Contingut no disponible en català

Us trobeu en

Documento BOE-A-2019-16207

Resolución de 23 de octubre de 2019, de la Autoridad Portuaria de Ceuta, por la que se publican las cuentas anuales del ejercicio 2018 y el informe de auditoría.

Publicado en:
«BOE» núm. 272, de 12 de noviembre de 2019, páginas 124290 a 124364 (75 págs.)
Sección:
III. Otras disposiciones
Departamento:
Ministerio de Fomento
Referencia:
BOE-A-2019-16207

TEXTO ORIGINAL

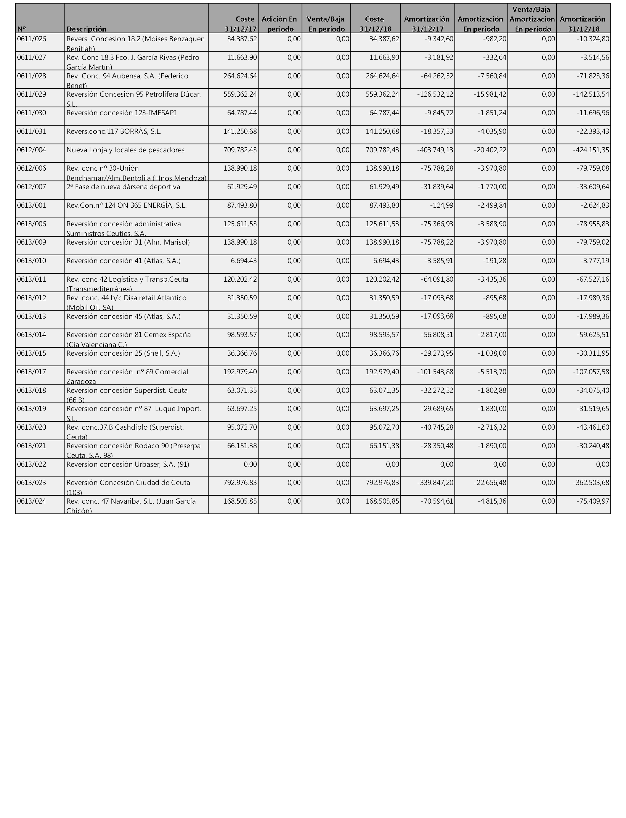
De conformidad con lo establecido en el artículo 136.3 de la Ley 47/2003, de 26 de noviembre, artículo redactado por el apartado trece de la disposición final décima quinta de la Ley 22/2013, de 23 de diciembre, de Presupuestos Generales del Estado para el año 2014 (BOE del 26) resúmenes de las cuentas anuales de las entidades del sector público estatal que deban aplicar principios contables públicos, así como de las restantes que no tengan obligación de publicar sus cuentas en el Registro Mercantil, y, en su caso, el informe de auditoría de cuentas, así como la referencia a las correspondientes sedes electrónicas o páginas web en las que estén publicadas las cuentas completas y su correspondiente informe de auditoría de cuentas, se hace pública la información contenida en el resumen de las cuentas anuales de la Autoridad Portuaria de Ceuta correspondiente al ejercicio 2018 y el informe de auditoría de cuentas realizado por la Intervención General de la Administración del Estado, que figuran como anexos a esta Resolución.

La información antes mencionada también estará disponible en la web de la Autoridad Portuaria de Ceuta http://www.puertodeceuta.com/autoridad-portuaria/informacion-economica.

Ceuta, 23 de octubre de 2019.–El Presidente de la Autoridad Portuaria de Ceuta, Juan Manuel Doncel Doncel.

1

2

3

4

5

6

7

8

9

10

11

12

13

14

15

16

17

18

19

20

21

22

23

24

25

26

27

28

29

30

31

32

33

34

35

36

37

38

39

40

41

42

43

44

45

46

47

48

49

50

51

52

53

54

55

56

57

58

59

60

61

62

63

64

65

66

67

68

69

70

71

72

73

74

subir

Agència Estatal Butlletí Oficial de l'Estat

Avda. de Manoteras, 54 - 28050 Madrid