Contingut no disponible en català

Us trobeu en

Documento BOE-A-2003-6606

Resolución de 25 de marzo de 2003, de la Secretaría de Estado de Justicia, por la que se otorgan destinos a los funcionarios del Cuerpo de Oficiales de la Administración de Justicia, turno promoción interna, que superaron las pruebas selectivas convocadas por Orden de 19 de julio de 2001.

Publicado en:
«BOE» núm. 79, de 2 de abril de 2003, páginas 12733 a 12738 (6 págs.)
Sección:
II. Autoridades y personal - A. Nombramientos, situaciones e incidencias
Departamento:
Ministerio de Justicia
Referencia:
BOE-A-2003-6606

TEXTO ORIGINAL

Vistas las solicitudes presentadas por los Oficiales de la Administración de Justicia, que superaron las pruebas selectivas convocadas por Orden de 19 de julio de 2001, en el ámbito de Península y Baleares (turno promoción interna), nombrados funcionarios de carrera en virtud de Resolución de la Secretaría de Estado de Justicia del día de la fecha.

Esta Dirección General de Relaciones con la Administración de Justicia, por Delegación de la Secretaría de Estado de Justicia, ha resuelto adjudicar destino en los órganos judiciales que se relacionan en anexo.

Los Oficiales de la Administración de Justicia nombrados en virtud de esta resolución, deberán tomar posesión de su cargo dentro del plazo de veinte días naturales contados desde el siguiente al de la publicación de esta resolución en el «Boletín Oficial del Estado», de acuerdo con lo establecido en el artículo 24 del Real Decreto 249/1996, de 16 de febrero, no resultando retribuido el plazo posesorio, ya que según dispone la normativa en materia de nóminas, durante el primer mes de devengarán por días las retribuciones correspondientes al nuevo cuerpo en el que se ingresa.

En caso de que los Oficiales de nuevo ingreso quisieran evitar un vacío en la continuidad de sus servicios en la Administración de Justicia, dada la necesidad de contar con el tiempo indispensable para efectuar la toma de posesión, podrán solicitar al Presidente, Juez, Fiscal o Jefe del Organismo de su destino actual, un permiso retribuido de un día si no hay cambio de localidad, o dedos en caso contrario, salvo aquellos que hayan de desplazarse desde Canarias, Baleares, Ceuta o Melilla, en cuyo caso el permiso podrá ser de hasta tres días para posesionarse de su nuevo cargo (artículo 66.1.g del Real Decreto 249/1996, de 16 de febrero).

Los funcionarios interinos que actualmente ocupen plazas que han sido adjudicadas a los aspirantes aprobados, cesarán el mismo día en que se produzca la toma de posesión del titular.

En cumplimiento de la legislación sobre incompatibilidades del personal al servicio de la Administración Pública (Ley 53/1974, de 2 de diciembre), aplicable al personal al servicio de la Administración de Justicia, en virtud del artículo 489 de la Ley Orgánica del Poder Judicial 6/1985, de 1 de julio; artículo único de la Ley Orgánica 1/1985, de 18 de enero, y artículos 79 y concordantes del vigente Reglamento Orgánico (Real Decreto 249/1996, de 16 de febrero), los nombrados por turno de promoción interna deberán tener en cuenta las siguientes observaciones:

Primera.

Cuando un funcionario del cuerpo de Auxiliares de la Administración de Justicia acceda al cuerpo de Oficiales y desee permanecer en activo en el cuerpo de origen y en situación de excedencia en aquel al que accede, deberá manifestar esta opción en el acta de toma de posesión, regresando a continuación a su destino de origen.

Copia del acta de toma de posesión, opción y cese será remitida por el Secretario del órgano judicial correspondiente a la Gerencia Territorial y a la Subdirección General de Medios Personales al servicio de la Administración de Justicia de este Ministerio, siéndole concedida la excedencia de oficio en el nuevo cuerpo.

Segunda.

En caso de no manifestar la opción citada se entenderá que optan por el nuevo puesto, y la Gerencia Territorial correspondiente, dentro de su ámbito territorial, les concederá la excedencia de oficio en el cuerpo de Auxiliares de la Administración de Justicia, en cuyo destino se les tendrá por cesados de forma automática con la misma fecha en que se produzca la toma de posesión en el cuerpo de Oficiales, al objeto de evitar interrupción en la percepción de sus haberes.

Copia de dicha acta de posesión y opción será remitida por el Secretario del órgano judicial correspondiente a la Gerencia Territorial y a la Subdirección General de Medios Personales y al órgano judicial de origen.

Los nombrados en virtud de esta resolución, no obstante haber sido destinados con carácter forzoso, no podrán participar en concurso de traslados hasta que transcurra un año desde que fueron destinados, de acuerdo con lo establecido en el artículo 495.2 de la Ley Orgánica 6/1985, de 1 de julio, del Poder Judicial.

Contra esta resolución podrán los interesados interponer recurso contencioso-administrativo ante la Sala de lo Contencioso-Administrativo de la Audiencia Nacional en el plazo de dos meses, o potestativo de reposición en el plazo de un mes ante la Secretaría de Estado de Justicia. En ambos casos, el plazo contará a partir de la publicación en el «Boletín Oficial del Estado».

Lo que comunico a V. I. para su conocimiento y demás efectos.

Madrid, 25 de marzo de 2003.‒El Secretario de Estado, P. D. (Orden de 29 de octubre de 1996, BOE de 6 de noviembre), el Director General de Relaciones con la Administración de Justicia, Carlos Lesmes Serrano.

Ilma. Sra. Subdirectora General de Medios Personales al servicio de la Administración de Justicia.

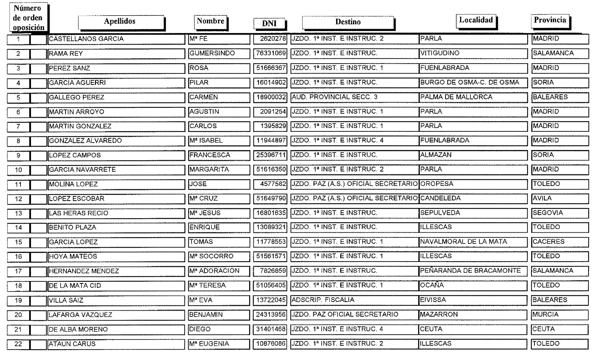
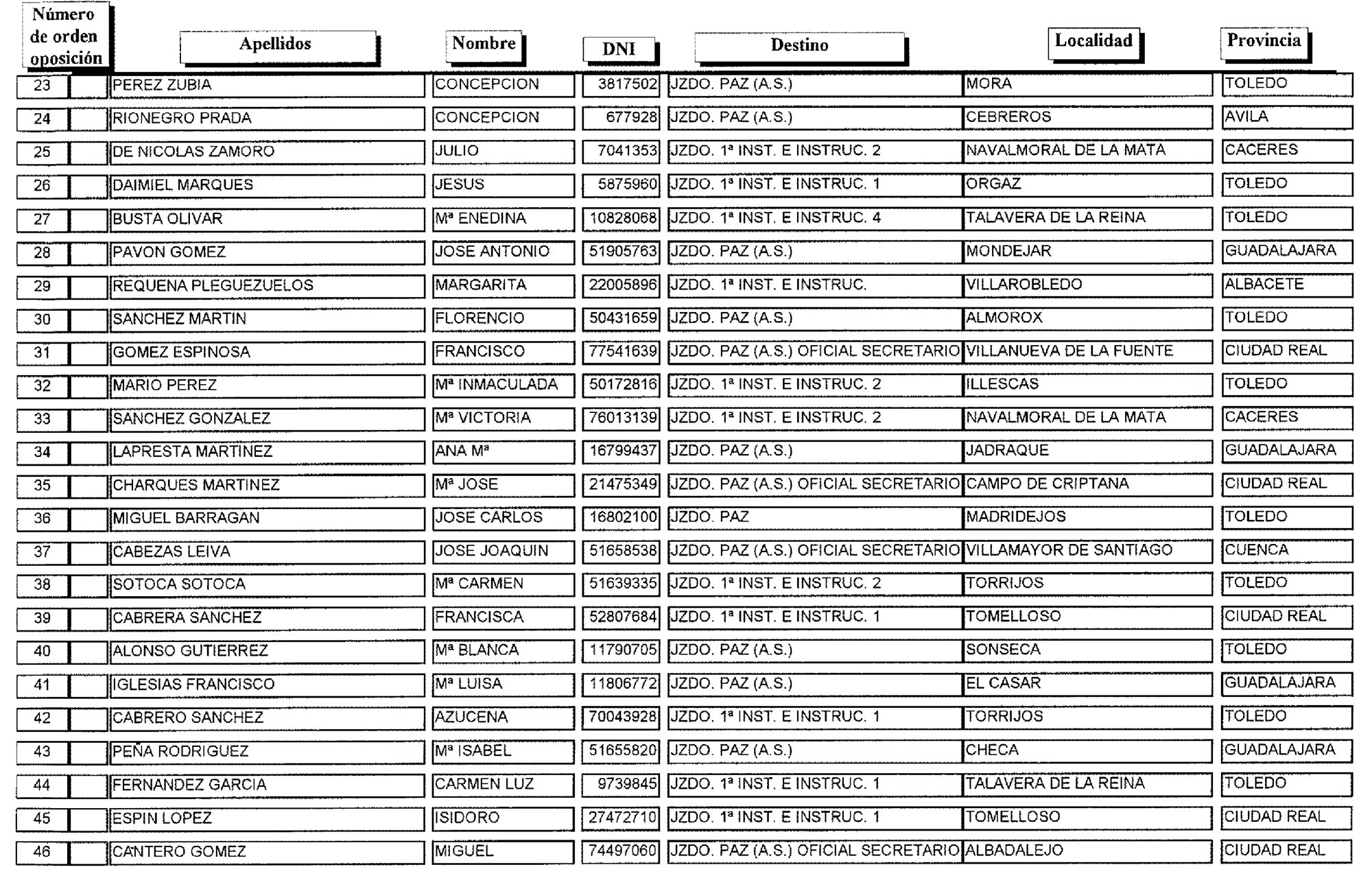
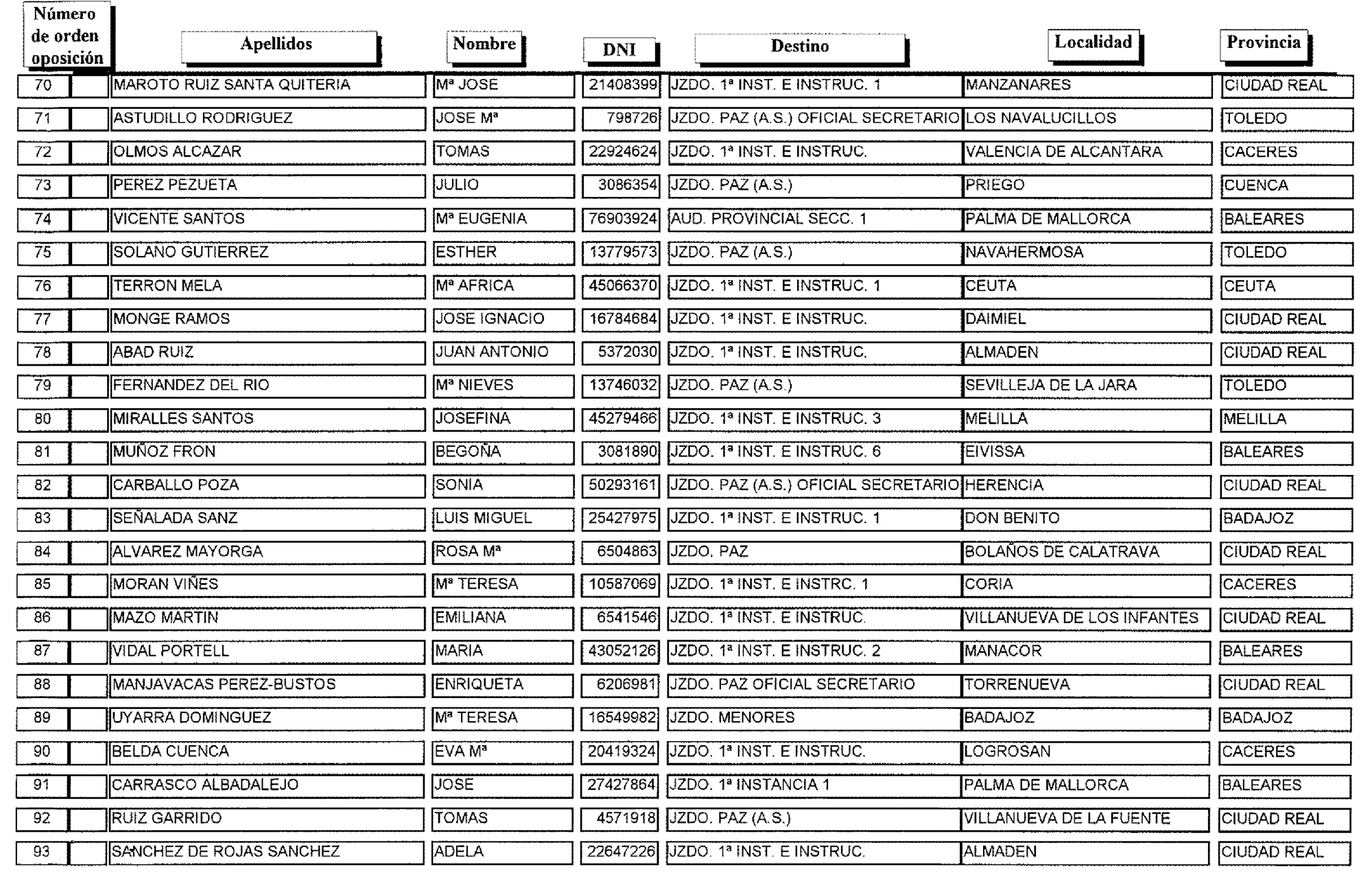
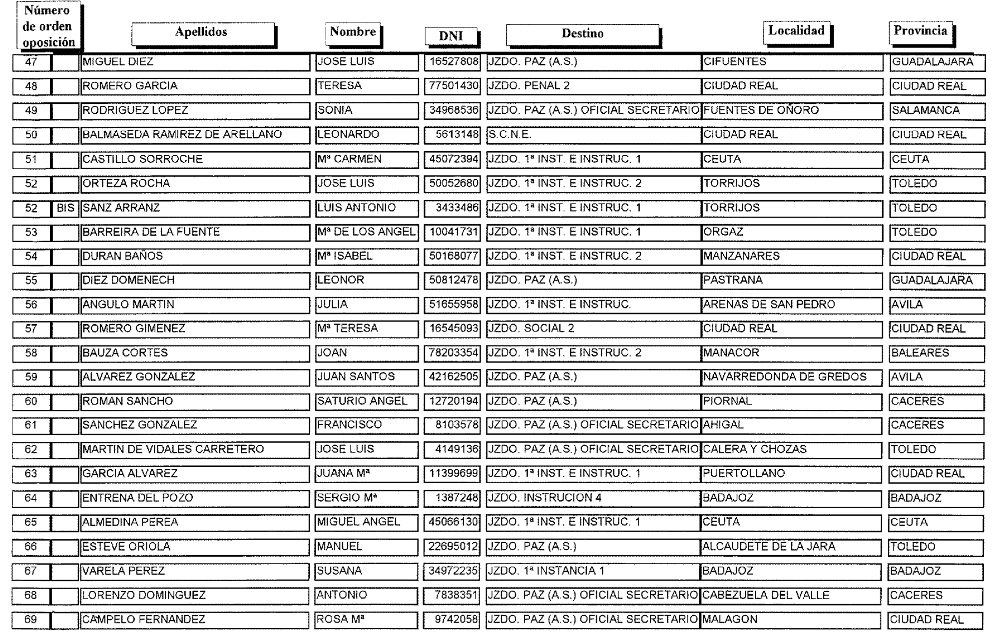
ANEXO
Oficiales promoción interna

Imagen: /datos/imagenes/disp/2003/79/06606_16653405_image1.png

Imagen: /datos/imagenes/disp/2003/79/06606_16653405_image2.png

Imagen: /datos/imagenes/disp/2003/79/06606_16653405_image3.png

Imagen: /datos/imagenes/disp/2003/79/06606_16653405_image4.png

Imagen: /datos/imagenes/disp/2003/79/06606_16653405_image5.png

subir

Agència Estatal Butlletí Oficial de l'Estat

Avda. de Manoteras, 54 - 28050 Madrid