Contido non dispoñible en galego

Está Vd. en

Documento BOE-A-2014-7472

Orden SSI/1225/2014, de 10 de julio, por la que se procede a la actualización del sistema de precios de referencia de medicamentos en el Sistema Nacional de Salud.

Publicado en:
«BOE» núm. 171, de 15 de julio de 2014, páginas 55477 a 55829 (353 págs.)
Sección:
I. Disposiciones generales
Departamento:
Ministerio de Sanidad, Servicios Sociales e Igualdad
Referencia:
BOE-A-2014-7472
Permalink ELI:
https://www.boe.es/eli/es/o/2014/07/10/ssi1225

TEXTO ORIGINAL

El sistema de precios de referencia, aplicable en materia de financiación de medicamentos por el Sistema Nacional de Salud, establecido en el artículo 93 de la Ley 29/2006, de 26 de julio, de garantías y uso racional de los medicamentos y productos sanitarios, se ha manifestado como herramienta esencial de control del gasto farmacéutico, necesario para la sostenibilidad del sistema sanitario público.

La modificación introducida en el citado artículo 93 por medio del artículo 4.10 del Real Decreto-ley 16/2012, de 20 de abril, de medidas urgentes para garantizar la sostenibilidad del Sistema Nacional de Salud y mejorar la calidad y seguridad de sus prestaciones, ha determinado la necesidad de proceder, con carácter previo, al desarrollo reglamentario de la citada disposición para poder hacer efectivo el mandato legal de establecer, con periodicidad anual, los nuevos conjuntos de referencia de medicamentos así como de proceder a la revisión de los precios de referencia de los conjuntos ya existentes, lo que se ha producido por medio del Real Decreto 177/2014, de 21 de marzo, por el que se regula el sistema de precios de referencia y de agrupaciones homogéneas en el Sistema Nacional de Salud y determinados sistemas de información en materia de financiación y precios de los medicamentos y productos sanitarios.

El artículo 5.1 del citado Real Decreto 177/2014, de 21 de marzo, encomienda a la persona titular del Ministerio de Sanidad, Servicios Sociales e Igualdad que, con periodicidad anual mediante la correspondiente orden y previo acuerdo de la Comisión Delegada del Gobierno para Asuntos Económicos, establezca los nuevos conjuntos y sus precios de referencia, así como revise los precios de referencia de las presentaciones de medicamentos incluidas en los conjuntos ya existentes y, en su caso, proceda a la supresión de los conjuntos cuando hayan dejado de cumplir los requisitos exigidos para su establecimiento.

La última actualización de los conjuntos de referencia de medicamentos y de sus precios de referencia se produjo por medio de la Resolución de 28 de diciembre de 2011, de la Dirección General de Farmacia y Productos Sanitarios, por la que se determinan los nuevos conjuntos de medicamentos que se dispensen en oficinas de farmacia a través de receta médica oficial u orden de dispensación, sus precios de referencia, y se revisan los precios de referencia fijados por Orden SPI/3052/2010, de 26 de noviembre y de la Resolución de 28 de diciembre de 2011, de la Dirección General de Farmacia y Productos Sanitarios, por la que se determinan los nuevos conjuntos de medicamentos de ámbito hospitalario y sus precios de referencia.

A través de esta orden ministerial se procede a la actualización de los conjuntos y precios de referencia establecidos por las dos resoluciones antes citadas, y para ello se determinan los nuevos conjuntos y se fijan sus precios de referencia, así como se revisan los precios de referencia fijados por las mismas. Igualmente se procede a la supresión de los conjuntos de referencia previamente determinados por no cumplir, por causas sobrevenidas, los requisitos exigibles para su establecimiento.

Para el establecimiento de nuevos conjuntos de referencia de medicamentos y el mantenimiento de los conjuntos establecidos por medio de las dos resoluciones de 28 de diciembre de 2011, de la Dirección General de Farmacia y Productos Sanitarios, antes citadas, así como para la supresión de conjuntos de referencia se han tenido en cuenta las disposiciones recogidas en el artículo 3, del Real Decreto 177/2014, de 21 de marzo.

Para la fijación de los precios de referencia de las presentaciones de medicamentos integradas en los nuevos conjuntos de referencia de medicamentos y para la revisión de los precios de referencia de las presentaciones de medicamentos integradas en conjuntos previamente determinados se han seguido las disposiciones establecidas en el artículo 4 del citado reglamento.

Esta orden se dicta de acuerdo con la habilitación específica prevista en el artículo 5.1 del Real Decreto 177/2014, de 21 de marzo, y en trámite de audiencia se ha dado traslado a las administraciones sanitarias de las comunidades autónomas, a las entidades gestoras de la prestación farmacéutica del Sistema Nacional de Salud, a los laboratorios farmacéuticos interesados, a las entidades de distribución de medicamentos, así como a las entidades representativas de los sectores afectados, incluidas las asociaciones de consumidores y usuarios.

En su virtud, resuelvo:

Primero.

Establecer los nuevos conjuntos de referencia y los precios de referencia de las presentaciones de medicamentos incluidas en los mismos así como revisar los precios de referencia de las presentaciones de medicamentos incluidas en conjuntos previamente existentes.

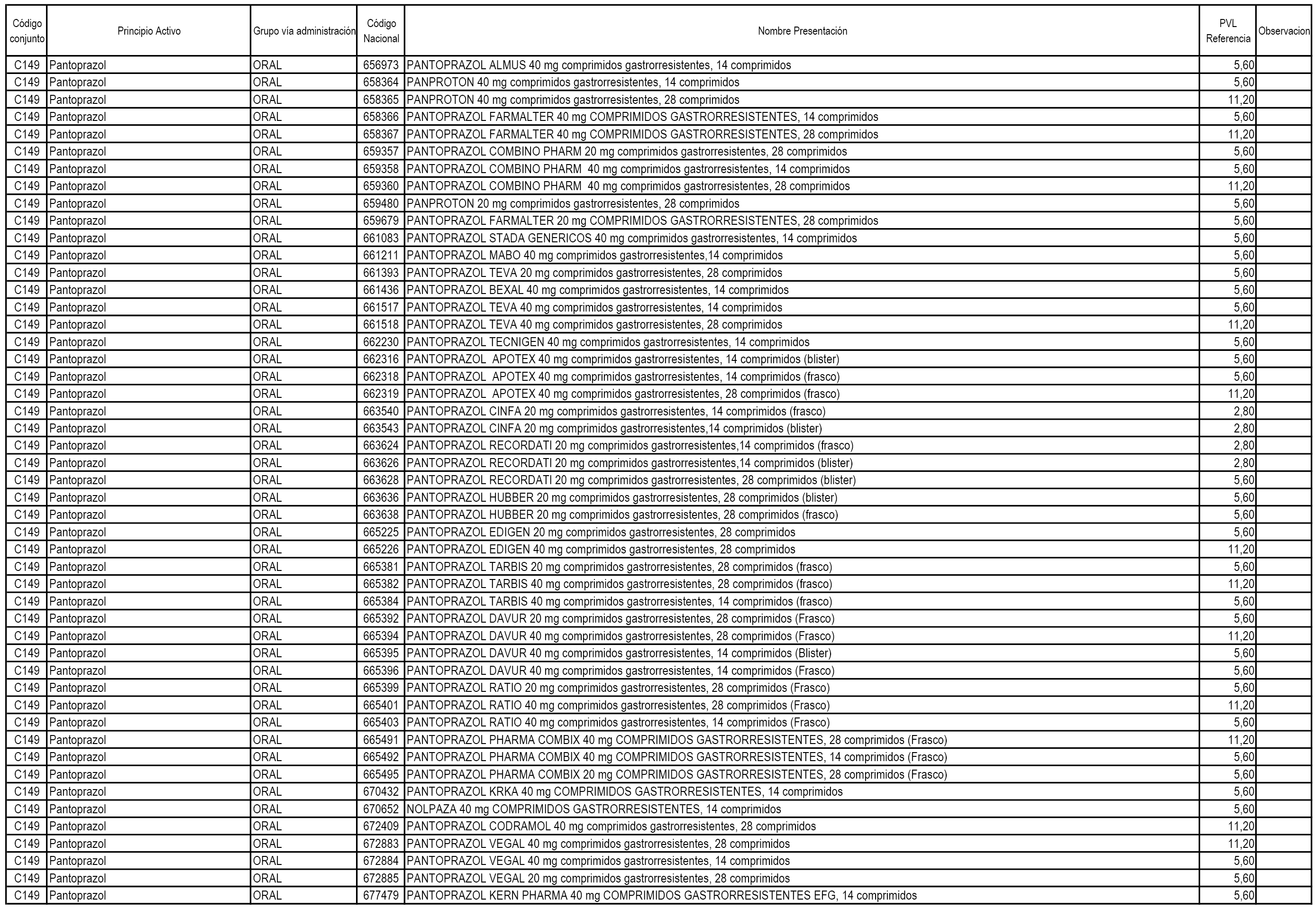
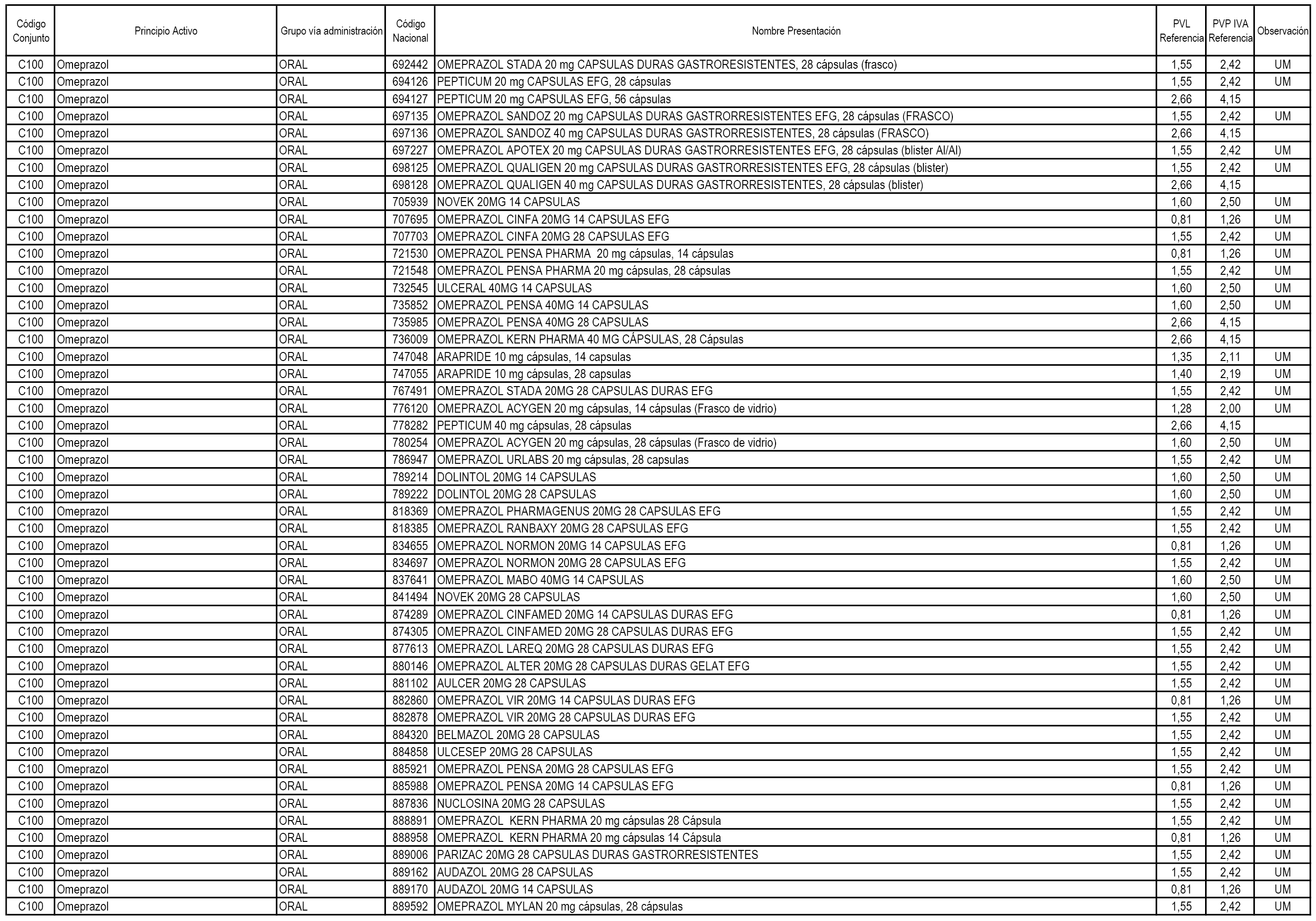
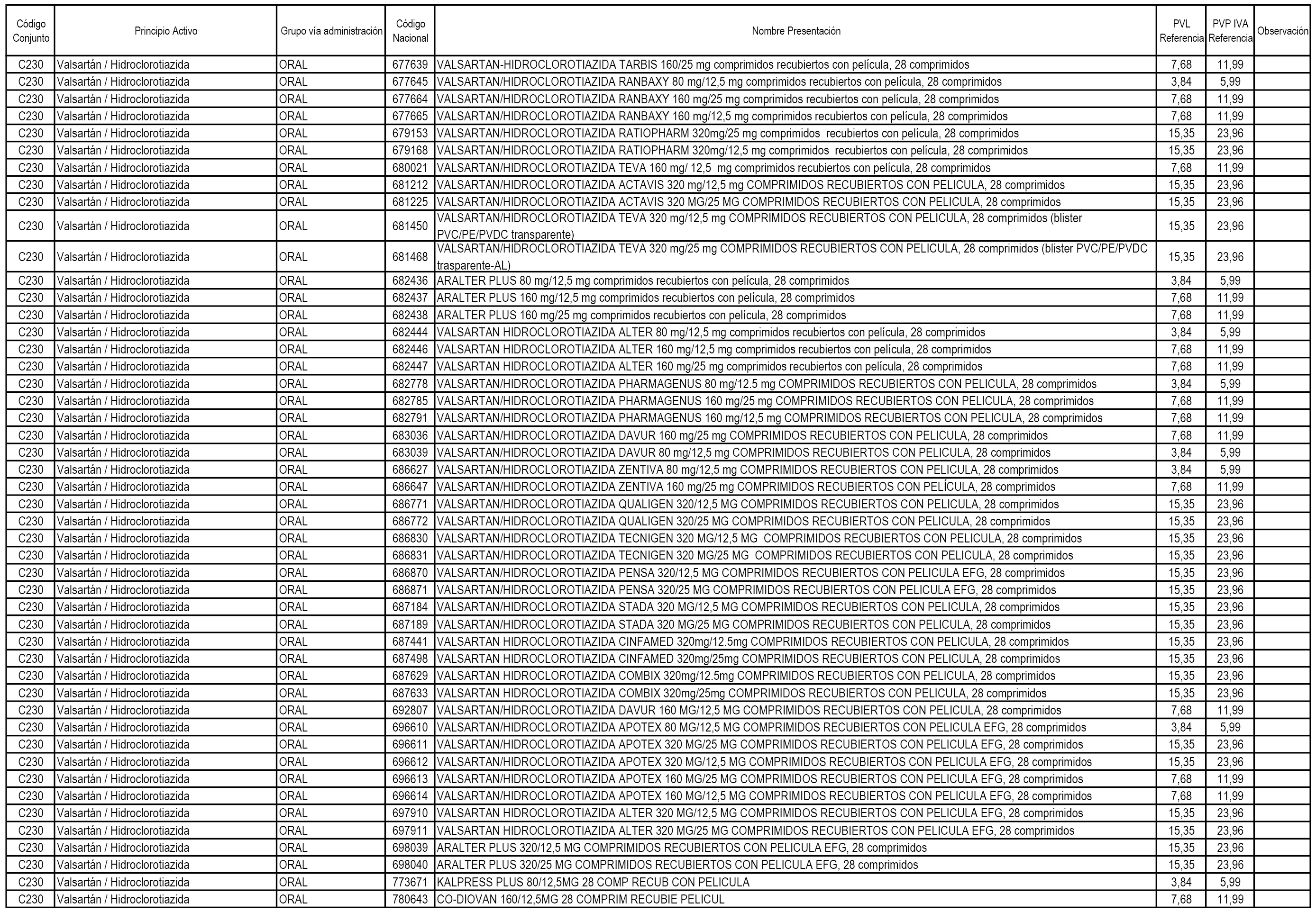
En el anexo 1 de esta orden se relacionan los conjuntos de referencia de presentaciones de medicamentos dispensables por oficinas de farmacia a través de receta médica oficial u orden de dispensación, con indicación del precio industrial de referencia y PVPIVA de referencia fijado para cada presentación.

Son de nueva creación los conjuntos enumerados del C-231 al C-426 del citado anexo.

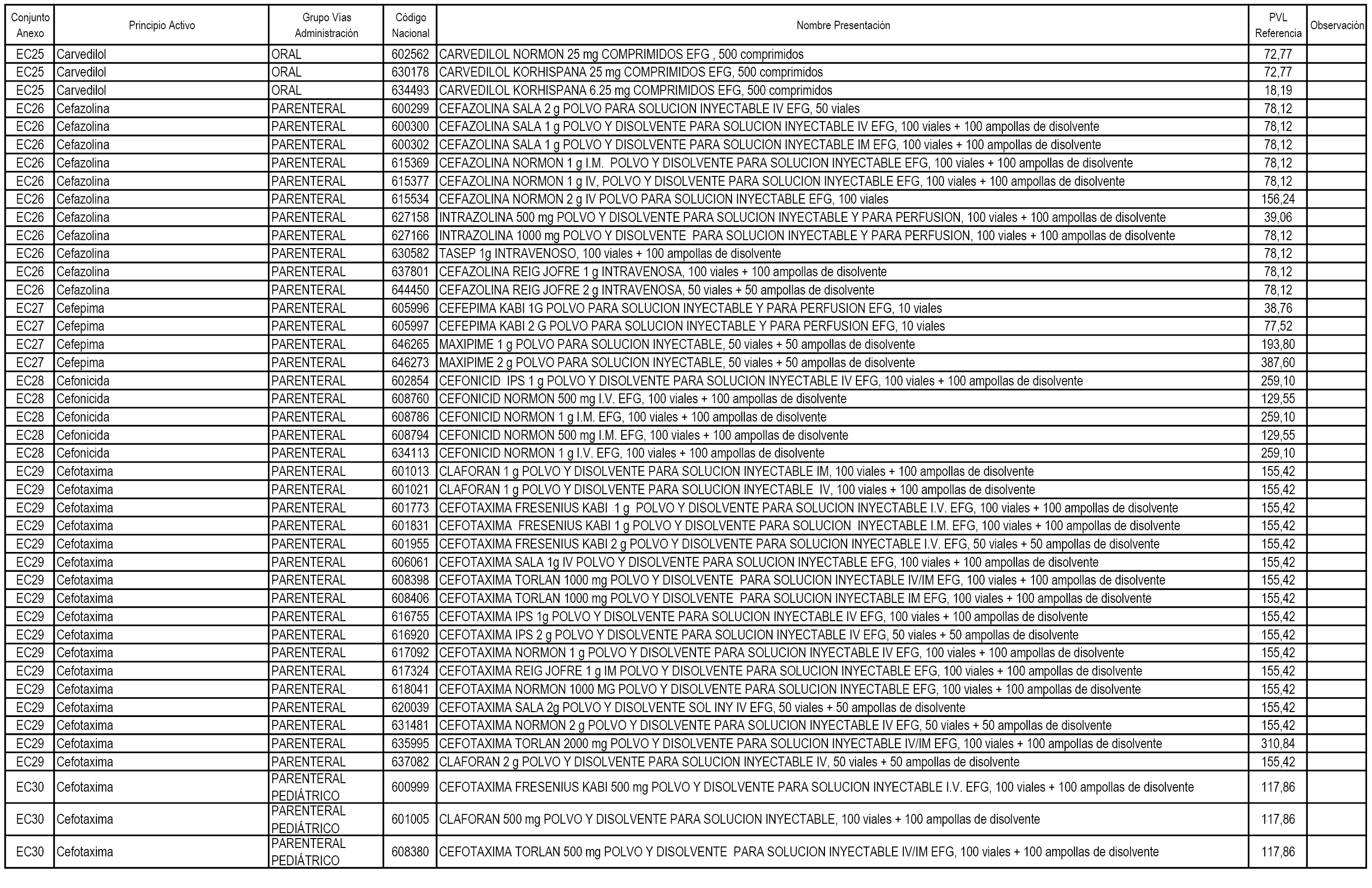
En el anexo 2 de esta orden se relacionan los conjuntos de referencia de presentaciones de medicamentos de ámbito hospitalario y presentaciones en envase clínico, con indicación del precio industrial de referencia y PVPIVA de referencia fijado para cada presentación.

Son de nueva creación los conjuntos enumerados del H-69 al H-98 y del EC-1 al EC-137 del citado anexo.

A efectos de facilitar el cumplimiento de lo dispuesto en la disposición adicional segunda del Real Decreto 177/2014, de 21 de marzo, en los anexos 1 y 2 se identifican las presentaciones de medicamentos cuyo precio de referencia se ha determinado por las reglas establecidas en los apartados 3 y 4 del artículo 4 del citado real decreto.

Segundo.

A efectos informativos, en el anexo 3 de esta orden se relacionan todos los conjuntos de referencia de medicamentos con indicación del precio de referencia de cada conjunto (PRC), identificando la presentación de medicamento cuyo coste/tratamiento/día (CTD) ha determinado el mismo.

También se incluye la información de las dosis diarias definidas (DDD) de cada conjunto de referencia de medicamentos utilizadas para el cálculo del coste/tratamiento/día (CTD) de las presentaciones de medicamentos integradas en el mismo conforme a lo establecido en el artículo 4 del Real Decreto 177/2014, de 21 de marzo.

Asimismo, se identifican los conjuntos de referencia de medicamentos formados por la existencia de un medicamento biosimilar y aquellos otros formados sin la existencia de un medicamento genérico o biosimilar conforme a lo establecido en el artículo 3 del Real Decreto 177/2014, de 21 de marzo.

Tercero.

En aplicación de lo dispuesto en el artículo 5 del Real Decreto 177/2014, de 21 de marzo se suprimen los conjuntos de referencia de medicamentos que han dejado de cumplir los requisitos exigidos para su establecimiento.

En el anexo 4 de esta orden se relacionan los conjuntos de referencia de medicamentos suprimidos, con indicación del motivo para su supresión.

Cuarto.

En el anexo 5 de esta orden se relacionan las presentaciones de medicamentos declaradas como innovaciones galénicas de interés terapéutico con anterioridad a la entrada en vigor del Real Decreto-ley 16/2012, de 20 de abril, de medidas urgentes para garantizar la sostenibilidad del Sistema Nacional de Salud y mejorar la calidad y seguridad de sus prestaciones, excluidas del sistema de precios de referencia, cuya declaración como innovación galénica expira con posterioridad a la fecha de efectos de esta orden.

En el citado anexo 5, conforme a lo establecido en el apartado 1 de la disposición adicional tercera del Real Decreto 177/2014, de 21 de marzo, se indica el plazo de exclusión del sistema de precios de referencia para cada una de las presentaciones de medicamentos. Una vez transcurrido el plazo de exclusión, será de aplicación lo dispuesto en el apartado 2 de la citada disposición.

Quinto.

A efectos de lo dispuesto en la disposición adicional séptima del Real Decreto 177/2014, de 21 de marzo en el anexo 6 de esta orden se relacionan las presentaciones de medicamentos y sus licencias para las que no se ha formado conjunto de referencia de conformidad con lo establecido en el artículo 3.2 del citado real decreto.

Sexto.

A efectos de aplicación de lo dispuesto en el artículo 5.3. del Real Decreto 177/2014, de 21 de marzo, se fija el precio de referencia a las presentaciones de medicamentos que incluidas en la prestación farmacéutica del Sistema Nacional de Salud con anterioridad a la fecha de efectos de esta orden, pero cuya efectividad de inclusión en la prestación farmacéutica, conforme a lo dispuesto en la disposición adicional sexta del citado real decreto, no se había producido a fecha 10 de abril 2014, fecha de inicio del procedimiento de elaboración de esta orden.

En el anexo 7 de esta orden se relacionan las presentaciones de medicamentos con indicación del conjunto de referencia en el que se integrarán, el precio industrial de referencia y el PVPIVA de referencia fijado para cada presentación.

Séptimo.

Esta orden producirá efectos a partir del día de su publicación en el «Boletín Oficial del Estado».

Octavo.

Contra la presente orden, que pone fin a la vía administrativa, se podrá interponer recurso contencioso-administrativo en el plazo de dos meses a partir del día siguiente al de su publicación ante la Sala de lo Contencioso-administrativo de la Audiencia Nacional, de conformidad con lo dispuesto en el artículo 11 de la Ley 29/1998, de 13 de julio, reguladora de la Jurisdicción Contencioso-administrativa o, potestativamente y con carácter previo, recurso administrativo de reposición en el plazo de un mes ante la Ministra de Sanidad, Servicios Sociales e Igualdad, de conformidad con lo establecido en los artículos 116 y 117 de la Ley 30/1992, de 26 de noviembre, de Régimen Jurídico de las Administraciones Públicas y del Procedimiento Administrativo Común.

Madrid, 10 de julio de 2014.–La Ministra de Sanidad, Servicios Sociales e Igualdad, Ana Mato Adrover.

ANEXO 1
Conjuntos de referencia y precios de referencia aprobados por la presente Orden para medicamentos dispensables en oficinas de farmacia a través de receta médica oficial u orden de dispensación

1

2

3

4

5

6

7

8

9

10

11

12

13

14

15

16

17

18

19

20

21

22

23

24

25

26

27

28

29

30

31

32

33

34

35

36

37

38

39

40

41

42

43

44

45

46

47

48

49

50

51

52

53

54

55

56

57

58

59

60

61

62

63

64

65

66

67

68

69

70

71

72

73

74

75

76

77

78

79

80

81

82

83

84

85

86

87

88

89

90

91

92

93

94

95

96

97

98

99

100

101

102

103

104

105

106

107

108

109

110

111

112

113

114

115

116

117

118

119

120

121

122

123

124

125

126

127

128

129

130

131

132

133

134

135

136

137

138

139

140

141

142

143

144

145

146

147

148

149

150

151

152

153

154

155

156

157

158

159

160

161

162

163

164

165

166

167

168

169

ANEXO 2
Conjuntos de referencia y precios de referencia aprobados por la presente orden para medicamentos de ámbito hospitalario

170

171

172

173

174

175

176

177

178

179

180

181

182

183

184

185

186

187

188

189

190

191

192

193

194

195

196

197

198

199

200

201

202

203

204

ANEXO 3
Precio de referencia de los conjunto

205

206

207

208

209

210

211

212

213

214

215

216

217

218

ANEXO 4
Conjuntos de referencia que quedan suprimidos en la presente orden ministerial

219

220

ANEXO 5
Presentaciones de medicamentos declarados innovación galénica

221

ANEXO 6
Relación de presentaciones de medicamentos para las que no se han formado conjuntos en aplicación del artículo 3.2 del Real Decreto 177/2014, de 21 de marzo

222

223

224

225

226

227

228

229

230

231

232

233

234

235

236

237

238

239

240

241

242

243

244

245

246

247

248

249

250

251

252

253

254

255

ANEXO 7
Presentaciones de medicamentos contempladas en el artículo 5.3b) del Real Decreto 177/2014, de 21 de marzo

256

257

258

259

260

261

262

263

264

265

266

267

268

269

270

271

272

273

274

275

276

277

278

279

280

281

282

283

284

285

286

287

288

289

290

291

292

293

294

295

296

297

298

299

300

301

302

303

304

305

306

307

308

309

310

311

312

313

314

315

316

317

318

319

320

321

322

323

324

325

326

327

328

329

330

331

332

333

334

335

336

337

338

339

340

341

342

343

344

345

346

347

348

349

350

ANÁLISIS

  • Rango: Orden
  • Fecha de disposición: 10/07/2014
  • Fecha de publicación: 15/07/2014
  • Efectos desde el 15 de julio de 2014.
Referencias posteriores

Criterio de ordenación:

  • SE ACTUALIZA, por Orden SSI/2160/2015, de 14 de octubre (Ref. BOE-A-2015-11177).
  • SE CORRIGEN errores, por Orden SSI/1476/2014, de 31 de julio (Ref. BOE-A-2014-8500).
Referencias anteriores
  • DE CONFORMIDAD con el Real Decreto 177/2014, de 21 de marzo (Ref. BOE-A-2014-3189).
  • EN RELACIÓN con la Resolución de 28 de diciembre de 2011 (Ref. BOE-A-2011-20544).
  • CITA Orden SPI/3052/2010, de 26 de noviembre (Ref. BOE-A-2010-18258).
Materias
  • Medicamentos
  • Precios
  • Sistema Nacional de Salud

subir

Axencia Estatal Boletín Oficial do Estado

Avda. de Manoteras, 54 - 28050 Madrid