Edukia ez dago euskaraz

Zu hemen zaude

Documento BOE-A-2010-19393

Resolución de 15 de diciembre de 2010, de la Dirección General de Política Energética y Minas, por la que se aprueba el perfil de consumo y el método de cálculo a efectos de liquidación de energía, aplicables para aquellos consumidores tipo 4 y tipo 5 que no dispongan de registro horario de consumo, así como aquellos que han pasado de ser tipo 4 a tipo 3, según el Real Decreto 1110/2007, de 24 de agosto, por el que se aprueba el Reglamento unificado de puntos de medida del sistema eléctrico, para el año 2011.

Publicado en:
«BOE» núm. 306, de 17 de diciembre de 2010, páginas 104081 a 104231 (151 págs.)
Sección:
I. Disposiciones generales
Departamento:
Ministerio de Industria, Turismo y Comercio
Referencia:
BOE-A-2010-19393
Permalink ELI:
https://www.boe.es/eli/es/res/2010/12/15/(1)

TEXTO ORIGINAL

Visto el artículo 9 del Real Decreto 1435/2002, de 27 de diciembre, por el que se regulan las condiciones básicas de los contratos de adquisición de energía y de acceso a las redes en baja tensión.

Vistos el artículo 32, así como el artículo 7 y la disposición transitoria segunda del Real Decreto 1110/2007, de 24 de agosto, por el que se aprueba el Reglamento Unificado de Puntos de Medida del Sistema Eléctrico.

Vista la propuesta de revisión de los perfiles de consumo existentes para aquellos puntos de suministro de clientes que, de acuerdo con la normativa aplicable, no tengan la obligación de disponer de registro de consumo horario en sus equipos de medida, realizada por Red Eléctrica de España, S. A., el 12 de agosto de 2010 en cumplimiento del mandato establecido en la disposición adicional tercera de la Orden ITC/3519/2009, de 28 de diciembre, por la que se revisan los peajes de acceso a partir de 1 de enero de 2010 y las tarifas y primas de las instalaciones del régimen especial.

Visto el informe sobre la propuesta realizada por Red Eléctrica de España, S. A., aprobado por el Consejo de Administración de la Comisión Nacional de Energía en su sesión de 11 de noviembre de 2010.

Vista la actualización realizada por Red Eléctrica de España, S. A., en diciembre de 2010 de la propuesta de perfiles de consumo de agosto de 2010, con el fin de tener en cuenta la mejor información disponible para el cálculo de la demanda de referencia de 2011.

Esta Dirección General resuelve:

Primero.

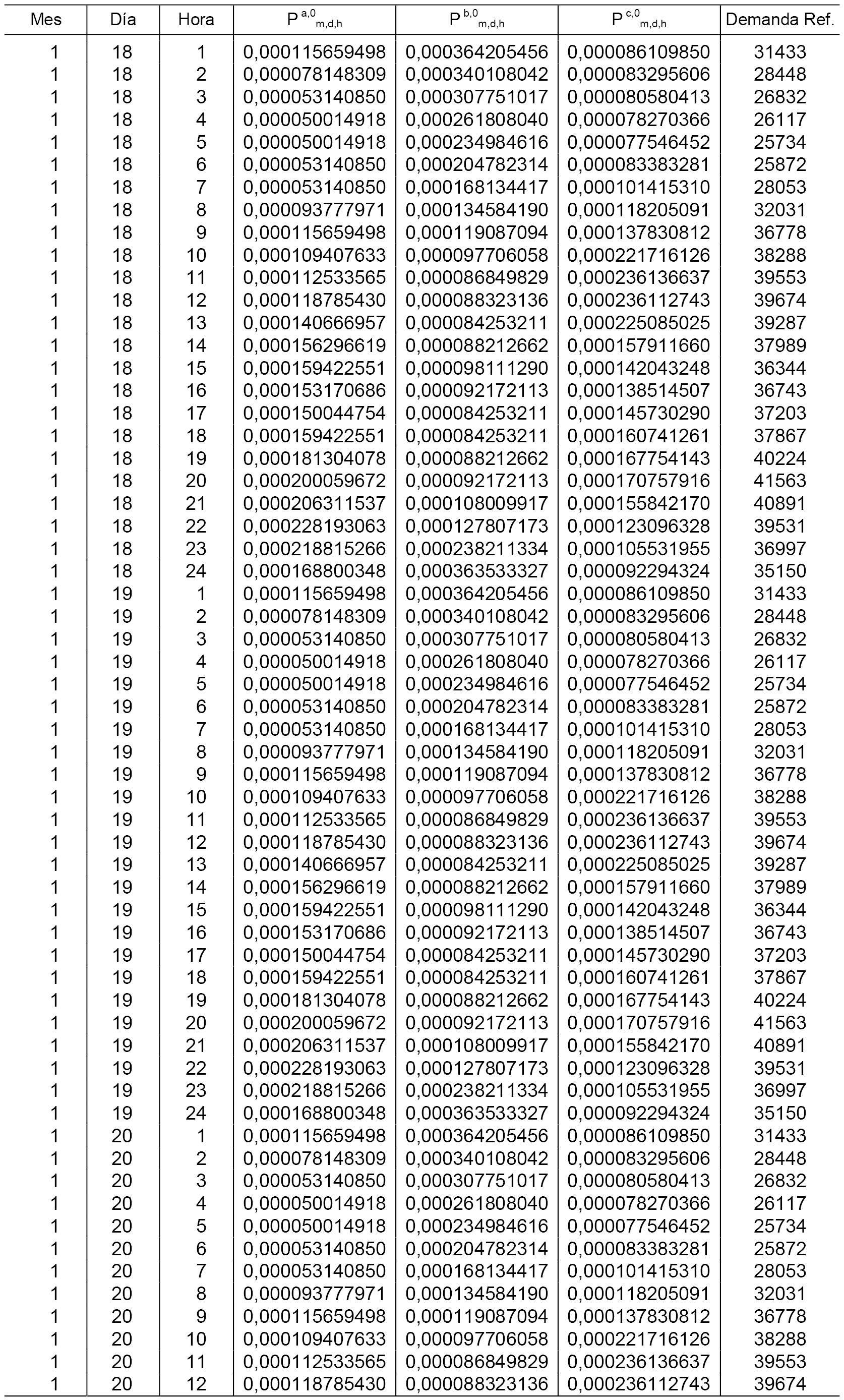
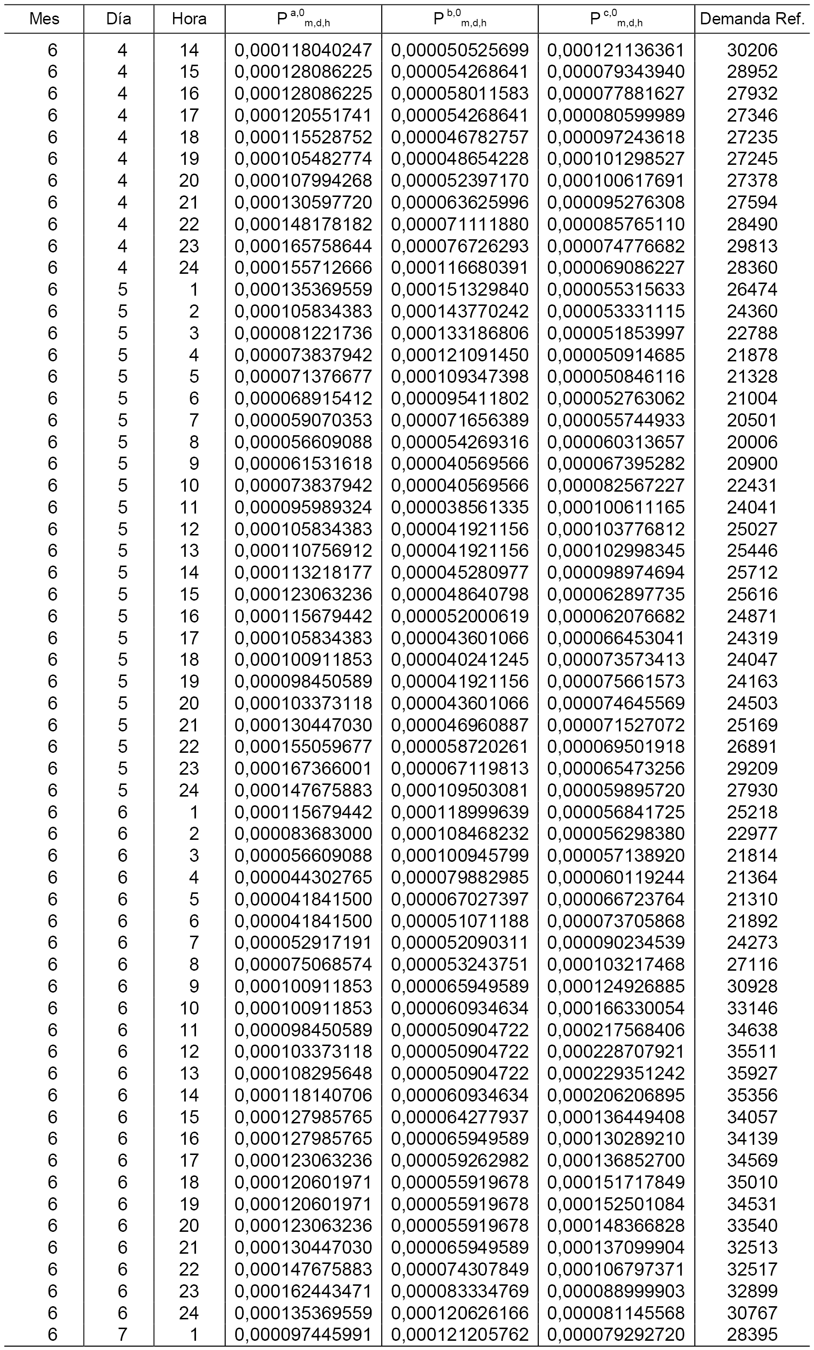
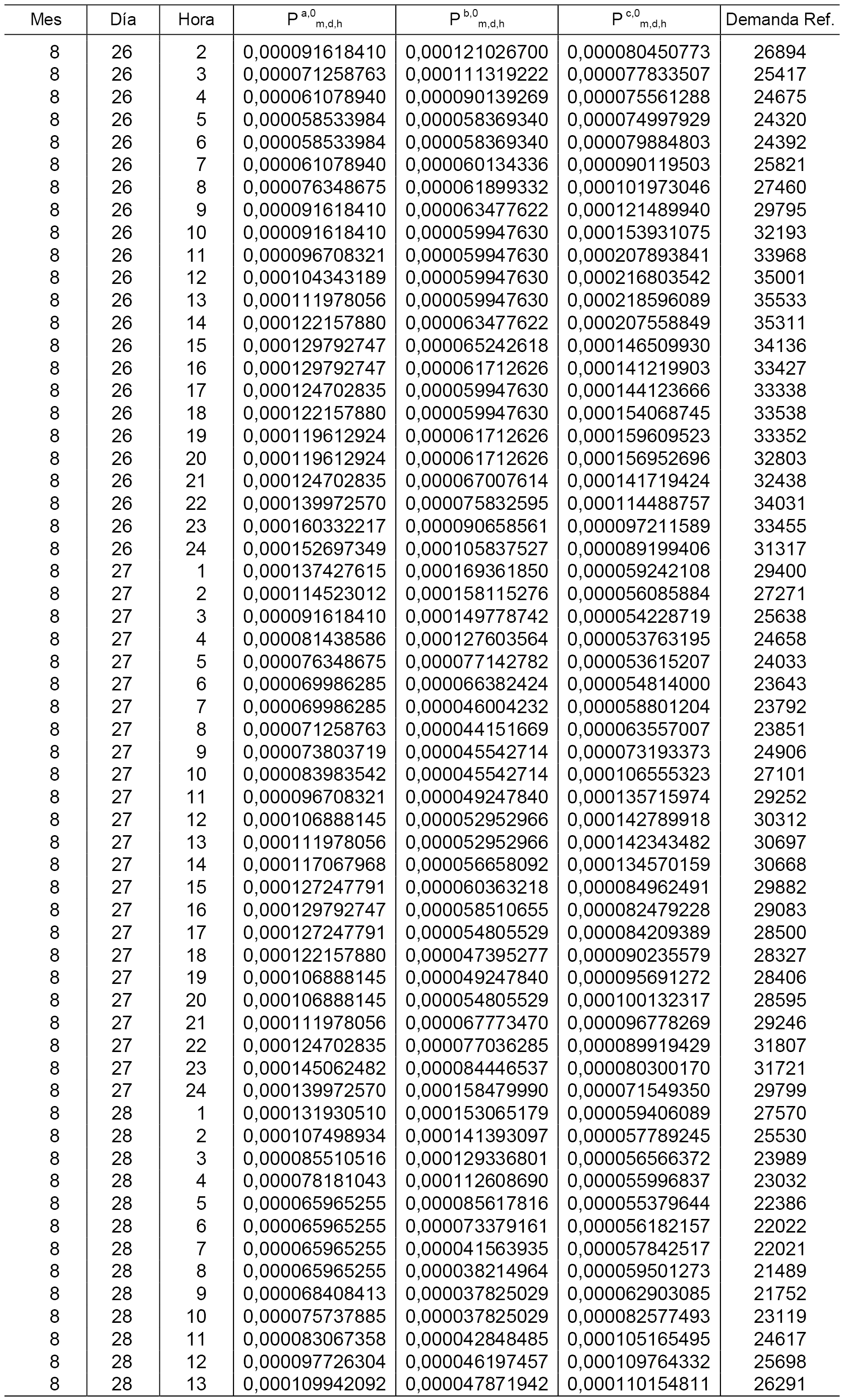
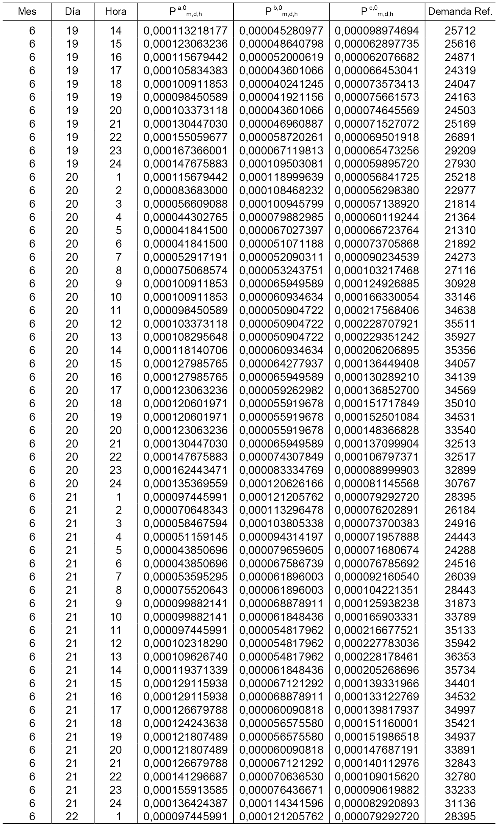
Aprobar los perfiles de consumo y el método de cálculo a efectos de liquidación de energía aplicables para aquellos consumidores tipo 4 y tipo 5 que no dispongan de registro horario de consumo, así como para aquellos suministros que desde la entrada en vigor del Real Decreto 1110/2007, de 24 de agosto, por el que se aprueba el Reglamento unificado de puntos de medida del sistema de medidas eléctrico, han cambiado su clasificación de tipo de medida pasando de ser puntos de medida tipo 4 a ser puntos de medida tipo 3, y que no dispongan de registros horario de consumo. Los perfiles y el método de cálculo, figuran como anexos de la presente Resolución, y serán de aplicación a partir del 1 de enero de 2011.

Segundo.

Contra la presente Resolución cabe interponer Recurso de Alzada ante el Secretario de Estado de Energía, en el plazo de un mes, de acuerdo con lo establecido en la Ley 30/1992, de 26 de noviembre, de Régimen Jurídico de las Administraciones Públicas y del Procedimiento Administrativo Común.

Madrid, 15 de diciembre de 2010.–El Director General de Política Energética y Minas, Antonio Hernández García.

ANEXO I

1

2

3

ANEXO II

1

ANEXO III
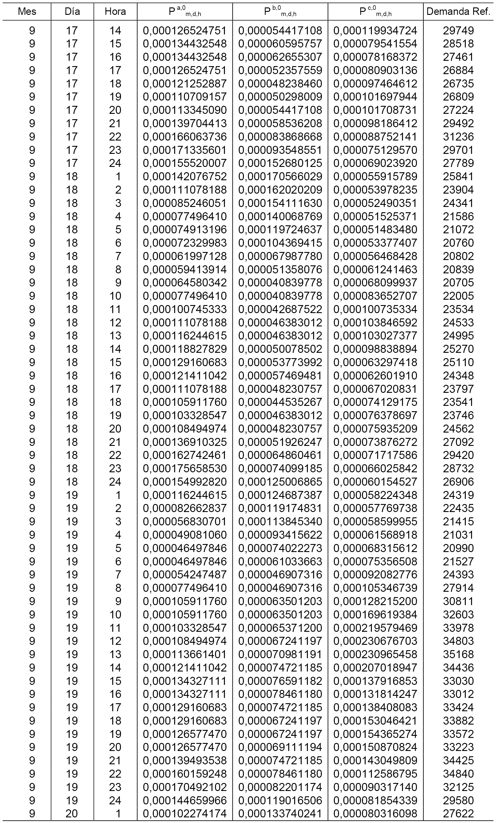
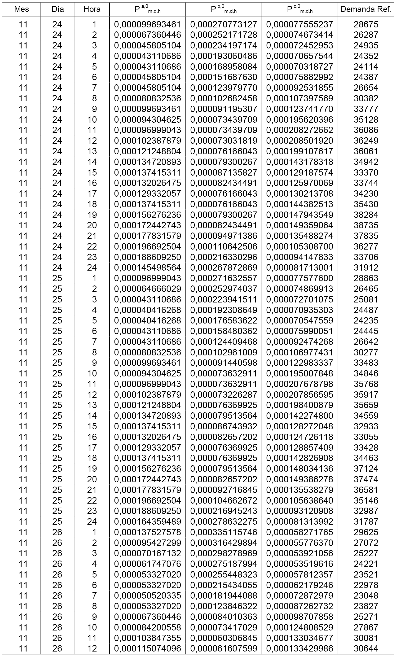
Perfiles iniciales para cada categoría de consumidores durante 2011

1

2

3

4

5

6

7

8

9

10

11

12

13

14

15

16

17

18

19

20

21

22

23

24

25

26

27

28

29

30

31

32

33

34

35

36

37

38

39

40

41

42

43

44

45

46

47

48

49

50

51

52

53

54

55

56

57

58

59

60

61

62

63

64

65

66

67

68

69

70

71

72

73

74

75

76

77

78

79

80

81

82

83

84

85

86

87

88

89

90

91

92

93

94

95

96

97

98

99

100

101

102

103

104

105

106

107

108

109

110

111

112

113

114

115

116

117

118

119

120

121

122

123

124

125

126

127

128

129

130

131

132

133

134

135

136

137

138

139

140

141

142

143

144

145

146

147

ANÁLISIS

  • Rango: Resolución
  • Fecha de disposición: 15/12/2010
  • Fecha de publicación: 17/12/2010
  • Aplicable desde el 1 de enero de 2011 el método de cálculo y los perfiles de los anexos.
Referencias anteriores
  • DE CONFORMIDAD con el Real Decreto 1110/2007, de 24 de agosto (Ref. BOE-A-2007-16478).
Materias
  • Comisión Nacional de Energía
  • Consumo de energía
  • Energía eléctrica
  • Tarifas

subir

Estatuko Aldizkari Ofiziala Estatu Agentzia

Manoteras Etorb., 54 - 28050 Madril