Contingut no disponible en valencià

Us trobeu en

Documento BOE-A-2003-23458

Orden HAC/3561/2003, de 15 de diciembre, por la que se aprueban los precios medios de venta aplicables en la gestión del Impuesto sobre Transmisiones Patrimoniales y Actos Jurídicos Documentados, Impuesto sobre Sucesiones y Donaciones e Impuesto Especial sobre Determinados Medios de Transporte.

Publicado en:
«BOE» núm. 305, de 22 de diciembre de 2003, páginas 45429 a 45549 (121 págs.)
Sección:
I. Disposiciones generales
Departamento:
Ministerio de Hacienda
Referencia:
BOE-A-2003-23458
Permalink ELI:
https://www.boe.es/eli/es/o/2003/12/15/hac3561

TEXTO ORIGINAL

El artículo 52 de la Ley 230/1963, de 28 de diciembre, General Tributaria establece como uno de los medios para la comprobación de valores el de precios medios en el mercado, que se ha considerado como idóneo para la comprobación de valores de los medios privados de transporte, aprobándose para cada ejercicio una Orden del Ministerio de Hacienda en la que se han recogido los precios en el mercado no sólo de los automóviles de turismo, vehículos todo terreno y motocicletas, sino también los de las embarcaciones de recreo.

En aplicación de lo anterior, la Orden de 30 de enero de 1987 aprobó los precios medios de venta utilizables como medio de comprobación, tanto en el Impuesto sobre Transmisiones Patrimoniales y Actos Jurídicos Documentados como en el entonces Impuesto General sobre las Sucesiones. Dichos precios medios de venta han venido siendo actualizados para los diferentes años por sucesivas Órdenes del Ministerio de Hacienda. Dentro del orden cronológico anterior, la Orden de 16 de diciembre de 1991 estableció, por primera vez, la posibilidad de utilizar los precios medios de venta como medio de comprobación de valores en la transmisión de embarcaciones y aeronaves usadas, que se aprobaron en el Anexo II de la mencionada Orden, teniendo en cuenta el porcentaje que correspondiese en función de los años de utilización de las naves, que se recogían en el Anexo III. La última actualización realizada se ha llevado a efecto por la Orden HAC/3163/2002, de 5 de diciembre, en la que se mantenía, como se hace en esta Orden, que los precios medios de venta pudieran utilizarse como medios de comprobación del Impuesto Especial sobre Determinados Medios de Transporte.

En el mismo sentido, la Orden de 4 de julio de 2001, por la que se aprueba el modelo de declaración-liquidación que debe utilizarse en las transmisiones de determinados medios de transportes usados sujetas al Impuesto sobre Transmisiones Patrimoniales y Actos Jurídicos Documentados, establece que para la práctica de la liquidación se podrán tomar en cuenta los precios medios de venta establecidos anualmente en Orden Ministerial.

Por último, esta Orden mantiene la tabla de porcentajes de depreciación contenida en el anexo IV de la Orden de 15 de diciembre de 1998, por considerar que sigue siendo adecuada a la realidad del mercado del automóvil y a la depreciación que sufren los vehículos.

Por todo lo anterior procede actualizar para el año 2004 los precios medios de venta y los porcentajes aplicables a los mismos.

En su virtud, este Ministerio ha tenido a bien disponer:

Primero.

Las tablas que figuran en los anexos I, II, III, y IV de la Orden HAC/3163/2002, de 5 de diciembre, quedan sustituidas a todos los efectos por las que se recogen en los anexos I, II, III y IV de esta Orden.

Segundo.

Los precios medios de venta, que se aprueban por esta disposición, serán utilizables como medios de comprobación a los efectos del Impuesto sobre Transmisiones Patrimoniales y Actos Jurídicos Documentados, Impuesto sobre Sucesiones y Donaciones e Impuesto Especial sobre Determinados Medios de Transporte.

Tercero.

Para la determinación del valor de los vehículos de turismo, todo terrenos y motocicletas ya matriculados se aplicarán sobre los precios medios, que figuran en el anexo I de esta Orden, los porcentajes que correspondan, según los años de utilización y, en su caso, actividad del vehículo, establecidos en la tabla e instrucciones que se recogen en el anexo IV de esta Orden.

Cuarto.

La fijación del valor de las embarcaciones de recreo y motores marinos se efectuará valorando separadamente el buque sin motor y la motorización, para lo cual se tomarán los valores consignados en los anexos II y III de esta Orden, aplicándoseles los porcentajes de la tabla incluida en el anexo III de esta Orden, según los años de utilización, y sumando posteriormente los valores actualizados para obtener el valor total de la embarcación.

Disposición final.

Esta Orden entrará en vigor el día 1 de enero del año 2004.

Madrid, 15 de diciembre de 2003.‒Montoro Romero.

Ilmos. Sres. Director de la Agencia Estatal de Administración Tributaria y Director general de Tributos.

ANEXO I
Precios medios de VEHÍCULOS DE TURISMO usados durante el primer año posterior a su primera matriculación

Imagen: /datos/imagenes/disp/2003/305/23458_8193697_image1.png

Imagen: /datos/imagenes/disp/2003/305/23458_8193697_image2.png

Imagen: /datos/imagenes/disp/2003/305/23458_8193697_image3.png

Imagen: /datos/imagenes/disp/2003/305/23458_8193697_image4.png

Imagen: /datos/imagenes/disp/2003/305/23458_8193697_image5.png

Imagen: /datos/imagenes/disp/2003/305/23458_8193697_image6.png

Imagen: /datos/imagenes/disp/2003/305/23458_8193697_image7.png

Imagen: /datos/imagenes/disp/2003/305/23458_8193697_image8.png

Imagen: /datos/imagenes/disp/2003/305/23458_8193697_image9.png

Imagen: /datos/imagenes/disp/2003/305/23458_8193697_image10.png

Imagen: /datos/imagenes/disp/2003/305/23458_8193697_image11.png

Imagen: /datos/imagenes/disp/2003/305/23458_8193697_image12.png

Imagen: /datos/imagenes/disp/2003/305/23458_8193697_image13.png

Imagen: /datos/imagenes/disp/2003/305/23458_8193697_image14.png

Imagen: /datos/imagenes/disp/2003/305/23458_8193697_image15.png

Imagen: /datos/imagenes/disp/2003/305/23458_8193697_image16.png

Imagen: /datos/imagenes/disp/2003/305/23458_8193697_image17.png

Imagen: /datos/imagenes/disp/2003/305/23458_8193697_image18.png

Imagen: /datos/imagenes/disp/2003/305/23458_8193697_image19.png

Imagen: /datos/imagenes/disp/2003/305/23458_8193697_image20.png

Imagen: /datos/imagenes/disp/2003/305/23458_8193697_image21.png

Imagen: /datos/imagenes/disp/2003/305/23458_8193697_image22.png

Imagen: /datos/imagenes/disp/2003/305/23458_8193697_image23.png

Imagen: /datos/imagenes/disp/2003/305/23458_8193697_image24.png

Imagen: /datos/imagenes/disp/2003/305/23458_8193697_image25.png

Imagen: /datos/imagenes/disp/2003/305/23458_8193697_image26.png

Imagen: /datos/imagenes/disp/2003/305/23458_8193697_image27.png

Imagen: /datos/imagenes/disp/2003/305/23458_8193697_image28.png

Imagen: /datos/imagenes/disp/2003/305/23458_8193697_image29.png

Imagen: /datos/imagenes/disp/2003/305/23458_8193697_image30.png

Imagen: /datos/imagenes/disp/2003/305/23458_8193697_image31.png

Imagen: /datos/imagenes/disp/2003/305/23458_8193697_image32.png

Imagen: /datos/imagenes/disp/2003/305/23458_8193697_image33.png

Imagen: /datos/imagenes/disp/2003/305/23458_8193697_image34.png

Imagen: /datos/imagenes/disp/2003/305/23458_8193697_image35.png

Imagen: /datos/imagenes/disp/2003/305/23458_8193697_image36.png

Imagen: /datos/imagenes/disp/2003/305/23458_8193697_image37.png

Imagen: /datos/imagenes/disp/2003/305/23458_8193697_image38.png

Imagen: /datos/imagenes/disp/2003/305/23458_8193697_image39.png

Imagen: /datos/imagenes/disp/2003/305/23458_8193697_image40.png

Imagen: /datos/imagenes/disp/2003/305/23458_8193697_image41.png

Imagen: /datos/imagenes/disp/2003/305/23458_8193697_image42.png

Imagen: /datos/imagenes/disp/2003/305/23458_8193697_image43.png

Imagen: /datos/imagenes/disp/2003/305/23458_8193697_image44.png

Imagen: /datos/imagenes/disp/2003/305/23458_8193697_image45.png

Imagen: /datos/imagenes/disp/2003/305/23458_8193697_image46.png

Imagen: /datos/imagenes/disp/2003/305/23458_8193697_image47.png

Imagen: /datos/imagenes/disp/2003/305/23458_8193697_image48.png

Imagen: /datos/imagenes/disp/2003/305/23458_8193697_image49.png

Imagen: /datos/imagenes/disp/2003/305/23458_8193697_image50.png

Imagen: /datos/imagenes/disp/2003/305/23458_8193697_image51.png

Imagen: /datos/imagenes/disp/2003/305/23458_8193697_image52.png

Imagen: /datos/imagenes/disp/2003/305/23458_8193697_image53.png

Imagen: /datos/imagenes/disp/2003/305/23458_8193697_image54.png

Imagen: /datos/imagenes/disp/2003/305/23458_8193697_image55.png

Imagen: /datos/imagenes/disp/2003/305/23458_8193697_image56.png

Imagen: /datos/imagenes/disp/2003/305/23458_8193697_image57.png

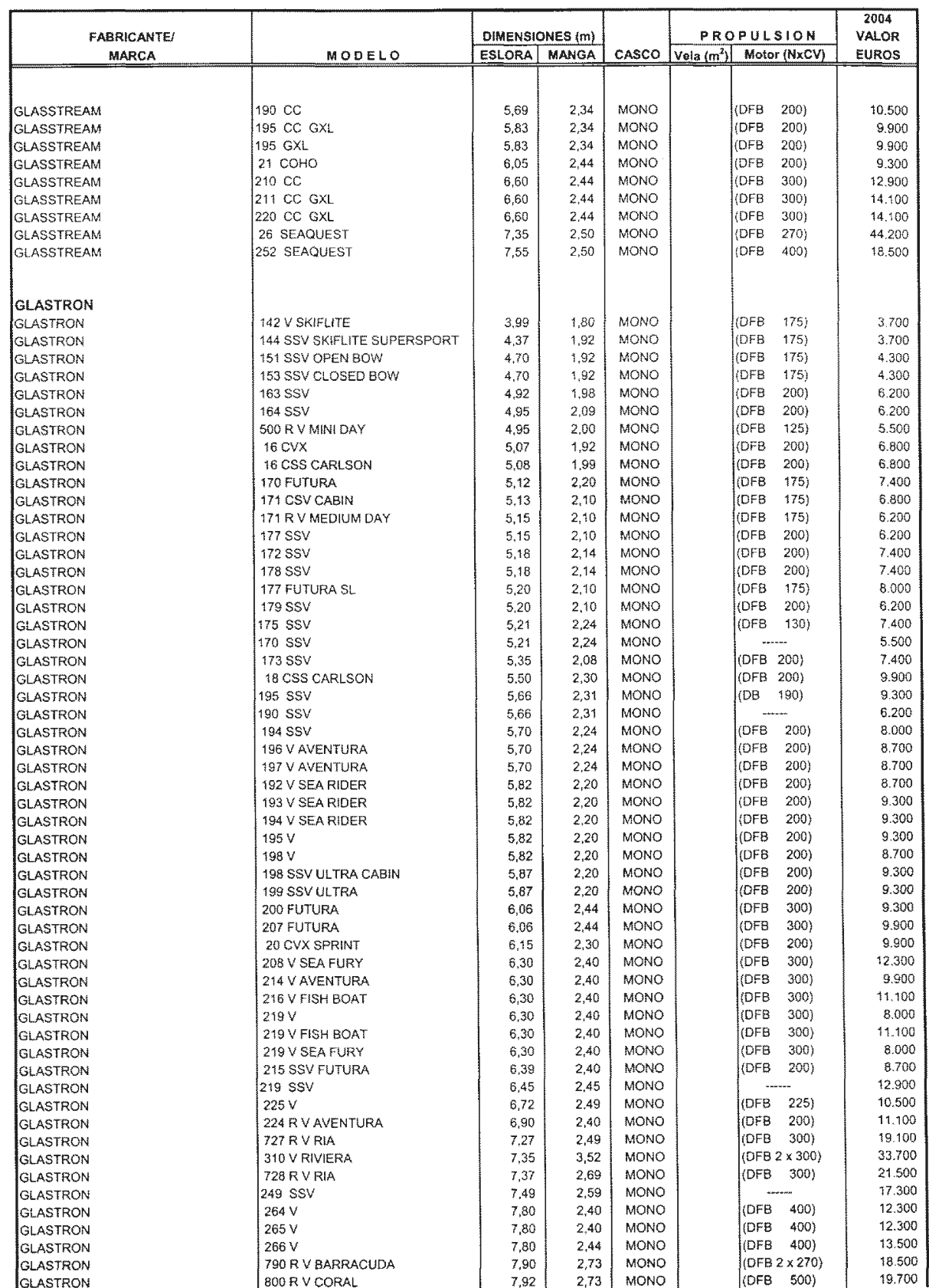
ANEXO II
Precios medios de EMBARCACIONES A MOTOR usadas durante el primer año posterior a su matriculación. Los precios de las embarcaciones se entienden sin tener en cuenta el valor del motor o equipo de motopropulsión

Imagen: /datos/imagenes/disp/2003/305/23458_8193698_image1.png

Imagen: /datos/imagenes/disp/2003/305/23458_8193698_image2.png

Imagen: /datos/imagenes/disp/2003/305/23458_8193698_image3.png

Imagen: /datos/imagenes/disp/2003/305/23458_8193698_image4.png

Imagen: /datos/imagenes/disp/2003/305/23458_8193698_image5.png

Imagen: /datos/imagenes/disp/2003/305/23458_8193698_image6.png

Imagen: /datos/imagenes/disp/2003/305/23458_8193698_image7.png

Imagen: /datos/imagenes/disp/2003/305/23458_8193698_image8.png

Imagen: /datos/imagenes/disp/2003/305/23458_8193698_image9.png

Imagen: /datos/imagenes/disp/2003/305/23458_8193698_image10.png

Imagen: /datos/imagenes/disp/2003/305/23458_8193698_image11.png

Imagen: /datos/imagenes/disp/2003/305/23458_8193698_image12.png

Imagen: /datos/imagenes/disp/2003/305/23458_8193698_image13.png

Imagen: /datos/imagenes/disp/2003/305/23458_8193698_image14.png

Imagen: /datos/imagenes/disp/2003/305/23458_8193698_image15.png

Imagen: /datos/imagenes/disp/2003/305/23458_8193698_image16.png

Imagen: /datos/imagenes/disp/2003/305/23458_8193698_image17.png

Imagen: /datos/imagenes/disp/2003/305/23458_8193698_image18.png

Imagen: /datos/imagenes/disp/2003/305/23458_8193698_image19.png

Imagen: /datos/imagenes/disp/2003/305/23458_8193698_image20.png

Imagen: /datos/imagenes/disp/2003/305/23458_8193698_image21.png

Imagen: /datos/imagenes/disp/2003/305/23458_8193698_image22.png

Imagen: /datos/imagenes/disp/2003/305/23458_8193698_image23.png

Imagen: /datos/imagenes/disp/2003/305/23458_8193698_image24.png

Imagen: /datos/imagenes/disp/2003/305/23458_8193698_image25.png

Imagen: /datos/imagenes/disp/2003/305/23458_8193698_image26.png

Imagen: /datos/imagenes/disp/2003/305/23458_8193698_image27.png

Imagen: /datos/imagenes/disp/2003/305/23458_8193698_image28.png

Imagen: /datos/imagenes/disp/2003/305/23458_8193698_image29.png

Imagen: /datos/imagenes/disp/2003/305/23458_8193698_image30.png

Imagen: /datos/imagenes/disp/2003/305/23458_8193698_image31.png

Imagen: /datos/imagenes/disp/2003/305/23458_8193698_image32.png

Imagen: /datos/imagenes/disp/2003/305/23458_8193698_image33.png

Imagen: /datos/imagenes/disp/2003/305/23458_8193698_image34.png

Imagen: /datos/imagenes/disp/2003/305/23458_8193698_image35.png

Imagen: /datos/imagenes/disp/2003/305/23458_8193698_image36.png

Imagen: /datos/imagenes/disp/2003/305/23458_8193698_image37.png

Imagen: /datos/imagenes/disp/2003/305/23458_8193698_image38.png

Imagen: /datos/imagenes/disp/2003/305/23458_8193698_image39.png

Imagen: /datos/imagenes/disp/2003/305/23458_8193698_image40.png

Imagen: /datos/imagenes/disp/2003/305/23458_8193698_image41.png

Imagen: /datos/imagenes/disp/2003/305/23458_8193698_image42.png

Imagen: /datos/imagenes/disp/2003/305/23458_8193698_image43.png

Imagen: /datos/imagenes/disp/2003/305/23458_8193698_image44.png

Imagen: /datos/imagenes/disp/2003/305/23458_8193698_image45.png

Imagen: /datos/imagenes/disp/2003/305/23458_8193698_image46.png

Imagen: /datos/imagenes/disp/2003/305/23458_8193698_image47.png

Imagen: /datos/imagenes/disp/2003/305/23458_8193698_image48.png

Imagen: /datos/imagenes/disp/2003/305/23458_8193698_image49.png

Imagen: /datos/imagenes/disp/2003/305/23458_8193698_image50.png

Imagen: /datos/imagenes/disp/2003/305/23458_8193698_image51.png

Imagen: /datos/imagenes/disp/2003/305/23458_8193698_image52.png

Imagen: /datos/imagenes/disp/2003/305/23458_8193698_image53.png

Imagen: /datos/imagenes/disp/2003/305/23458_8193698_image54.png

Imagen: /datos/imagenes/disp/2003/305/23458_8193698_image55.png

Imagen: /datos/imagenes/disp/2003/305/23458_8193698_image56.png

Imagen: /datos/imagenes/disp/2003/305/23458_8193698_image57.png

Imagen: /datos/imagenes/disp/2003/305/23458_8193698_image58.png

Imagen: /datos/imagenes/disp/2003/305/23458_8193698_image59.png

Imagen: /datos/imagenes/disp/2003/305/23458_8193698_image60.png

Imagen: /datos/imagenes/disp/2003/305/23458_8193698_image61.png

Imagen: /datos/imagenes/disp/2003/305/23458_8193698_image62.png

ANEXO III
Motores marinos

Valoración base del motor marino con su posible transmisión (fuera borda, intra borda, fuera-intra borda). Por C.V. de potencia mecánica real, según combustible:

 

Gasolina

(euros/C.V. real)

Diesel

(euros/C.V. real)

Hasta 50 C.V. 42,07 72,12
Por cada C.V. más. 27,05 42,07

En las embarcaciones se procederá a valorar por separado el buque sin motor y la motorización.

El valor consignado en la relación es el correspondiente al del barco sin motorización y servirá de base para la actualización según los porcentajes de valoración en función de la antigüedad en cada caso, según sean embarcaciones a vela o a motor.

El valor base de la motorización, complementaria en el caso de embarcaciones a vela y fundamental en las embarcaciones a motor, se obtendrá, según la valoración base del motor marino, actualizándolo según los porcentajes de valoración en función de la antigüedad del equipo propulsor en cada caso.

El valor actualizado total se obtiene por la suma de los valores actualizados de embarcaciones sin motor y motores marinos obtenidos anteriormente.

Porcentajes de valoración determinados en función de los años de utilización a aplicar a los precios medios fijados por el Ministerio de Economía y Hacienda para embarcaciones y motores marinos:

Años de uso

Embarcaciones (sin motor)

Motores marinos con su transmisión

A vela A motor
Hasta 1 año. 100 100 100
Más de 1 año, hasta 2. 95 85 85
Más de 2 años, hasta 3. 89 72 72
Más de 3 años, hasta 4. 78 61 61
Más de 4 años, hasta 5. 70 52 52
Más de 5 años, hasta 6. 60 44 44
Más de 6 años, hasta 7. 55 37 37
Más de 7 años, hasta 8. 40 32 32
Más de 8 años, hasta 9. 38 27 27
Más de 9 años, hasta 10. 35 23 23
Más de 10 años, hasta 11. 30 19 19
Más de 11 años, hasta 12. 25 16 16
Más de 12 años, hasta 13. 20 14 14
Más de 13 años, hasta 14. 15 12 12
Más de 14 años. 10 10 10
ANEXO IV

Porcentajes determinados en función de los años de utilización a aplicar a los precios fijados por el Ministerio de Economía y Hacienda, para vehículos de turismo, todo terreno y motocicletas ya matriculados:

Años de uso Porcentajes
Hasta 1 año. 100
Más de 1 año, hasta 2. 84
Más de 2 años, hasta 3. 67
Más de 3 años, hasta 4. 56
Más de 4 años, hasta 5. 47
Más de 5 años, hasta 6. 39
Más de 6 años, hasta 7. 34
Más de 7 años, hasta 8. 28
Más de 8 años, hasta 9. 24
Más de 9 años, hasta 10. 19
Más de 10 años, hasta 11. 17
Más de 11 años, hasta 12. 13
Más de 12 años. 10

El importe que resulte de la aplicación de los porcentajes anteriores, se reducirá al 70 por 100 cuando el vehículo transmitido hubiese estado dedicado exclusivamente durante más de seis meses desde la primera matriculación definitiva, a las actividades de enseñanza de conductores mediante contraprestación o de alquiler de vehículos, sin conductor, o bien tuviera la condición, según la legislación vigente, de taxi, autotaxi o autoturismo.

ANÁLISIS

  • Rango: Orden
  • Fecha de disposición: 15/12/2003
  • Fecha de publicación: 22/12/2003
  • Fecha de entrada en vigor: 01/01/2004
Referencias posteriores

Criterio de ordenación:

  • SE SUSTITUYE los anexos I a IV, por Orden EHA/4286/2004, de 20 de diciembre (Ref. BOE-A-2004-21904).
  • CORRECCIÓN de errores en BOE núm. 16, de 19 de enero de 2004 (Ref. BOE-A-2004-1014).
Referencias anteriores
Materias
  • Ciclomotores
  • Embarcaciones deportivas y de recreo
  • Impuesto Especial sobre Determinados Medios de Transporte
  • Impuesto sobre Sucesiones y Donaciones
  • Impuesto sobre Transmisiones Patrimoniales y Actos Jurídicos Documentados
  • Motocicletas
  • Precios
  • Vehículos de motor

subir

Agència Estatal Butlletí Oficial de l'Estat

Avda. de Manoteras, 54 - 28050 Madrid