Contido non dispoñible en galego

Está Vd. en

Documento BOE-A-2021-929

Resolución de 23 de diciembre de 2020, de la Universidad de Oviedo, por la que se convocan pruebas selectivas de ingreso, por el sistema general de acceso libre, a la Escala de Ayudantes de Archivos y Biblioteca, Grupo A, Subgrupo A2.

Publicado en:
«BOE» núm. 19, de 22 de enero de 2021, páginas 6339 a 6351 (13 págs.)
Sección:
II. Autoridades y personal - B. Oposiciones y concursos
Departamento:
Universidades
Referencia:
BOE-A-2021-929

TEXTO ORIGINAL

Con el propósito de satisfacer las necesidades de personal de esta Universidad, en ejecución de la oferta de empleo público 2018 del Personal Funcionario de Administración y Servicios de la Universidad de Oviedo, aprobada por Acuerdo de Consejo de Gobierno de fecha 20 de diciembre de 2018, publicada en el BOPA de fecha 27 de diciembre de 2018, y tras haber sido negociadas en la Mesa de Negociación del PAS funcionario, e informadas por la Junta de Personal no Docente, este Rector, en ejercicio de las competencias que le atribuyen el artículo 20 de la Ley Orgánica 6/2001, de 21 de diciembre, de Universidades, en relación con el artículo 2.2.e) del mismo texto legal, así como el artículo 60 de los Estatutos de esta Universidad, aprobados por el Decreto 12/2010, de 3 de febrero, del Principado de Asturias, resuelve convocar pruebas selectivas para el ingreso en la Escala de Ayudantes de Archivos y Biblioteca de la Universidad de Oviedo, Grupo A, Subgrupo A2, por el sistema general de acceso libre con sujeción a las siguientes

Bases de la convocatoria

1. Normas generales

1.1 Se convocan pruebas selectivas para el acceso por el sistema de acceso libre, a nueve plazas de la Escala de Ayudantes de Archivos y Biblioteca de la Universidad de Oviedo, Grupo A, Subgrupo A2.

A los aspirantes que superen el proceso selectivo y accedan a la Escala de Ayudantes de Archivos y Biblioteca de la Universidad de Oviedo les serán adjudicadas las plazas por riguroso orden de puntuación.

1.2 A las presentes pruebas selectivas les serán aplicables el Texto Refundido del Estatuto Básico del Empleado Público aprobado por el Real Decreto Legislativo 5/2015, de 30 de octubre, la Ley 30/1984, de 2 de agosto, de Medidas para la Reforma de la Función Pública, en la medida que continúe vigente, el Real Decreto 364/1995, de 10 de marzo, por el que se aprueba el Reglamento General de Ingreso del Personal al Servicio de la Administración General del Estado y de Provisión de Puestos de Trabajo y Promoción Profesional de los Funcionarios Civiles de la Administración General del Estado, el Decreto 12/2010, de 3 de febrero, del Principado de Asturias, por el que se aprueban los Estatutos de la Universidad de Oviedo, y lo dispuesto en la presente convocatoria.

1.3 El proceso de selección se realizará mediante el sistema de concurso-oposición, con las valoraciones, pruebas y puntuaciones que se especifican en el anexo I de esta convocatoria.

Los aspirantes que superen estas pruebas selectivas serán nombrados por el orden de puntuación obtenida por estos a lo largo de todo el proceso. En ningún caso la puntuación obtenida en la fase de concurso podrá aplicarse para superar los ejercicios de la fase de oposición.

1.4 El programa que ha de regir las pruebas selectivas es el que figura en el anexo II de esta convocatoria, de acuerdo con la legislación en vigor en la fecha del examen.

1.5 Las pruebas selectivas se desarrollarán con arreglo al siguiente calendario.

1.5.1 El primer ejercicio de la fase de oposición se celebrará una vez transcurridos tres meses, como mínimo, desde la publicación de esta convocatoria, determinándose en la Resolución que se indica en la base 4.3 el lugar y la fecha de realización.

1.5.2 El proceso selectivo tendrá una duración máxima de un año.

1.5.3 Desde la total conclusión de un ejercicio hasta el comienzo del siguiente deberá transcurrir un plazo mínimo de setenta y dos horas y un máximo de cuarenta y cinco días.

1.5.4 La lista que contenga la valoración de los méritos de la fase de concurso se publicará con cuarenta y ocho horas de antelación, como mínimo, a la fecha de comienzo del primer ejercicio de la fase de oposición, en el tablón de anuncios de la Universidad de Oviedo, plaza del Riego, 4, Oviedo, y en el local donde se vaya a celebrar el primer ejercicio de la fase de oposición, disponiendo los interesados de un plazo de diez días hábiles, a partir del siguiente al de su publicación, para presentar las alegaciones que estimen pertinentes respecto de las puntuaciones otorgadas. A tal efecto, el Servicio de Gestión de Personal, conforme al modelo que figura en el anexo V, expedirá certificación a los aspirantes que hayan prestado servicios en la misma.

1.6 Con la firma de la solicitud para participar en estas pruebas selectivas, se autoriza el uso de los datos personales, tales como nombre, apellidos, DNI y valoraciones de méritos, a efectos de ser incluidos en los listados que serán publicados en los tablones de anuncios de Gerencia, Registro General y Registros Auxiliares de la Universidad, en página web de la Universidad de Oviedo y en los Boletines Oficiales de la Comunidad Autónoma.

2. Requisitos de los aspirantes

2.1 Para ser admitido a la realización de estas pruebas selectivas, los aspirantes deberán reunir los requisitos generales de acceso a la función pública (artículo 56 de Texto Refundido de la Ley del Estatuto Básico del Empleado Público) y, en particular, estar en posesión de alguno de los títulos académicos legalmente exigidos para el acceso a la Escala de Ayudantes de Archivos y Biblioteca de la Universidad de Oviedo o en condiciones de obtenerlo en la fecha de finalización del plazo de presentación de solicitudes, tales como: Arquitecto Técnico, Ingeniero Técnico, Diplomado o titulación equivalente.

2.2 Los requisitos enumerados en la base 2.1 deberán poseerse en el día de finalización del plazo de presentación de solicitudes y mantenerlos hasta el momento de la toma de posesión como funcionarios de carrera.

3. Solicitudes

3.1 Quienes deseen tomar parte en estas pruebas selectivas deberán cumplimentar la solicitud que figura como anexo IV.

3.2 La presentación de solicitudes se hará en el Registro General de la Universidad de Oviedo (plaza de Riego, n.º 4, Oviedo), en los Registros Auxiliares cuyas sedes se encuentran ubicadas en el Servicio Administrativo del Campus de Mieres, en el Servicio Administrativo del Campus de Gijón, en el Servicio de Administración del Campus del Milán, en el Campus del Cristo «A» de Oviedo (Aulario de Ciencias Jurídico-Sociales, Planta Baja, c/ Catedrático Valentín Andrés Álvarez) y en el Centro de Servicios Universitarios en Avilés (c/ La Ferrería, n.º 7-9), o en la forma establecida en el artículo 16 de la Ley 39/2015, de 1 de octubre, del Procedimiento Administrativo Común de las Administraciones Públicas, en el plazo de veinte días naturales contados a partir del siguiente al de la fecha de la publicación de esta convocatoria en el «Boletín Oficial del Estado», y se dirigirán al Sr. Rector Magfco. de la Universidad de Oviedo. Los sucesivos actos y resoluciones serán publicados en el BOPA y en la página web de la Universidad de Oviedo. El modelo de solicitud estará disponible en el servidor de internet de esta Universidad:

(http://www.uniovi.es/gobiernoservicios/rrhh/convocatorias/funcionario).

3.3 Los aspirantes deberán observar las siguientes instrucciones para cumplimentar la solicitud:

3.3.1 En el recuadro de la solicitud destinado a «Cuerpo o Escala» se hará constar «Escala de Ayudantes de Archivos y Biblioteca de la Universidad de Oviedo, turno libre».

3.3.2 En el recuadro destinado a «Forma de acceso» señalarán la letra L.

3.3.3 En supuestos de minusvalía se hará constar dicha condición, así como el grado reconocido por las autoridades competentes, debiendo cumplimentar, en el caso en que sea necesario, la adaptación de tiempo y/o medios que se solicitan para la realización de las pruebas.

3.4 Los derechos de examen serán de 34 euros, y se ingresarán en Liberbank, Número de cuenta: ES52 2048-0000-21, 3400152827, bajo el nombre, «Pruebas Selectivas para el ingreso en la Escala de Ayudantes de Archivos y Biblioteca de la Universidad de Oviedo». Constará como nombre del remitente el del mismo aspirante y se adjuntará una copia del resguardo de la imposición. La falta de pago de estos derechos no es subsanable y determinará la exclusión del aspirante.

3.5 A la solicitud se acompañará:

3.5.1 Fotocopia del Documento Nacional de Identidad o documento que acredite las condiciones exigibles a las personas que no tengan nacionalidad española.

3.5.2 Justificante de haber abonado los derechos de examen.

3.5.3 Certificación acreditativa (anexo de servicios prestados como Ayudante de Archivos y Biblioteca) de los servicios prestados como funcionarios de la Escala de Ayudante de Archivos y Biblioteca (Grupo A, Subgrupo A2) en la Universidad de Oviedo y/o en otras Administraciones Públicas.

3.6 Los errores de hecho que pudieran advertirse podrán subsanarse en cualquier momento, de oficio o a petición del interesado.

4. Admisión de aspirantes

4.1 Terminado el plazo de presentación de solicitudes, el Rector de la Universidad de Oviedo, a propuesta del Tribunal Calificador, dictará Resolución en el plazo máximo de un mes, que se publicará en el «Boletín Oficial del Principado de Asturias», y aprobará las listas provisionales de admitidos y excluidos con indicación de las causas de la exclusión. En la lista deberán constar en todo caso los apellidos, nombre y algunos dígitos del número del Documento Nacional de Identidad.

4.2 Los aspirantes excluidos dispondrán de un plazo de diez días hábiles, contados a partir del siguiente al de la publicación de la Resolución en el BOPA, para poder subsanar el defecto que haya motivado la exclusión o su omisión de las relaciones de admitidos y excluidos.

Los aspirantes que, dentro del plazo señalado, no subsanen la exclusión o aleguen sobre la omisión, justificando el derecho a ser incluidos en la relación de admitidos, serán definitivamente excluidos de la realización de las pruebas.

4.3 Seguidamente, el Rector de la Universidad dictará Resolución, aprobando la lista definitiva de admitidos y excluidos, que se publicará en el BOPA, y contra ella se podrá interponer recurso contencioso-administrativo en el plazo de dos meses a contar desde el día siguiente a su publicación, ante el Juzgado de lo Contencioso Administrativo, conforme al artículo 46.1 de la Ley 29/1998, de 13 de julio, reguladora de la Jurisdicción Contencioso-Administrativa. Previamente y con carácter potestativo, podrá interponer recurso de reposición ante el Rector, en el plazo de un mes, a tenor del artículo 124 de la Ley 39/2015, de 1 de octubre, del Procedimiento Administrativo Común de las Administraciones Públicas.

La Resolución definitiva señalará el lugar y la fecha de comienzo del primer ejercicio.

5. Tribunales

5.1 El Tribunal calificador de estas pruebas es el que figura en el anexo III a esta convocatoria.

5.2 Los miembros del Tribunal y el Secretario deberán abstenerse de intervenir, notificándolo al Rector de la Universidad, cuando concurran en ellos algunas de las causas previstas en el artículo 23 de la Ley 40/2015, de 1 de octubre, de Régimen Jurídico del Sector Público.

El Presidente podrá solicitar de los miembros del Tribunal declaración expresa de no hallarse incursos en las circunstancias previstas en el párrafo anterior.

Asimismo, los aspirantes podrán recusar a los miembros del Tribunal, a tenor del artículo 24 de la Ley 40/2015, de 1 de octubre, de Régimen Jurídico del Sector Público.

5.3 La autoridad convocante publicará en el «Boletín Oficial del Principado de Asturias» Resolución por la que se nombre a los miembros del Tribunal que sustituyan a los que hayan perdido su condición por causa de abstención o recusación.

5.4 Actuará como Secretario un funcionario al servicio de la Universidad de Oviedo, que actuará con voz y sin voto.

5.5 Previa convocatoria del Presidente, para la válida constitución del Tribunal, a efectos de la celebración de sesiones, deliberaciones y toma de acuerdos, se requerirá la presencia del Presidente, el Secretario o, en su caso, de quienes les sustituyan, y la de la mitad, al menos, de sus miembros.

En la sesión constitutiva el Tribunal acordará todas las decisiones que le correspondan en orden al correcto desarrollo de estas pruebas selectivas.

5.6 A lo largo del proceso selectivo el Tribunal resolverá todas las dudas que pudieran surgir en la aplicación de esta convocatoria y determinará las actuaciones convenientes en los casos no previstos.

El procedimiento de actuación de la Comisión se ajustará en todo momento a lo dispuesto en la Ley 40/2015, de 1 de octubre, de Régimen Jurídico del Sector Público.

5.7 El Tribunal podrá disponer la incorporación a sus trabajos de Asesores Especialistas, limitándose estos a prestar su colaboración en sus especialidades técnicas. La designación de los mismos deberá comunicarse al Rector de esta Universidad, a fin de que sea formulada la oportuna Resolución de nombramiento.

5.8 El Tribunal calificador practicará las actuaciones oportunas en orden a que los aspirantes con minusvalías gocen de similares condiciones para la realización de los ejercicios que el resto de los participantes. En este sentido, y cuando así se solicite en la forma prevista en la base 3.3.3, se efectuarán las adaptaciones posibles en tiempo y medios para su realización.

A tal efecto, el Tribunal podrá recabar informe y, en su caso, colaboración de los servicios técnicos de la Administración laboral, sanitaria o de los órganos competentes de la Consejería correspondiente del Principado de Asturias.

5.9 El Presidente del Tribunal adoptará las medidas necesarias para garantizar que los ejercicios de la fase de oposición sean corregidos sin que se conozca la identidad de los aspirantes, utilizando para ello los impresos acordes a la normativa vigente.

5.10 El Tribunal excluirá a aquellos candidatos en cuyos ejercicios figuren marcas o signos que permitan conocer la identidad del opositor.

5.11 A efectos de comunicaciones y demás incidencias, el Tribunal tendrá su sede en la Gerencia de la Universidad, Plaza de Riego, número 4, Oviedo, en la que los interesados podrán recibir información administrativa sobre el desarrollo del proceso selectivo. No obstante, solo tendrán efectos jurídicos las comunicaciones remitidas por los medios de notificación y publicación previstos en esta convocatoria.

5.12 El Tribunal que actúe en estas pruebas selectivas tendrá la categoría segunda de las recogidas en las Bases de Ejecución de los Presupuestos de la Universidad de Oviedo para el ejercicio 2020.

5.13 En ningún caso el Tribunal podrá aprobar ni declarar que ha superado las pruebas selectivas un número superior de aspirantes al de plazas convocadas. Cualquier propuesta de aprobados que contravenga lo anterior será nula de pleno derecho.

No obstante lo anterior, y con el fin de asegurar la cobertura de las plazas convocadas, cuando se produzcan renuncias de los aspirantes seleccionados, antes de su nombramiento o toma de posesión, el órgano convocante requerirá del órgano de selección relación complementaria de los aspirantes que sigan a los propuestos, para su nombramiento como funcionarios de carrera.

6. Desarrollo del proceso selectivo

6.1 Según lo dispuesto en la Resolución de 21 de julio de 2020, de la Secretaría de Estado de Función Pública, por la que se publica el resultado del sorteo a que se refiere el Reglamento General de Ingreso del personal al servicio de la Administración del Estado, el orden de actuación de los opositores se iniciará por aquellos cuyo primer apellido comience por la letra «B». En el supuesto de que no existan aspirantes cuyo primer apellido comience por la letra «B», el orden de actuación se iniciará por aquellos cuyo primer apellido comience por la letra «C», y así sucesivamente.

6.2 En cualquier momento los aspirantes podrán ser requeridos por los miembros del Tribunal con la finalidad de acreditar su identidad.

6.3 Los aspirantes serán convocados para cada ejercicio en único llamamiento, siendo excluidos de la oposición quienes no comparezcan, salvo los casos de fuerza mayor debidamente justificados y apreciados por el Tribunal.

6.4 La publicación del anuncio de celebración del segundo ejercicio y siguientes se efectuará por el Tribunal en los locales donde se haya celebrado el primero, así como en la sede señalada en la base 5.11 y por cualesquiera otros medios si se juzga conveniente para facilitar su máxima divulgación, con, al menos, cuarenta y ocho horas de antelación a la señalada para el inicio del mismo.

6.5 En cualquier momento del proceso selectivo, si el Tribunal tuviere conocimiento de que alguno de los aspirantes no posee la totalidad de los requisitos exigidos por la presente convocatoria, previa audiencia del interesado, deberá proponer su exclusión al Rector de esta Universidad, comunicándole, asimismo, las inexactitudes o falsedades formuladas por el aspirante en la solicitud de admisión a las pruebas selectivas, a los efectos procedentes.

Contra la exclusión del aspirante se podrá interponer recurso contencioso-administrativo en el plazo de dos meses a contar a partir del día siguiente al de su notificación, ante los Juzgados de lo Contencioso-Administrativo, conforme al artículo 46 de la Ley 29/1998, de 13 de julio, reguladora de la Jurisdicción Contencioso-Administrativa.

Concluido cada uno de los ejercicios de la fase de oposición, el Tribunal hará pública, en los lugares de su celebración y en la sede señalada en la base 5.11, así como en cualquier otro medio que estime conveniente para facilitar su difusión, la relación de aspirantes con las puntuaciones obtenidas.

7. Propuesta de Adjudicación

7.1 Finalizadas las pruebas selectivas el Tribunal hará públicas, en los tablones de anuncios del lugar o lugares de celebración del último ejercicio, así como en la sede señalada en la base 5.11 y en aquellos otros que estime oportunos, las calificaciones obtenidas por los aspirantes, por orden de puntuación alcanzada.

7.2 El Presidente del Tribunal enviará propuesta de adjudicación de las plazas al Rector de la Universidad.

8. Presentación de documentos y nombramiento de funcionarios

8.1 En el plazo de veinte días naturales a contar desde la publicación de la propuesta de adjudicación, los propuestos deberán presentar en el Registro General de la Universidad de Oviedo o en sus Registros Auxiliares, la documentación acreditativa de los requisitos exigidos en la convocatoria.

8.2 Quienes dentro del plazo fijado, y salvo los casos de fuerza mayor, no presentasen la referida documentación, o del examen de la misma se dedujera que carecen de alguno de los requisitos señalados en la base 2, no podrán ser nombrados funcionarios de la Escala de Ayudantes de Archivos y Biblioteca de la Universidad de Oviedo y quedarán anuladas sus actuaciones, sin perjuicio de la responsabilidad en que hubieren incurrido por falsedad en la solicitud inicial.

8.3 Por la autoridad convocante, a propuesta del Tribunal Calificador, se procederá al nombramiento de funcionarios de carrera, mediante Resolución, que se publicará en el «Boletín Oficial del Principado de Asturias».

9. Norma final

La Convocatoria y sus bases podrán ser impugnadas en el plazo de 2 meses ante la Sala correspondiente del Tribunal Superior de Justicia del Principado de Asturias, mediante recurso contencioso-administrativo, conforme al artículo 46.1 de la Ley 29/1998, de 13 de julio, reguladora de la Jurisdicción Contencioso-Administrativa. Previamente y con carácter potestativo, se podrá interponer recurso de reposición ante el Rector, en el plazo de un mes, a tenor del artículo 124 de la Ley 39/2015, de 1 de octubre, del Procedimiento Administrativo Común de las Administraciones Públicas.

Los actos administrativos de la Comisión Calificadora podrán ser impugnados mediante recurso de alzada ante el Rector de la Universidad de Oviedo, en el plazo de un mes, conforme determina el artículo 122 de la Ley 39/2015, de 1 de octubre, del Procedimiento Administrativo Común de las Administraciones Públicas.

Oviedo, 23 de diciembre de 2020.–El Rector, Santiago García Granda.

ANEXO I

1. Fases: Concurso-oposición

El procedimiento de selección de los aspirantes constará de las siguientes fases:

1.1 Fase de concurso: No tendrá carácter eliminatorio. Se valorarán los servicios prestados hasta la fecha de finalización del plazo de presentación de solicitudes como Ayudante de Archivos y Biblioteca (Grupo A, Subgrupo A2) de la Universidad de Oviedo o de otra Administración Pública.

1.2 Fase de oposición: Estará formada por los cuatro ejercicios que se indican en el apartado 3 de este anexo, siendo todos ellos eliminatorios.

2. Valoración en la fase de concurso

En la fase de concurso, se valorarán los servicios prestados como Ayudante de Archivos y Biblioteca de la Universidad de Oviedo o de otra Administración Pública del modo siguiente:

2.1 Antigüedad: (Puntuación máxima: 14,00004). Se valorarán los servicios prestados en dicho Cuerpo o Escala hasta un máximo de 3 años, a razón de 0,38889 puntos por mes.

2.2 Trabajo desarrollado: (Puntuación máxima: 3,99996). Se valorará hasta un máximo de 36 meses en función del nivel del puesto desempeñado y con arreglo a los siguientes criterios:

Nivel 24 o superior: 0,11111 puntos por mes.

Nivel 23: 0,10011 puntos por mes.

Nivel 22: 0,08911 puntos por mes.

Nivel 21: 0,07811 puntos por mes.

Nivel 20: 0,06711 puntos por mes.

Nivel 19: 0,05611 puntos por mes.

Nivel 18: 0,04511 puntos por mes.

Nivel 17: 0,03411 puntos por mes.

Nivel 16: 0,02311 puntos por mes.

3. Ejercicios: Desarrollo y calificación

3.1 Desarrollo de la fase de oposición: Estará formada por los cuatro ejercicios que a continuación se indican:

3.1.1 Primer ejercicio: Consistirá en contestar por escrito en 90 minutos un cuestionario de 100 preguntas tipo test con 4 respuestas alternativas basado en el contenido del programa que se indica en el anexo II, de las que solo una será válida. Las respuestas erróneas puntuarán negativamente.

3.1.2 Segundo ejercicio: Constará de dos partes que se realizarán en una única sesión.

a) Primera parte: redacción del asiento bibliográfico de dos impresos modernos, uno de ellos en castellano y otro en inglés.

El asiento bibliográfico constará de:

1. Catalogación de acuerdo con las vigentes reglas de catalogación españolas.

2. Encabezamientos de materia, ajustándose a cualquiera de las listas de encabezamientos de materia vigentes.

3. Clasificación Decimal Universal.

4. Descripción bibliográfica en formato MARC 21.

El Tribunal proporcionará a los aspirantes una plantilla base del formato basada en el sistema integrado de gestión bibliotecaria que emplea la Universidad de Oviedo.

Para el desarrollo de esta prueba se podrán utilizar las reglas de catalogación, las tablas de la CDU, las listas de encabezamientos existentes y los manuales de formatos MARC21. También se podrán utilizar diccionarios de las lenguas en que estén escritas las obras sobre las que van a trabajar.

Los opositores trabajarán sobre fotocopias, pudiendo consultar los originales en la mesa del Tribunal.

El ejercicio se calificará de cero a diez puntos, siendo necesario para aprobar obtener como mínimo cinco puntos.

El tiempo máximo para la realización de esta primera parte será de 60 minutos.

b) Segunda parte: descripción de los metadatos de un artículo científico.

La asignación de los metadatos se realizará a partir del esquema Dublín Core.

El Tribunal proporcionará a los aspirantes una plantilla del formato Dublín Core empleada en el repositorio RUO de la Universidad de Oviedo.

El ejercicio se calificará de cero a diez puntos, siendo necesario para aprobar obtener como mínimo cinco puntos.

El tiempo máximo para la realización de esta segunda parte será de 30 minutos.

3.1.3 Tercer ejercicio: Consistirá en resolver por escrito, durante un tiempo máximo de dos horas, un supuesto práctico a elegir por el aspirante de entre dos propuestos por el Tribunal.

Este ejercicio podrá ser realizado por escrito o con los medios informáticos o instrumentales que el Tribunal decida, proporcionando el material, medios e instrucciones que considere adecuados para llevar a cabo la prueba.

Los supuestos prácticos estarán relacionados con las materias que figuran en el bloque I del Programa.

Para valorar este ejercicio, el Tribunal tendrá en cuenta el conjunto de conocimientos acreditados y las aptitudes para aplicarlos a la práctica profesional, la capacidad analítica y de síntesis, la calidad de la expresión escrita y la presentación, así como la claridad de ideas en orden a elaborar una propuesta razonada de resolución del supuesto.

3.1.4 Cuarto ejercicio: Consistirá en realizar una traducción al castellano, con ayuda de diccionario, de un artículo relativo a bibliotecas (mínimo 300 palabras) en idioma inglés.

El tiempo máximo para realizar este ejercicio será de una hora y media.

3.2 Calificación de la fase de oposición.

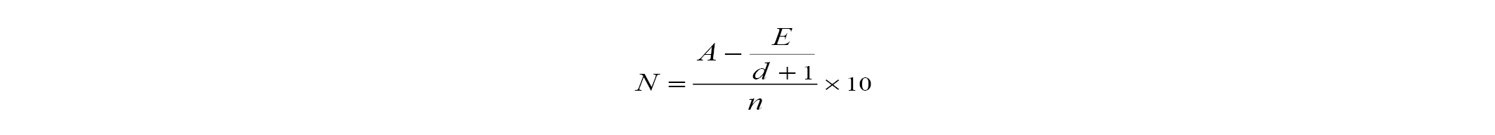
3.2.1 Primer ejercicio. Se calificará de cero a 10 puntos, atendiendo a la aplicación de la siguiente fórmula:

1

N = Nota resultante.

A = Número de aciertos.

E = Número de errores.

d = Número de opciones para cada pregunta.

n = Número de preguntas.

Sólo optarán a la realización del segundo ejercicio los aspirantes que obtengan una puntuación de cinco o superior.

3.2.2 Segundo ejercicio: Se calificará de cero a diez puntos, siendo necesario para aprobar obtener un mínimo de cinco puntos.

3.2.3 Tercer ejercicio: Se calificará de cero a diez puntos, siendo necesario para aprobar obtener un mínimo de cinco puntos.

3.2.4 Cuarto ejercicio: Se calificará de cero a diez puntos, siendo necesario para aprobar obtener un mínimo de cinco puntos.

4. Calificación final

La calificación final de las pruebas selectivas vendrá determinada por la suma de las puntuaciones obtenidas en las fases de oposición y concurso. En caso de empate el orden se establecerá atendiendo sucesivamente a la mayor puntuación obtenida en el primer ejercicio, segundo ejercicio, tercer ejercicio, cuarto ejercicio, puntuación final de la fase de oposición, fase de concurso, y en última instancia, por sorteo público en presencia de los opositores empatados.

ANEXO II
Programa

I. Biblioteconomía general y universitaria. Documentación

1. Bibliotecas universitarias. Concepto y función. Tipos de organización bibliotecaria. El nuevo modelo de biblioteca universitaria. Impacto del Espacio Europeo de Educación Superior y del Horizonte 2020.

2. La Biblioteca de la Universidad de Oviedo: evolución histórica, estructura actual y principales servicios. Reglamentos y normativas de la Biblioteca de la Universidad de Oviedo.

3. Las bibliotecas universitarias en España y la cooperación bibliotecaria. Sistemas, redes y consorcios de bibliotecas universitarias. Participación de la Biblioteca de la Universidad de Oviedo. REBIUN: normas, directrices y planes estratégicos.

4. Gestión, administración de bibliotecas universitarias. Planificación estratégica, dirección por objetivos y gestión de calidad. Marketing y herramientas de gestión y canales de comunicación. Medios sociales en las bibliotecas universitarias.

5. Organización y planificación de espacios y equipamiento de bibliotecas universitarias. Tendencias actuales. Adaptación a las necesidades de los usuarios.

6. Gestión de la colección bibliográfica: criterios para su formación, mantenimiento y evaluación. Administración y gestión de los recursos electrónicos: selección, contratación, modelos de comercialización, licencias de uso, evaluación. Estado actual del mercado.

7. Normativa de la descripción bibliográfica. ISBD, Reglas de Catalogación Española y RDA. Formato MARC 21 de registros bibliográficos, de autoridad y de fondos. Estructura de la información bibliográfica. FRBR. Control de autoridades. FRAD, FRSAD, VIAF y SKOS.

8. Análisis documental. Proceso y tipología. Lenguajes documentales: encabezamientos de materia y thesaurus. Sistema de clasificación bibliográfica. La Clasificación Decimal Universal (CDU).

9. Sistemas integrados de gestión bibliotecaria. Situación actual y nuevas tendencias. Las plataformas de servicios bibliotecarios. Herramientas en la Universidad de Oviedo.

10. Los catálogos. Concepto, tipos y nuevas tendencias. Catalogación cooperativa. Los OPAC y las plataformas de descubrimiento. Herramientas en la Universidad de Oviedo.

11. Innovación tecnológica y biblioteca digital. Administración de contenidos, accesibilidad, usabilidad y visibilidad.

12. Servicios presenciales y virtuales de la biblioteca universitaria. Servicios de apoyo al aprendizaje, a la docencia y a la investigación.

13. Los usuarios de las bibliotecas universitarias. Tipología y necesidades La formación de usuarios y la alfabetización informacional en las bibliotecas universitarias.

14. Sedes web en bibliotecas: arquitectura de la información. Interfaces y motores de búsqueda. Sistemas de gestión de contenidos. Accesibilidad, usabilidad y estándares. Portales web e intranets. La Web de una biblioteca universitaria.

15. El movimiento de acceso abierto. Vías para el acceso abierto. Recomendaciones y mandatos de depósito. Políticas institucionales. Las licencias. Creative Commons. Implicaciones en los procesos de comunicación científica.

16. Repositorios institucionales: gestión, software e interoperabilidad. Recolectores y directorios de repositorios. El Repositorio Institucional de la Universidad de Oviedo.

17. Metadatos. Modelo RDF. Principales modelos de metadatos: Dublin Core, METS, PREMIS. Los lenguajes de marcado.

18. La web semántica. Las Ontologías. Datos enlazados. Minería de datos.

19. El ciclo de los datos científicos. Gestión de datos de investigación. Repositorios de datos de investigación. Sistemas de gestión de la investigación.

20. Identificadores de objetos digitales. ISBN, ISSN, DOI, HANDLE. Identificadores únicos de autor. Orcid, ResearcherID, ScopusID.

21. La comunicación científica, evolución, tendencias y situación actual. Principales tipos de publicaciones científicas. Las bibliotecas universitarias como servicios de apoyo a la publicación científica.

22. La producción científica de las universidades. Indicadores bibliométricos clásicos y métricas alternativas. Indicadores de transferencia de conocimiento. La calidad de las revistas científicas. Criterios de la FECYT, Latindex, Web of Science y Scopus.

23. Servicios de apoyo a investigadores y a la gestión de la investigación. Las unidades de evaluación científica y bibliometría. Criterios para la evaluación de la carrera científica: principales convocatorias nacionales. Recursos de información para la acreditación y evaluación científica.

24. Definición y objetivos de la bibliografía. Clases de bibliografías. Técnica bibliográfica. Los gestores de referencias bibliográficas. Mendeley, RefWorks, EndNote, Zotero.

25. Principales recursos de información generales y multidisciplinares. Bases de datos. Catálogos. Bibliografías. Repertorios, buscadores académicos y redes sociales académicas. Recursos existentes en la Universidad de Oviedo.

26. Los recursos de información en Ciencias Jurídicas y Sociales. Recursos existentes en la Universidad de Oviedo.

27. Los recursos de información en Humanidades. Recursos existentes en la Universidad de Oviedo.

28. Los recursos de información en Ciencia y Tecnología. Recursos existentes en la Universidad de Oviedo.

29. Los recursos de información en Biomedicina. Recursos existentes en la Universidad de Oviedo.

30. El libro y las bibliotecas en la Antigüedad y la Edad Media.

31. El nacimiento de la imprenta. Los incunables. El libro y las bibliotecas durante la época Moderna.

32. La edición y las bibliotecas en los siglos XIX y XX. La profesión de bibliotecario.

33. Panorama de la edición en la actualidad. Las Bibliotecas en el siglo XXI: situación actual y perspectivas de futuro. La profesión de bibliotecario en la actualidad.

II. Legislación y organización administrativa

1. La Constitución española. Estructura y contenido.

2. La Ley 39/2015 de Procedimiento Administrativo Común de las Administraciones Públicas.

3. La Ley 40/2015 de Régimen Jurídico del Sector Público.

4. La Ley Orgánica 6/2001 de Universidades. Los estudios universitarios oficiales. Estructura de las enseñanzas universitarias oficiales.

5. Los Estatutos de la Universidad de Oviedo.

6. El Texto Refundido de la Ley del Estatuto Básico del Empleado Público.

7. Los contratos del sector público. Disposiciones generales. Configuración general de la contratación del sector público y elementos estructurales de los contratos. Prerrogativas. Modificación del contrato.

8. Los contratos de las Administraciones Públicas. Disposiciones generales. Preparación y adjudicación. Procedimientos de contratación.

9. Régimen jurídico de los tipos de contratos: obras, concesión de obras y servicios, suministros, servicios.

10. El Presupuesto de la Universidad de Oviedo: Estructura y bases de ejecución.

11. El Presupuesto de la Universidad de Oviedo: Procedimiento de Elaboración. Modificaciones Presupuestarias.

12. La Ley 19/2013, de 9 de noviembre, de transparencia, acceso a la información pública y buen gobierno.

13. La Ley 14/2011, de 1 de junio, de la Ciencia, la Tecnología y la Innovación.

14. La Ley Orgánica 3/2018, de 5 de diciembre, de Protección de Datos Personales y garantía de los derechos digitales. La Protección de Datos en la Universidad de Oviedo y su implicación en la Biblioteca.

15. El sistema español de bibliotecas. Legislación y competencia de las distintas administraciones.

16. Legislación en materia de propiedad intelectual y sus implicaciones en la gestión de bibliotecas. Los derechos de autor y su protección.

17. El patrimonio bibliográfico y documental. Legislación y normativa vigente.

ANEXO III
Tribunal calificador

Titulares:

Presidente: Don Juan José Riaño Alonso.

Vocales:

1.º Doña Gema Martínez Rodríguez.

2.º Doña Gloria García González.

3.º Doña Graciela Fernández García, elegida por sorteo.

4.º Don Agustín Julián Martínez Pastor.

Secretaria: Doña María Mercedes García San Millán.

Suplentes:

Presidente: Don Fausto Virgilio González González.

Vocales:

1.º Don Miguel Fernández Suárez.

2.º Doña Elena Ruiz González.

3.º Doña Irene Linares Pintos, elegida por sorteo.

4.º Don Jesús Daniel Santos Rodríguez.

Secretaria: Doña Marta González Prieto.

2

ANEXO V
Certificación de servicios prestados en la Escala de Ayudantes de Archivos y Biblioteca de la Universidad de Oviedo

Doña................................................................................................................................, Jefa del Servicio de Gestión de Personal,

Certifica, que según los antecedentes obrantes en esta Universidad, D./Dña. .............................................................................................................................................................con DNI número..............................................................................................................

Tiene reconocidos en la Universidad de Oviedo como Ayudante de Archivos y Biblioteca los siguientes servicios:…………………………………………………………………meses como se deduce de la hoja de servicios adjunta, en la que se pueden verificar los complementos de nivel de los puestos desempeñados, en orden a valorar el trabajo desarrollado.

Y para que conste, expido la presente, en Oviedo,........................................................

Firma y sello.

ANÁLISIS

  • Rango: Resolución
  • Fecha de disposición: 23/12/2020
  • Fecha de publicación: 22/01/2021
Referencias posteriores

Criterio de ordenación:

  • SE MODIFICA las bases de la convocatoria y abre nuevo plazo de presentación de instancias, por Resolución de 26 de mayo de 2021 (Ref. BOE-A-2021-9529).

subir

Axencia Estatal Boletín Oficial do Estado

Avda. de Manoteras, 54 - 28050 Madrid