elemento de inmovilizado para las instalaciones de transporte de energía eléctrica ubicadas en el territorio peninsular

Valores unitarios de referencia de inversión para líneas aéreas

Código Líneas aéreas de longitud mayor o igual a 10 km

Término variable

Euros/km

Término fijo

Euros

TI-001P 400 kV (dúplex) Simple circuito. 339.622
TI-002P 400 kV (dúplex) Doble circuito. 574.744
TI-003P 400 kV (dúplex) Cuádruple circuito. 1.149.489
TI-004P 400 kV (triplex) Simple circuito. 424.527
TI-005P 400 kV (triplex) Doble circuito. 648.481
TI-006P 400 kV (triplex) Cuádruple circuito. 1.436.861
TI-007P 220 kV (simplex) Simple circuito. 287.413
TI-008P 220 kV (simplex) Doble circuito. 486.391
TI-009P 220 kV (dúplex) Simple circuito. 309.045
TI-010P 220 kV (dúplex) Doble circuito. 523.001
TI-011P 220 kV (dúplex) Cuádruple circuito. 1.046.001
Código Líneas aéreas de longitud menor a 10 km

Término variable

Euros/km

Término fijo

Euros

TI-001P 400 kV (dúplex) Simple circuito. 305.361 342.612
TI-002P 400 kV (dúplex) Doble circuito. 516.763 579.805
TI-003P 400 kV (dúplex) Cuádruple circuito. 940.956 2.085.333
TI-004P 400 kV (triplex) Simple circuito. 347.512 770.151
TI-005P 400 kV (triplex) Doble circuito. 518.148 1.303.333
TI-006P 400 kV (triplex) Cuádruple circuito. 1.176.194 2.606.666
TI-007P 220 kV (simplex) Simple circuito. 238.803 486.094
TI-008P 220 kV (simplex) Doble circuito. 420.326 660.650
TI-009P 220 kV (dúplex) Simple circuito. 256.777 522.682
TI-010P 220 kV (dúplex) Doble circuito. 451.963 710.376
TI-011P 220 kV (dúplex) Cuádruple circuito. 869.093 1.769.080
Tendido de circuitos en fases Porcentaje sobre su unitarios correspondiente
Tendido 1.er circuito con apoyos para dos. 80
Tendido 2.º circuito con apoyos para dos. 30
Aumentos de capacidad

Término variable

Euros/MVA y km

400 kV (€/MVA y km línea). 40
220 kV (€/MVA y km línea). 214

Valores unitarios de referencia de inversión para líneas subterráneas

Código Líneas subterráneas de longitud mayor o igual a 2,2 km

Término variable

Euros/km

Término fijo

Euros

TI-012P 220 kV Simple circuito de Cu de 1.100 mm2 de sección. 1.802.928
TI-013P 220 kV Doble circuito de Cu de 1.100 mm2 de sección. 3.505.660
TI-014P 220 kV Simple circuito de Cu de 2.000 mm2 de sección. 2.389.421
TI-015P 220 kV Doble circuito de Cu de 2.000 mm2 de sección. 4.437.545
TI-016P 220 kV Simple circuito de Cu de 2.500 mm2 de sección. 2.729.011
TI-017P 220 kV Doble circuito de Cu de 2.500 mm2 de sección. 5.375.876
TI-018P 220 kV Simple circuito de Al de 630 mm2 de sección. 935.697
TI-019P 220 kV Doble circuito de Al de 630 mm2 de sección. 1.819.393
TI-020P 220 kV Simple circuito de Al de 1.200 mm2 de sección. 1.095.449
TI-021P 220 kV Doble circuito de Al de 1.200 mm2 de sección. 2.161.911
TI-022P 220 kV Simple circuito de Al de 2.000 mm2 de sección. 1.574.708
TI-023P 220 kV Doble circuito de Al de 2.000 mm2 de sección. 3.061.906
Código Líneas subterráneas de longitud menor a 2,2 km

Término variable

Euros/km

Término fijo

Euros

TI-012P 220 kV Simple circuito de Cu de 1.100 mm2 de sección. 1.300.288 1.105.808
TI-013P 220 kV Doble circuito de Cu de 1.100 mm2 de sección. 2.647.886 1.887.104
TI-014P 220 kV Simple circuito de Cu de 2.000 mm2 de sección. 2.004.401 847.044
TI-015P 220 kV Doble circuito de Cu de 2.000 mm2 de sección. 3.780.493 1.445.515
TI-016P 220 kV Simple circuito de Cu de 2.500 mm2 de sección. 2.087.058 1.412.296
TI-017P 220 kV Doble circuito de Cu de 2.500 mm2 de sección. 4.278.116 2.415.073
TI-018P 220 kV Simple circuito de Al de 630 mm2 de sección. 674.833 573.900
TI-019P 220 kV Doble circuito de Al de 630 mm2 de sección. 1.374.218 979.384
TI-020P 220 kV Simple circuito de Al de 1.200 mm2 de sección. 790.048 671.882
TI-021P 220 kV Doble circuito de Al de 1.200 mm2 de sección. 1.640.731 1.146.595
TI-022P 220 kV Simple circuito de Al de 2.000 mm2 de sección. 1.135.694 965.832
TI-023P 220 kV Doble circuito de Al de 2.000 mm2 de sección. 2.312.711 1.648.231

Valores unitarios de referencia de inversión para posiciones

Código Posiciones convencionales

Término

Euros/posición

TI-090P Convencional 400 kV, 50 kA, todas las configuraciones. 1.075.226
TI-091P Convencional 220 kV, 40 kA, Interruptor y medio. 706.083
TI-092P Convencional 220 kV, 40 kA, resto de configuraciones. 751.256
Código Posiciones blindadas

Término

Euros/posición

TI-093P Blindada 400 kV, 63 kA, todas las configuraciones. 2.311.560
TI-094P Blindada 400 kV, 63 kA, con fluoductos. 2.889.450
TI-095P Blindada 220 kV, 40 kA, en edificio, todas las configuraciones. 567.175
TI-096P Blindada 220 kV, 40 kA, en edificio, todas las configuraciones, con fluoductos. 629.107
TI-097P Blindada 220 kV, 50 kA, en edificio, todas las configuraciones. 1.002.661
TI-098P Blindada 220 kV, 50 kA, en edificio, todas las configuraciones, con fluoductos. 1.112.145
TI-099P Blindada 220 kV, 63 kA, en edificio, todas las configuraciones. 1.524.699
TI-100P Blindada 220 kV, 63 kA, en edificio, todas las configuraciones, con fluoductos. 1.905.874
TI-101P Blindada 220 kV, 50 kA, en intemperie, todas las configuraciones. 1.193.242
TI-102P Blindada 220 kV, 50 kA, en intemperie, todas las configuraciones, con fluoductos. 1.491.553
TI-103P Blindada 220 kV, 63 kA, en intemperie, todas las configuraciones. 1.372.229
TI-104P Blindada 220 kV, 63 kA, en intemperie, todas las configuraciones, con fluoductos. 1.715.286
Código Posiciones móviles

Término

Euros/posición

TI-105P Móvil 400 kV, todas las configuraciones. 2.512.565
TI-106P Móvil 220 kV, todas las configuraciones. 1.023.124
Posiciones de reserva convencionales Porcentaje sobre unitario correspondiente
Posición de reserva sin equipar (Convencional) 400 kV. 41,40
Posición de reserva sin equipar (Convencional) 220 kV. 33,50
Equipamiento de posición de reserva (Convencional) 400 kV. 58,60
Equipamiento de posición de reserva (Convencional) 220 kV. 66,50
Posiciones de reserva blindadas Porcentaje sobre unitario correspondiente
Posición de reserva sin equipar (Blindada) 400 kV. 21,60
Equipamiento de posición de reserva (Blindada) 400 kV. 78,40
Posición de reserva sin equipar (Blindada) 220 kV. 48,50
Equipamiento de posición de reserva (Blindada) 220 kV. 51,50

Valores unitarios de referencia de inversión para máquinas

Código Máquinas de potencia

Término variable

Euros/MVA

TI-140P Transformadores monofásicos (400/220 kV). 11.802
TI-141P Transformadores trifásicos (400/220/132 kV). 11.755
Código Máquinas de compensación de reactiva

Término variable

Euros/MVAr

TI-142P Reactancias (400 o 220 kV). 15.421
TI-143P Condensadores (400 o 220 kV). 19.613
ANEXO IV
Valores unitarios de referencia de inversión por elemento de inmovilizado para las instalaciones de transporte de energía eléctrica ubicadas en las Islas Baleares

Valores unitarios de referencia de inversión para líneas aéreas

Código Líneas aéreas de longitud mayor o igual a 10 km

Término variable

Euros/km

Término fijo

Euros

TI-024B 220 kV (dúplex) Simple Circuito. 402.506
TI-025B 220 kV (dúplex) Doble Circuito. 681.163
TI-026B 220 kV (simplex) Simple Circuito. 374.329
TI-027B 220 kV (simplex) Doble Circuito. 633.480
TI-028B 132 kV (simplex) Simple Circuito. 339.814
TI-029B 132 kV (simplex) Doble Circuito. 498.392
TI-030B 66 kV (simplex) Simple Circuito. 269.022
TI-031B 66 kV (simplex) Doble Circuito. 394.566
Código Líneas aéreas de longitud menor a 10 km

Término variable

Euos/km

Término fijo

Euros

TI-024B 220 kV (dúplex) Simple Circuito. 334.431 680.748
TI-025B 220 kV (dúplex) Doble Circuito. 590.967 901.951
TI-026B 220 kV (simplex) Simple Circuito. 311.020 633.096
TI-027B 220 kV (simplex) Doble Circuito. 549.599 838.814
TI-028B 132 kV (simplex) Simple Circuito. 284.292 555.211
TI-029B 132 kV (simplex) Doble Circuito. 416.962 814.309
TI-030B 66 kV (simplex) Simple Circuito. 226.251 427.708
TI-031B 66 kV (simplex) Doble Circuito. 331.835 627.305
Tendido de circuitos en fases Porcentaje sobre su unitarios correspondiente
Tendido 1er circuito con apoyos para dos. 85
Tendido 2.º circuito con apoyos para dos. 25
Aumentos de capacidad

Término variable

Euos/MVA y km

220 kV (€/MVA y km de línea). 209
132 kV (€/MVA y km de línea). 1.247
66 kV (€/MVA y km de línea). 3.134

Valores unitarios de referencia de inversión para líneas subterráneas

Código Líneas subterráneas de longitud mayor o igual a 2,2 km

Término variable

Euros/km

Término fijo

Euros

TI-091B 220 kV Simple circuito de Cu 2.000 mm2 de sección. 2.860.206
TI-032B 220 kV Doble circuito de Cu 2.000 mm2 de sección. 5.578.146
TI-033B 220 kV Simple circuito de Cu 1.100 mm2 de sección. 2.166.940
TI-034B 220 kV Doble circuito de Cu 1.100 mm2 de sección. 4.406.736
TI-035B 220 kV Simple circuito de Al 630 mm2 de sección. 1.124.615
TI-036B 220 kV Doble circuito de Al 630 mm2 de sección. 2.287.040
TI-037B 220 kV Simple circuito de Al 2.000 mm2 de sección. 1.892.644
TI-038B 220 kV Doble circuito de Al 2.000 mm2 de sección. 3.848.922
TI-039B 220 kV Simple circuito de Al 1.200 mm2 de sección. 1.316.623
TI-040B 220 kV Doble circuito de Al 1.200 mm2 de sección. 2.677.511
TI-041B 132 kV Simple circuito de Al 1.200 mm2 de sección. 1.307.871
TI-042B 132 kV Doble circuito de Al 1.200 mm2 de sección. 2.562.515
TI-043B 66 kV Simple circuito de Al 1.000 mm2 de sección. 1.003.926
TI-044B 66 kV Doble circuito de Al 1.000 mm2 de sección. 1.889.018
Código Líneas subterráneas de longitud menor a 2,2 km

Término variable

Euros/km

Término fijo

Euros

TI-091B 220 kV Simple circuito de Cu 2.000 mm2 de sección. 2.399.011 1.014.630
TI-032B 220 kV Doble circuito de Cu 2.000 mm2 de sección. 4.754.995 1.810.932
TI-033B 220 kV Simple circuito de Cu 1.100 mm2 de sección. 1.562.816 1.329.072
TI-034B 220 kV Doble circuito de Cu 1.100 mm2 de sección. 3.328.483 2.372.155
TI-035B 220 kV Simple circuito de Al 630 mm2 de sección. 811.082 689.772
TI-036B 220 kV Doble circuito de Al 630 mm2 de sección. 1.727.441 1.231.118
TI-037B 220 kV Simple circuito de Al 2.000 mm2 de sección. 1.364.992 1.160.835
TI-038B 220 kV Doble circuito de Al 2.000 mm2 de sección. 2.907.157 2.071.881
TI-039B 220 kV Simple circuito de Al 1.200 mm2 de sección. 949.561 807.537
TI-040B 220 kV Doble circuito de Al 1.200 mm2 de sección. 2.022.370 1.441.310
TI-041B 132 kV Simple circuito de Al 1.200 mm2 de sección. 1.036.842 596.265
TI-042B 132 kV Doble circuito de Al 1.200 mm2 de sección. 2.165.510 873.412
TI-043B 66 kV Simple circuito de Al 1.000 mm2 de sección. 784.899 481.859
TI-044B 66 kV Doble circuito de Al 1.000 mm2 de sección. 1.585.522 667.692

Valores unitarios de referencia de inversión para posiciones

Código Posiciones convencionales

Término

Euros/posición

TI-107B Convencional 220 kV, 40 kA, Interruptor y medio. 879.100
TI-108B Convencional 220 kV, 40 kA, resto configuraciones. 722.917
TI-109B Convencional 132 kV, 31,5 kA. 542.977
TI-110B Convencional 66 kV, 31,5 kA. 450.947
Código Posiciones blindadas

Término

Euros/posición

TI-111B Blindada 220 kV en edificio, 40 kA. 1.385.373
TI-112B Blindada 220 kV en edificio, 40 kA, con fluoductos. 1.536.379
TI-113B Blindada 132 kV, 31,5 kA. 784.797
TI-114B Blindada 66 kV, 31,5 kA. 736.480
Código Posiciones móviles

Término

Euros/posición

TI-115B Móvil 220 kV, todas las configuraciones. 1.338.525
TI-116B Móvil 132 kV, todas las configuraciones. 758.258
TI-117B Móvil 66 kV, todas las configuraciones. 711.575
Posiciones de reserva convencionales Porcentaje sobre unitario correspondiente
Posición de reserva sin equipar (Convencional) 220 kV. 36,30
Equipamiento de posición de reserva (Convencional) 220 kV. 63,70
Posición de reserva sin equipar (Convencional) 132 kV. 52,90
Equipamiento de posición de reserva (Convencional) 132 kV. 47,10
Posición de reserva sin equipar (Convencional) 66 kV. 48,80
Equipamiento de posición de reserva (Convencional) 66 kV. 51,20
Posiciones de reserva blindadas Porcentaje sobre unitario correspondiente
Posición de reserva sin equipar (blindada) 220 kV. 48,50
Equipamiento de posición de reserva (blindada) 220 kV. 51,50
Posición de reserva sin equipar (blindada) 132 kV. 46,20
Equipamiento de posición de reserva (blindada) 132 kV. 53,80
Posición de reserva sin equipar (blindada) 66 kV. 46,60
Equipamiento de posición de reserva (blindada) 66 kV. 53,40

Valores unitarios de referencia de inversión para máquinas

Código Máquinas de potencia

Término variable

Euros/MVA

TI-144B Transformador (220/132 kV). 10.951
TI-145B Transformador (220/66 kV). 16.091
TI-146B Transformador (132/66 kV). 15.459
Código Máquinas de compensación de reactiva

Término variable

Euros/MVAr

TI-147B Reactancias (220 kV). 40.639
TI-148B Reactancias (132 kV). 46.157
TI-149B Reactancias (66 kV). 22.316
TI-150B Condensadores (66 kV). 2.422
ANEXO V
Valores unitarios de referencia de inversión por elemento de inmovilizado para las instalaciones de transporte de energía eléctrica ubicadas en las islas de Tenerife y Gran Canaria

Valores unitarios de referencia de inversión para líneas aéreas

Código Líneas aéreas de longitud mayor o igual a 10 km

Término variable

Euros/km

Término fijo

Euros

TI-045C 220 kV (dúplex) Simple Circuito. 487.364
TI-046C 220 kV (dúplex) Doble Circuito. 824.770
TI-047C 220 kV (simplex) Simple Circuito. 453.248
TI-048C 220 kV (simplex) Doble Circuito. 767.035
TI-049C 132 kV (simplex) Simple Circuito. 408.443
TI-050C 132 kV (simplex) Doble Circuito. 599.050
TI-051C 66 kV (simplex) Simple Circuito. 330.571
TI-052C 66 kV (simplex) Doble Circuito. 484.838
Código Líneas aéreas de longitud menor a 10 km

Término variable

Euros/km

Término fijo

Euros

TI-045C 220 kV (dúplex) Simple Circuito. 404.937 824.267
TI-046C 220 kV (dúplex) Doble Circuito. 715.559 1.092.105
TI-047C 220 kV (simplex) Simple Circuito. 376.591 766.569
TI-048C 220 kV (simplex) Doble Circuito. 665.469 1.015.658
TI-049C 132 kV (simplex) Simple Circuito. 355.088 533.555
TI-050C 132 kV (simplex) Doble Circuito. 520.795 782.548
TI-051C 66 kV (simplex) Simple Circuito. 289.793 407.782
TI-052C 66 kV (simplex) Doble Circuito. 425.030 598.080
Tendido de circuitos en fases Porcentaje sobre su unitarios correspondiente
Tendido 1.er circuito con apoyos para dos. 85
Tendido 2.º circuito con apoyos para dos. 25
Aumentos de capacidad

Término variable

Euros/MVA y km

220 kV (€/MVA y km de línea). 211
132 kV (€/MVA y km de línea). 1.265
66 kV (€/MVA y km de línea). 3.180

Valores unitarios de referencia de inversión para líneas subterráneas

Código Líneas subterráneas de longitud mayor o igual a 2,2 km

Término variable

Euros/km

Término fijo

Euros

TI-053C 220 kV Simple circuito de Cu 2.000 mm2 de sección. 2.965.169
TI-054C 220 kV Doble circuito de Cu 2.000 mm2 de sección. 5.822.802
TI-055C 220 kV Simple circuito de Cu 1.100 mm2 de sección. 2.246.461
TI-056C 220 kV Doble circuito de Cu 1.100 mm2 de sección. 4.600.013
TI-057C 220 kV Simple circuito de Al 630 mm2 de sección. 1.165.885
TI-058C 220 kV Doble circuito de Al 630 mm2 de sección. 2.387.349
TI-059C 220 kV Simple circuito de Al 2.000 mm2 de sección. 1.962.099
TI-060C 220 kV Doble circuito de Al 2.000 mm2 de sección. 3.502.248
TI-061C 220 kV Simple circuito de Al 1.200 mm2 de sección. 1.364.939
TI-062C 220 kV Doble circuito de Al 1.200 mm2 de sección. 2.794.945
TI-063C 132 kV Simple circuito de Al 1.200 mm2 de sección. 1.381.993
TI-064C 132 kV Doble circuito de Al 1.200 mm2 de sección. 2.716.132
TI-065C 66 kV Simple circuito de Al 1.000 mm2 de sección. 1.063.045
TI-066C 66 kV Doble circuito de Al 1.000 mm2 de sección. 2.010.902
Código Líneas subterráneas de longitud menor a 2,2 km

Término variable

Eros/km

Término fijo

Euros

TI-053C 220 kV Simple circuito de Cu 2.000 mm2 de sección. 2.487.049 1.051.864
TI-054C 220 kV Doble circuito de Cu 2.000 mm2 de sección. 4.963.547 1.890.359
TI-055C 220 kV Simple circuito de Cu 1.100 mm2 de sección. 1.620.168 1.377.845
TI-056C 220 kV Doble circuito de Cu 1.100 mm2 de sección. 3.474.469 2.476.197
TI-057C 220 kV Simple circuito de Al 630 mm2 de sección. 840.847 715.085
TI-058C 220 kV Doble circuito de Al 630 mm2 de sección. 1.803.206 1.285.115
TI-059C 220 kV Simple circuito de Al 2.000 mm2 de sección. 1.415.083 1.203.434
TI-060C 220 kV Doble circuito de Al 2.000 mm2 de sección. 2.519.178 2.162.753
TI-061C 220 kV Simple circuito de Al 1.200 mm2 de sección. 984.406 837.172
TI-062C 220 kV Doble circuito de Al 1.200 mm2 de sección. 2.111.070 1.504.524
TI-063C 132 kV Simple circuito de Al 1.200 mm2 de sección. 1.098.234 624.270
TI-064C 132 kV Doble circuito de Al 1.200 mm2 de sección. 2.297.587 920.799
TI-065C 66 kV Simple circuito de Al 1.000 mm2 de sección. 835.187 501.288
TI-066C 66 kV Doble circuito de Al 1.000 mm2 de sección. 1.692.784 699.860

Valores unitarios de referencia de inversión para posiciones

Código Posiciones convencionales

Término

Euros/posición

TI-118C Convencional 220 kV, 40 kA, Interruptor y medio. 944.671
TI-119C Convencional 220 kV, 40 kA, resto configuraciones. 776.838
TI-139C Convencional 132 kV, 31,5 kA. 583.280
TI-120C Convencional 66 kV, 31,5 kA. 483.818
Código Posiciones blindadas

Término

Euros/posición

TI-121C Blindada 220 kV en edificio, 40 kA. 1.367.184
TI-122C Blindada 220 kV en edificio, 40 kA, con fluoductos. 1.516.207
TI-123C Blindada 132 kV, 31,5 kA. 773.268
TI-124C Blindada 66 kV, 31,5 kA. 727.267
Código Posiciones móviles

Término

Euros/posición

TI-125C Móvil 220 kV, todas las configuraciones. 1.409.468
TI-126C Móvil 132 kV, todas las configuraciones. 797.184
TI-127C Móvil 66 kV, todas las configuraciones. 749.759
Posiciones de reserva convencionales Porcentaje sobre unitario correspondiente
Posición de reserva sin equipar (Convencional) 220 kV. 36,30
Equipamiento de posición de reserva (Convencional) 220 kV. 63,70
Posición de reserva sin equipar (Convencional) 132 kV. 55,00
Equipamiento de posición de reserva (Convencional) 132 kV. 45,00
Posición de reserva sin equipar (Convencional) 66 kV. 49,80
Equipamiento de posición de reserva (Convencional) 66 kV. 50,20
Posiciones de reserva blindadas Porcentaje sobre unitario correspondiente
Posición de reserva sin equipar (blindada) 220 kV. 48,50
Equipamiento de posición de reserva (blindada) 220 kV. 51,50
Posición de reserva sin equipar (blindada) 132 kV. 47,80
Equipamiento de posición de reserva (blindada) 132 kV. 52,20
Posición de reserva sin equipar (blindada) 66 kV. 48,20
Equipamiento de posición de reserva (blindada) 66 kV. 51,80

Valores unitarios de referencia de inversión para máquinas

Código Máquinas de potencia

Término variable

Euros/MVA

TI-151C Transformador (220/132 kV). 11.112
TI-152C Transformador (220/66 kV). 16.300
TI-153C Transformador (132/66 kV). 15.624
Código Máquinas de compensación de reactiva

Término variable

Euros/MVAr

TI-154C Reactancias (220 kV). 41.155
TI-155C Reactancias (132 kV). 46.745
TI-156C Reactancias (66 kV). 22.600
TI-157C Condensadores (66 kV). 2.453
ANEXO VI
Valores unitarios de referencia de inversión por elemento de inmovilizado para las instalaciones de transporte de energía eléctrica ubicadas en el resto de islas pertenecientes al archipiélago canario

Valores unitarios de referencia de inversión para líneas aéreas

Código Líneas aéreas de longitud mayor o igual a 10 km

Término variable

Euros/km

Término fijo

Euros

TI-067DI 220 kV (dúplex) Simple Circuito. 654.134
TI-068DI 220 kV (dúplex) Doble Circuito. 1.106.996
TI-069DI 220 kV (simplex) Simple Circuito. 608.344
TI-070DI 220 kV (simplex) Doble Circuito. 1.029.506
TI-071DI 132 kV (simplex) Simple Circuito. 547.650
TI-072DI 132 kV (simplex) Doble Circuito. 803.220
TI-073DI 66 kV (simplex) Simple Circuito. 440.585
TI-074DI 66 kV (simplex) Doble Circuito. 646.192
Código Líneas aéreas de longitud menor a 10 km

Término variable

Euros/km

Término fijo

Euros

TI-067DI 220 kV (dúplex) Simple Circuito. 543.502 1.106.323
TI-068DI 220 kV (dúplex) Doble Circuito. 960.414 1.465.811
TI-069DI 220 kV (simplex) Simple Circuito. 505.456 1.028.880
TI-070DI 220 kV (simplex) Doble Circuito. 893.186 1.363.204
TI-071DI 132 kV (simplex) Simple Circuito. 477.069 705.813
TI-072DI 132 kV (simplex) Doble Circuito. 699.701 1.035.192
TI-073DI 66 kV (simplex) Simple Circuito. 387.651 529.344
TI-074DI 66 kV (simplex) Doble Circuito. 568.555 776.370
Tendido de circuitos en fases Porcentaje sobre su unitarios correspondiente
Tendido 1.er circuito con apoyos para dos. 85
Tendido 2.º circuito con apoyos para dos. 25
Aumentos de capacidad

Término variable

Euros/MVA y km

220 kV (€/MVA y km de línea). 240
132 kV (€/MVA y km de línea). 1.430
66 kV (€/MVA y km de línea). 3.594

Valores unitarios de referencia de inversión para líneas subterráneas

Código Líneas subterráneas de longitud mayor o igual a 2,2 km

Término variable

Euros/km

Término fijo

Euros

TI-075DI 220 kV Simple circuito de Cu 2.000 mm2 de sección. 3.463.736
TI-076DI 220 kV Doble circuito de Cu 2.000 mm2 de sección. 6.752.493
TI-077DI 220 kV Simple circuito de Cu 1.100 mm2 de sección. 2.624.185
TI-078DI 220 kV Doble circuito de Cu 1.100 mm2 de sección. 5.334.469
TI-079DI 220 kV Simple circuito de Al 630 mm2 de sección. 1.361.919
TI-080DI 220 kV Doble circuito de Al 630 mm2 de sección. 2.768.522
TI-081DI 220 kV Simple circuito de Al 2.000 mm2 de sección. 2.292.009
TI-082DI 220 kV Doble circuito de Al 2.000 mm2 de sección. 4.659.220
TI-083DI 220 kV Simple circuito de Al 1.200 mm2 de sección. 1.594.441
TI-084DI 220 kV Doble circuito de Al 1.200 mm2 de sección. 3.241.196
TI-085DI 132 kV Simple circuito de Al 1.200 mm2 de sección. 1.689.141
TI-086DI 132 kV Doble circuito de Al 1.200 mm2 de sección. 3.335.310
TI-087DI 66 kV Simple circuito de Al 1.000 mm2 de sección. 1.325.478
TI-088DI 66 kV Doble circuito de Al 1.000 mm2 de sección. 2.512.050
Código Líneas subterráneas de longitud menor a 2,2 km

Término variable

Euros/km

Término fijo

Euros

TI-075DI 220 kV Simple circuito de Cu 2.000 mm2 de sección. 2.905.225 1.228.726
TI-076DI 220 kV Doble circuito de Cu 2.000 mm2 de sección. 5.756.047 2.192.181
TI-077DI 220 kV Simple circuito de Cu 1.100 mm2 de sección. 1.892.586 1.609.518
TI-078DI 220 kV Doble circuito de Cu 1.100 mm2 de sección. 4.029.217 2.871.555
TI-079DI 220 kV Simple circuito de Al 630 mm2 de sección. 982.228 835.320
TI-080DI 220 kV Doble circuito de Al 630 mm2 de sección. 2.091.112 1.490.301
TI-081DI 220 kV Simple circuito de Al 2.000 mm2 de sección. 1.653.018 1.405.782
TI-082DI 220 kV Doble circuito de Al 2.000 mm2 de sección. 3.519.189 2.508.067
TI-083DI 220 kV Simple circuito de Al 1.200 mm2 de sección. 1.149.925 977.935
TI-084DI 220 kV Doble circuito de Al 1.200 mm2 de sección. 2.448.132 1.744.742
TI-085DI 132 kV Simple circuito de Al 1.200 mm2 de sección. 1.360.905 722.119
TI-086DI 132 kV Doble circuito de Al 1.200 mm2 de sección. 2.840.756 1.088.018
TI-087DI 66 kV Simple circuito de Al 1.000 mm2 de sección. 1.067.565 567.409
TI-088DI 66 kV Doble circuito de Al 1.000 mm2 de sección. 2.143.454 810.912

Valores unitarios de referencia de inversión para posiciones

Código Posiciones convencionales

Término

Euros/posición

TI-128DI Convencional 220 kV, 40 kA, Interruptor y medio. 1.113.171
TI-129DI Convencional 220 kV, 40 kA, resto configuraciones. 915.403
TI-130DI Convencional 132 kV, 31,5 kA. 690.930
TI-131DI Convencional 66 kV, 31,5 kA. 572.045
Código Posiciones blindadas

Término

Euros/posición

TI-132DI Blindada 220 kV en edificio, 40 kA. 1.529.366
TI-133DI Blindada 220 kV en edificio, 40 kA, con fluoductos. 1.696.067
TI-134DI Blindada 132 kV, 31,5 kA. 863.458
TI-135DI Blindada 66 kV, 31,5 kA. 816.218
Código Posiciones móviles

Término

Euros/posición

TI-136DI Móvil 220 kV, todas las configuraciones. 1.609.859
TI-137DI Móvil 132 kV, todas las configuraciones. 908.903
TI-138DI Móvil 66 kV, todas las configuraciones. 859.177
Posiciones de reserva convencionales Porcentaje sobre unitario correspondiente
Posición de reserva sin equipar (Convencional) 220 kV. 36,30
Equipamiento de posición de reserva (Convencional) 220 kV. 63,70
Posición de reserva sin equipar (Convencional) 132 kV. 59,80
Equipamiento de posición de reserva (Convencional) 132 kV. 40,20
Posición de reserva sin equipar (Convencional) 66 kV. 51,50
Equipamiento de posición de reserva (Convencional) 66 kV. 48,50
Posiciones de reserva blindadas Porcentaje sobre unitario correspondiente
Posición de reserva sin equipar (blindada) 220 kV. 48,50
Equipamiento de posición de reserva (blindada) 220 kV. 51,50
Posición de reserva sin equipar (blindada) 132 kV. 52,10
Equipamiento de posición de reserva (blindada) 132 kV. 47,90
Posición de reserva sin equipar (blindada) 66 kV. 52,00
Equipamiento de posición de reserva (blindada) 66 kV. 48,00

Valores unitarios de referencia de inversión para máquinas

Código Máquinas de potencia

Término variable

Euros/MVA

TI-158DI Transformador (220/132 kV). 11.289
TI-159DI Transformador (220/66 kV). 16.524
TI-160DI Transformador (132/66 kV). 15.859
Código Máquinas de potencia

Término variable

Euros/MVAr

TI-161DI Reactancias (220 kV). 38.754
TI-162DI Reactancias (132 kV). 44.018
TI-163DI Reactancias (66 kV). 21.282
TI-164DI Condensadores (66 kV). 2.489
ANEXO VII
Valores unitarios de referencia de operación y mantenimiento por elemento de inmovilizado para las instalaciones de transporte de energía eléctrica ubicadas en el territorio peninsular

Valores unitarios de referencia de operación y mantenimiento para líneas

Líneas con un solo circuito Término variable en euros/km y circuito
Líneas aéreas 400 kV. 2.827
Líneas aéreas 220 kV. 2.190
Líneas subterráneas 220 kV. 1.912
Líneas con circuitos múltiples Término variable en euros/km y circuito
Líneas aéreas 400 kV. 2.642
Líneas aéreas 220 kV. 1.977
Líneas subterráneas 220 kV. 1.697

Valores unitarios de referencia de operación y mantenimiento para posiciones

Posiciones convencionales

Término variable

Euros/posición

Convencional 400 kV. 43.789
Convencional 220 kV. 36.049
Posiciones blindadas

Término variable

Euros/posición

Blindada 400 kV. 31.938
Blindada 220 kV. 22.725
Posiciones móviles

Término variable

Euros/posición

Móvil 400 kV. 31.938
Móvil 220 kV. 22.725

Valores unitarios de referencia de operación y mantenimiento para máquinas

Máquinas de potencia

Término variable

Euros/MVA

Transformadores €/MVA. 92
Máquinas de compensación de reactiva

Término variable

Euros/MVAr

Reactancias euros/MVAr. 19
Condensadores euros/MVAr. 6
ANEXO VIII
Valores unitarios de referencia de operación y mantenimiento por elemento de inmovilizado para las instalaciones de transporte de energía eléctrica ubicadas en las Islas Baleares

Valores unitarios de referencia de operación y mantenimiento para líneas

Líneas con un solo circuito Término variable en euros/km y circuito
Líneas aéreas 220 kV. 2.933
Líneas aéreas132 kV. 2.145
Líneas aéreas 66 kV. 1.885
Líneas subterráneas 220 kV. 2.349
Líneas subterráneas 132 kV. 1.150
Líneas subterráneas 66 kV. 1.096
Líneas con circuitos múltiples Término variable en euros/km y circuito
Líneas aéreas 220 kV. 2.656
Líneas aéreas132 kV. 1.941
Líneas aéreas 66 kV. 1.672
Líneas subterráneas 220 kV. 2.084
Líneas subterráneas 132 kV. 937
Líneas subterráneas 66 kV. 883

Valores unitarios de referencia de operación y mantenimiento para posiciones

Posiciones convencionales

Término variable

Euros/posición

Convencional 220 kV. 40.473
Convencional 132 kV. 33.542
Convencional 66 kV. 26.068
Posiciones blindadas

Término variable

Euros/posición

Blindada 220 kV 25.762
Blindada 132 kV 19.399
Blindada 66 kV 15.448
Posiciones móviles

Término variable

Euros/posición

Móvil 220 kV. 25.762
Móvil 132 kV. 19.399
Móvil 66 kV. 15.448

Valores unitarios de referencia de operación y mantenimiento para máquinas

Máquinas de potencia

Término variable

Euros/MVA

Transformador (220/132 kV). 110
Transformador (220/66 kV). 141
Transformador (132/66 kV). 220
Máquinas de compensación de reactiva

Término variable

Euros/MVAr

Reactancias (220 kV). 28
Reactancias (132 kV). 42
Reactancias (66 kV). 15
Condensadores (66 kV). 19
ANEXO IX
Valores unitarios de referencia de operación y mantenimiento por elemento de inmovilizado para las instalaciones de transporte de energía eléctrica ubicadas en las islas de Tenerife y Gran Canaria

Valores unitarios de referencia de operación y mantenimiento para líneas

Líneas con un solo circuito Término variable en euros/km y circuito
Líneas aéreas 220 kV. 3.450
Líneas aéreas132 kV. 2.610
Líneas aéreas 66 kV. 2.619
Líneas subterráneas 220 kV. 2.483
Líneas subterráneas 132 kV. 1.205
Líneas subterráneas 66 kV. 1.146
Líneas con circuitos múltiples Término variable en euros/km y circuito
Líneas aéreas 220 kV. 3.116
Líneas aéreas132 kV. 2.359
Líneas aéreas 66 kV. 2.406
Líneas subterráneas 220 kV. 2.202
Líneas subterráneas 132 kV. 989
Líneas subterráneas 66 kV. 929

Valores unitarios de referencia de operación y mantenimiento para posiciones

Posiciones convencionales

Término variable

Euros/posición

Convencional 220 kV. 43.257
Convencional 132 kV. 35.849
Convencional 66 kV. 27.861
Posiciones blindadas

Término variable

Euros/posición

Blindada 220 kV. 27.332
Blindada 132 kV. 20.581
Blindada 66 kV. 16.389
Posiciones móviles

Término variable

Euros/posición

Móvil 220 kV. 27.332
Móvil 132 kV. 20.581
Móvil 66 kV. 16.389

Valores unitarios de referencia de operación y mantenimiento para máquinas

Máquinas de potencia

Término variable

Euros/MVA

Transformador (220/132 kV). 113
Transformador (220/66 kV). 146
Transformador (132/66 kV). 228
Máquinas de compensación de reactiva

Término variable

Euros/MVAr

Reactancias (220 kV). 30
Reactancias (132 kV). 43
Reactancias (66 kV). 17
Condensadores (66 kV). 20
ANEXO X
Valores unitarios de referencia de operación y mantenimiento por elemento de inmovilizado para las instalaciones de transporte de energía eléctrica ubicadas en el resto de islas pertenecientes al archipiélago canario

Valores unitarios de referencia de operación y mantenimiento para líneas

Líneas con un solo circuito Término variable en euros/km y circuito
Líneas aéreas 220 kV. 4.033
Líneas aéreas132 kV. 3.209
Líneas aéreas 66 kV. 3.212
Líneas subterráneas 220 kV. 2.563
Líneas subterráneas 132 kV. 1.436
Líneas subterráneas 66 kV. 1.361
Líneas con circuitos múltiples Término variable en euros/km y circuito
Líneas aéreas 220 kV. 3.641
Líneas aéreas132 kV. 2.916
Líneas aéreas 66 kV. 2.999
Líneas subterráneas 220 kV. 2.275
Líneas subterráneas 132 kV. 1.168
Líneas subterráneas 66 kV. 1.098

Valores unitarios de referencia de operación y mantenimiento para posiciones

Posiciones convencionales

Término variable

Euros/posición

Convencional 220 kV. 51.341
Convencional 132 kV. 42.539
Convencional 66 kV. 33.060
Posiciones blindadas

Término variable

Euros/posición

Blindada 220 kV. 32.053
Blindada 132 kV. 24.136
Blindada 66 kV. 19.220
Posiciones móviles

Término variable

Euros/posición

Móvil 220 kV. 32.053
Móvil 132 kV. 24.136
Móvil 66 kV. 19.220

Valores unitarios de referencia de operación y mantenimiento para máquinas

Máquinas de potencia

Término variable

Euros/MVA

Transformador (220/132 kV). 125
Transformador (220/66 kV). 160
Transformador (132/66 kV). 250
Máquinas de compensación de reactiva

Término variable

Euros/MVAr

Reactancias (220 kV). 32
Reactancias (132 kV). 48
Reactancias (66 kV). 18
Condensadores (66 kV). 21»
Disposición adicional primera. Primer periodo regulatorio de aplicación.

El primer periodo regulatorio de aplicación de la modificación de la Circular 5/2019, de 5 de diciembre, recogida en la presente circular transcurrirá del 1 de enero de 2026 al 31 de diciembre de 2031.

Disposición adicional segunda. Particularidades del periodo regulatorio 2026-2031.

1. El valor del parámetro α al que se hace referencia en el artículo 8 de la Circular 5/2019, de 5 de diciembre, definido como el parámetro que representa el reparto entre las empresas transportistas y el sistema de la diferencia entre los costes calculados según los valores unitarios de referencia del periodo regulatorio precedente y los vigentes en el nuevo periodo regulatorio, tomará el valor de 0,5 para el periodo 2026-2031.

El factor de eficiencia θ al que se hace referencia en el mencionado artículo 8, se fijará para cada empresa transportista en la resolución que se apruebe para la retribución de transporte de energía eléctrica para el ejercicio 2026.

2. Para el cálculo del incentivo de calidad en la red de transporte para el periodo regulatorio 2026-2031, se establecen las siguientes particularidades:

– El incentivo de calidad se establecerá como: Imagen: /datos/imagenes/disp/2025/311/26676_16467858_1.png para las empresas que realizan actividades tanto de transporte como de distribución de energía eléctrica,

– El valor del PPI tomará el valor de 0,6.

– El Imagen: /datos/imagenes/disp/2025/311/26676_16469511_1.png tomará el valor de 0,5 % y el Imagen: /datos/imagenes/disp/2025/311/26676_16469511_2.png tomará el valor de −1 % para todas las empresas transportistas.

– El Imagen: /datos/imagenes/disp/2025/311/26676_16469511_3.png tomará el valor de 0,5 % y el Imagen: /datos/imagenes/disp/2025/311/26676_16469511_4.png tomará el valor de −1 % para todas las empresas transportistas.

– El Dobjetivo_periodo tomará el valor de 98,00 %.

– El Imagen: /datos/imagenes/disp/2025/311/26676_16469511_5.png tomará el valor de 0,75 min.

3. Para la aplicación gradual del incremento en la intensidad del incentivo para procurar la prudencia financiera:

En los tres primeros años del periodo regulatorio 2026-2031, la penalización establecida en el artículo 19 de la Circular 5/2019, de 5 de diciembre, no podrá superar el 1 % de la retribución anual del titular de activos de red.

Disposición adicional tercera. Modificación de la Circular informativa 4/2021, de 5 de mayo, de la Comisión Nacional de los Mercados y la Competencia, de petición de información a las empresas titulares de instalaciones de transporte de energía eléctrica para la supervisión y cálculo de la retribución de la actividad.

La Comisión Nacional de los Mercados y la Competencia adecuará el contenido de la Circular Informativa 4/2021, de 5 de mayo, al objeto de adaptarla a la metodología establecida en la presente circular.

Disposición transitoria única. Valores unitarios a aplicar en las retribuciones pendientes de aprobar.

Con relación a la retribución del periodo regulatorio 2020 a 2025 que se encuentre pendiente de aprobación a la fecha de entrada en vigor de esta circular, se aplicarán los valores unitarios de referencia de operación y mantenimiento de la Circular 7/2019, de 5 de diciembre, y los valores unitarios de referencia de inversión de la Orden IET/2659/2015, de 11 de diciembre.

Disposición derogatoria única. Derogación normativa.

Queda derogada la Circular 7/2019, de 5 de diciembre, de la Comisión Nacional de los Mercados y la Competencia, por la que se aprueban las instalaciones tipo y los valores unitarios de referencia de operación y mantenimiento por elemento de inmovilizado que se emplearán en el cálculo de la retribución de las empresas titulares de instalaciones de transporte de energía eléctrica.

Disposición final única. Entrada en vigor.

La presente circular entrará en vigor el día siguiente al de su publicación en el «Boletín Oficial del Estado».

Madrid, 16 de diciembre de 2025.–La Presidenta de la Comisión Nacional de los Mercados y la Competencia, Cani Fernández Vicién

ANÁLISIS

  • Rango: Circular
  • Fecha de disposición: 16/12/2025
  • Fecha de publicación: 26/12/2025
  • Fecha de entrada en vigor: 27/12/2025
  • Aplicable en la forma indicada en la disposición adicional 1.
Referencias anteriores
  • DEROGA la Circular 7/2019, de 5 de diciembre (Ref. BOE-A-2019-18262).
  • MODIFICA los arts. 5 a 7, 9, 15, 19 y AÑADE los arts. 7 bis, 20, el capítulo VIII y los anexos II a X de la Circular 5/2019, de 5 de diciembre (Ref. BOE-A-2019-18260).
  • DE CONFORMIDAD con el art. 7.1.g) de la Ley 3/2013, de 4 de junio (Ref. BOE-A-2013-5940).
Materias
  • Energía eléctrica
  • Inversiones
  • Precios
  • Reglamentaciones técnicas
  • Tarifas
  • Transporte de energía

subir

Agència Estatal Butlletí Oficial de l'Estat

Avda. de Manoteras, 54 - 28050 Madrid