Contingut no disponible en català

Us trobeu en

Documento BOE-A-2025-24414

Resolución de 25 de noviembre de 2025, de la Universidad de Granada, por la que se convoca proceso selectivo para ingreso, por el sistema general de acceso libre, en la Escala Básica de Apoyo a la Docencia y a la Investigación.

Publicado en:
«BOE» núm. 289, de 2 de diciembre de 2025, páginas 157419 a 157432 (14 págs.)
Sección:
II. Autoridades y personal - B. Oposiciones y concursos
Departamento:
Universidades
Referencia:
BOE-A-2025-24414

TEXTO ORIGINAL

En cumplimiento de lo dispuesto en los Estatutos de esta Universidad, aprobados por Decreto 231/2011, de 12 de julio, del Consejo de Gobierno de la Junta de Andalucía y publicados en el «Boletín Oficial de la Junta de Andalucía» número 147, de 28 de julio de 2011, en la Resolución de 12 de diciembre de 2023, de la Universidad de Granada, por la que se publica la oferta de empleo público del personal técnico de gestión y de administración y servicios para el año 2023, en la Orden de 22 de julio de 2024, del Consejero de Universidad, Investigación e Innovación, por la que se autoriza a la Universidad de Granada, para la convocatoria de plazas de Personal Técnico de Gestión y Administración y Servicios, en ejecución de la Oferta de Empleo Público de 2023, y con el fin de atender las necesidades de personal técnico, de gestión y de administración y servicios,

El Rector, en uso de las competencias atribuidas en el artículo 50 de la Ley Orgánica 2/2023, de 22 de marzo, del Sistema Universitario, en relación con el artículo 3.2.j) de la misma norma, así como en los artículos 45 y 162 de los Estatutos de esta Universidad, ha resuelto convocar proceso selectivo de acceso libre para el ingreso en la Escala Básica de Apoyo a la Docencia y a la Investigación de esta Universidad, de acuerdo con las siguientes

Bases

1. Normas generales

1.1 Se convoca proceso selectivo de acceso libre para cubrir una plaza de personal funcionario de la Escala Básica de Apoyo a la Docencia y a la Investigación de la Universidad de Granada, Grupo C, Subgrupo C1, (Laboratorio Singular de Nanoelectrónica del CITIC-UGR).

1.2 Al presente proceso selectivo le serán aplicables el texto refundido de la Ley del Estatuto Básico del Empleado Público aprobado por el Real Decreto Legislativo 5/2015, de 30 de octubre; la Ley 5/2023, de 7 de junio, de la Función Pública de Andalucía; la Ley Orgánica 3/2007, de 22 de marzo, para la igualdad efectiva de mujeres y hombres; la Ley 12/2007, de 26 de noviembre, para la promoción de la igualdad de género en Andalucía; la Ley 39/2015, de 1 de octubre, del Procedimiento Administrativo Común de las Administraciones Públicas; la Ley 40/2015, de 1 de octubre, de Régimen Jurídico del Sector Público; los Estatutos de la Universidad de Granada, y demás normativa aplicable, así como lo dispuesto en las presentes bases.

1.3 El procedimiento de selección será el de concurso-oposición.

1.4 La fase de oposición se desarrollará con los ejercicios y puntuaciones establecidas en el anexo II de esta convocatoria, y el programa de materias en que se basarán será el contenido en el anexo I. La fecha y lugar para la realización del primer ejercicio de la fase de oposición, que no podrá iniciarse antes del día 1 de marzo de 2026, se fijará en la forma establecida en la base 4.1 de esta convocatoria.

1.5 La fase de concurso se desarrollará conforme a lo dispuesto en la base 6 de la presente convocatoria y con la aplicación del baremo contenido en el anexo II.

2. Requisitos de las personas aspirantes

2.1 Las personas aspirantes, para ser admitidas en el proceso selectivo, deberán reunir los requisitos generales de acceso a la función pública y, en particular:

a) Nacionalidad:

1. Tener la nacionalidad española.

2. También podrán participar en igualdad de condiciones que los españoles:

a. Los nacionales de los Estados Miembros de la Unión Europea.

b. El cónyuge de los españoles y de los nacionales de otros Estados miembros de la Unión Europea, cualquiera que sea su nacionalidad siempre que no estén separados de derecho. Asimismo, con las mismas condiciones, podrán participar los descendientes menores de veintiún años o mayores de dicha edad que sean dependientes.

c. Las personas incluidas en el ámbito de aplicación de los Tratados Internacionales celebrados por la Unión Europea y ratificados por España en los que sea de aplicación la libre circulación de trabajadores.

Las personas aspirantes no residentes en España incluidas en el apartado b), así como los extranjeros incluidos en el apartado c), deberán acompañar a su solicitud, documento que acredite las condiciones que se alegan.

b) Capacidad: Poseer la capacidad funcional para el desempeño de las tareas.

c) Edad: Tener cumplidos dieciséis años y no exceder, en su caso, de la edad máxima de jubilación forzosa.

d) Habilitación: No haber sido separado o separada, mediante expediente disciplinario, del servicio de cualquiera de las Administraciones Públicas o de los Organismos Constitucionales o Estatutarios de las Comunidades Autónomas, ni hallarse en inhabilitación absoluta o especial para empleos o cargos públicos por resolución judicial, para el acceso a Cuerpos o Escalas de personal funcionario.

En el caso de ser nacional de otro Estado, no hallarse en situación de inhabilitación o equivalente, ni haber sido sometido o sometida a sanción disciplinaria o equivalente que impida en su Estado, en los mismos términos, el acceso al empleo público.

e) Estar en posesión del título de Bachiller o Técnico, o equivalente, de conformidad con la normativa de aplicación, o cumplir los requisitos para su obtención en la fecha de finalización del plazo de presentación de la solicitud de admisión.

Las personas aspirantes con titulaciones obtenidas en el extranjero deberán acreditar que están en posesión de la correspondiente credencial de homologación.

f) No poseer la condición de personal funcionario de carrera de la Escala Básica de Apoyo a la Docencia y a la Investigación de la Universidad de Granada.

2.2 Estos requisitos deberán cumplirse a la fecha de finalización del plazo de presentación de solicitudes y deberán mantenerse hasta el momento de la toma de posesión como personal funcionario de la Universidad de Granada.

2.3 Para la admisión al proceso selectivo se deberá aportar, junto a la solicitud, la justificación del abono de la correspondiente tasa por derechos de admisión o la documentación que justifique el encontrarse exento o exenta del pago de la misma, conforme a lo establecido en las bases 3.4 o 3.5 de esta convocatoria, según el caso, y bastará con declarar en la solicitud que se reúnen todos y cada uno de los requisitos exigidos, los cuales se acreditarán en el plazo y con la documentación relacionada en la base 8.1.

3. Solicitudes, tasa y plazo de presentación

3.1 Quienes deseen participar en este proceso selectivo deberán cumplimentar electrónicamente su solicitud. Para ello, deberán inscribirse mediante el procedimiento «Procesos selectivos de PAS: Solicitud de admisión» (https://sede.ugr.es/portal/procedimientos/Procesos-selectivos-de-PTGAS-Solicitud-de-admision/), disponible en la sede electrónica de la Universidad de Granada (https://sede.ugr.es). En la ficha del citado procedimiento se indican las instrucciones a seguir para cumplimentar la solicitud de admisión a procesos selectivos.

3.2 La presentación de solicitudes se hará en el plazo de los quince días hábiles siguientes a la publicación de esta convocatoria en el «Boletín Oficial del Estado».

3.3 Las personas aspirantes con discapacidad con grado reconocido igual o superior al 33 por 100 que deseen participar en el proceso selectivo, deberán indicarlo en el recuadro correspondiente de la solicitud expresando, en su caso, las posibles adaptaciones de tiempo y medios para la realización de los ejercicios en el que esta adaptación sea necesaria a fin de asegurar su participación en el proceso en condiciones de igualdad, utilizando para ello el apartado correspondiente de la solicitud. A tal fin, deberán aportar dictamen técnico facultativo acerca de la procedencia de la adaptación solicitada, emitido por el órgano técnico de valoración que determinó el grado de discapacidad, en el que conste expresamente la adaptación que corresponde al interesado en cada uno de los ejercicios según sus circunstancias personales. El Tribunal estudiará la propuesta del informe técnico y decidirá sobre su concesión, conforme a los criterios establecidos en la Orden PJC/804/2025, de 23 de julio, por la que se establecen criterios generales para la adaptación de medios y tiempos y la realización de otros ajustes razonables en los procesos selectivos para el acceso al empleo público de personas con discapacidad.

Igualmente, cualquier otra persona con grado reconocido de discapacidad igual o superior al 33 por 100 de cualquier tipo, podrá solicitar las adaptaciones necesarias en la forma establecida en el párrafo anterior.

3.4 Los derechos de participación serán de 26,00 euros, y se ingresarán en la cuenta ES71 2100 4224 3913 0072 1670 de cualquier oficina de CaixaBank, abierta a nombre de «Pruebas Selectivas de Acceso a la Universidad de Granada», bien directamente o mediante transferencia bancaria a dicha cuenta. La solicitud deberá ir acompañada del resguardo acreditativo de la transferencia. La falta de justificación del abono de los derechos de participación o de encontrarse exento del mismo determinará la exclusión de la persona aspirante.

En ningún caso, la mera presentación de la acreditación del pago de los derechos de examen supondrá la sustitución del trámite de presentación, en tiempo y forma, de la solicitud de admisión de acuerdo con lo dispuesto en la convocatoria.

3.5 Exenciones y bonificaciones de los derechos de participación. Estarán exentos del pago de los derechos de participación:

a) De conformidad con lo establecido en el artículo 17 de la Ley 50/1998, de 30 de diciembre, de Medidas Fiscales, Administrativas y de Orden Social, por el que se modifica el apartado cinco del artículo 18 de la Ley 66/1997, de 30 de diciembre, de Medidas Fiscales, Administrativas y de Orden Social:

1. Las personas con discapacidad igual o superior al 33 por 100.

2. Las personas que figuren como demandantes de empleo durante el plazo, al menos, de un mes anterior a la fecha de publicación en el «Boletín Oficial del Estado» de la presente convocatoria. Serán requisitos para el disfrute de la exención que, en el plazo de que se trate, no hubieran rechazado oferta de empleo adecuado ni se hubiesen negado a participar, salvo causa justificada, en acciones de promoción, formación o reconversión profesional, lo que se justificará con un informe negativo de rechazos, y que, asimismo, carezcan de rentas superiores en cómputo mensual al Salario Mínimo Interprofesional en vigor a la fecha de publicación de esta convocatoria.

El informe negativo de rechazos se solicitará en las oficinas de los servicios públicos de empleo. En cuanto a la acreditación de las rentas, se realizará mediante certificado de la declaración presentada del Impuesto sobre la Renta de las Personas Físicas, correspondiente al ejercicio 2024 y, en su caso, del certificado del nivel de renta, que podrá solicitar a través de la Sede Electrónica de la Agencia Tributaria en el enlace:

https://sede.agenciatributaria.gob.es/Sede/certificaciones.html

Ambos documentos, informe negativo de rechazos y acreditación de las rentas, deberán presentarse anexos a la solicitud.

b) Las víctimas del terrorismo, entendiendo por tales las personas que hayan sufrido daños físicos o psíquicos como consecuencia de la actividad terrorista, su cónyuge o persona que haya convivido con análoga relación de afectividad, el cónyuge del fallecido y los hijos de los heridos y fallecidos, de acuerdo con la disposición final quinta de la Ley Orgánica 9/2015, de 28 de julio, que añade un nuevo párrafo al apartado cinco del artículo 18 de la Ley 66/1997, de 30 de diciembre.

c) Las familias numerosas en los términos del artículo 12.1.c) de la Ley 40/2003, de 18 de noviembre, de protección de la familia numerosa. Tendrán derecho a una exención del 100 por 100 de las tasas y precios públicos los miembros de familias de la categoría especial y a una bonificación del 50 por 100 los que fueran de la categoría general.

3.6 De conformidad con lo establecido en el artículo 12 de la Ley 8/1989, de 13 de abril, de Tasas y Precios Públicos, procederá, previa solicitud de la persona interesada, la devolución de las tasas que se hubieran exigido, cuando no se realice su hecho imponible por causas no imputables al sujeto pasivo. Por tanto, no procederá devolución alguna de los derechos de examen en los supuestos de exclusión del proceso selectivo por causa imputable a la persona aspirante, por lo que en el supuesto de exclusión por no cumplir los requisitos o no aportar los documentos exigidos en la convocatoria, no dará lugar a la devolución de los derechos de examen. La devolución se efectuará una vez finalizado el proceso selectivo.

3.7 Verificación y acreditación de documentación. La Universidad de Granada accederá a la Plataforma de Intermediación de Datos de las Administraciones Públicas, con garantía de confidencialidad y con la única finalidad de verificación y consulta de los datos de identidad, titulación y en su caso para la acreditación de: condición de discapacidad, beneficiario de víctima del terrorismo y familia numerosa.

En el caso de manifestar oposición motivada a la consulta de alguno de los datos indicados en el párrafo anterior se deberá aportar la documentación acreditativa. Igualmente, en caso de que no sea posible obtener o verificar los datos a través de la Plataforma de Intermediación de Datos, la Universidad de Granada podrá, en cualquier momento, solicitar que se aporte la documentación requerida.

La persona aspirante que no posea DNI, deberá aportar junto con su solicitud copia de su documento de identificación o pasaporte.

3.8 Las personas aspirantes quedan vinculadas a los datos que hayan hecho constar en sus solicitudes, pudiendo solicitar su modificación mediante escrito motivado, dentro del plazo establecido para la presentación de solicitudes. Transcurrido dicho plazo, no se admitirá ninguna petición de esta naturaleza.

3.9 Los errores de hecho que pudieran advertirse podrán subsanarse en cualquier momento, de oficio o a petición de la persona interesada.

3.10 El tratamiento de la información se ajustará a lo establecido en la Ley Orgánica 3/2018, de 5 de diciembre, de Protección de Datos Personales y garantía de los derechos digitales, y en el Reglamento (UE) 2016/679 del Parlamento Europeo y del Consejo, de 27 de abril de 2016, relativo a la protección de las personas físicas en lo que respecta al tratamiento de datos personales y a la libre circulación de estos datos, así como la Ley 39/2015, de 1 de octubre, del Procedimiento Administrativo Común de las Administraciones Públicas y la Ley 40/2015, de 1 de octubre, de Régimen Jurídico del Sector Público, y demás disposiciones que resulten de aplicación.

Los datos personales recogidos en la solicitud de admisión serán tratados con la finalidad de la gestión del proceso selectivo y las comunicaciones necesarias para ello y del análisis y estudio de los datos relativos a estos procesos selectivos.

El nombre, apellidos y número del documento de identidad se publicarán respetando la anonimización exigida en la Ley Orgánica 3/2018, de 5 de diciembre, Protección de Datos Personales y garantía de los derechos digitales. La Universidad de Granada tomará medidas para que esa información no sea indexada por los buscadores de internet.

La Universidad de Granada es responsable del tratamiento de esos datos y publica su registro de actividades de tratamiento en https://secretariageneral.ugr.es/unidades/oficina-proteccion-datos/registro-de-actividades-de-tratamiento. Los derechos de protección de datos de las personas solicitantes se podrán ejercer dirigiéndose al responsable del tratamiento a través de la sede electrónica de la Universidad de Granada. Si presenta una solicitud para el ejercicio de estos derechos y considera que no ha sido atendida adecuadamente por nuestra institución, puede dirigirse a la Delegada de Protección de Datos de la Universidad dpd@ugr.es o presentar una reclamación ante la Autoridad de Control competente.

4. Admisión de aspirantes

4.1 Expirado el plazo de presentación de solicitudes, el Rector de la Universidad de Granada dictará resolución aprobando las relaciones provisionales de personas aspirantes admitidas y excluidas, con expresión, en este último caso, de las causas de exclusión. La resolución deberá publicarse en el «Boletín Oficial de la Junta de Andalucía» e indicará el lugar en que dichas relaciones se hacen públicas. En esta resolución se indicarán el lugar, fecha y hora de comienzo del primer ejercicio de la fase de oposición.

4.2 Las personas que figuren excluidas o hayan sido omitidas dispondrán de un plazo de diez días hábiles, contados a partir del día siguiente al de la publicación de la resolución en el «Boletín Oficial de la Junta de Andalucía», para poder subsanar el defecto que haya motivado la exclusión o reclamar la omisión. Las reclamaciones deberán presentarse por escrito, dirigidas al Rector, a través del Registro Electrónico (Solicitud genérica para la UGR) de la sede electrónica de la Universidad de Granada:

https://sede.ugr.es/procedimientos/registro_electronico.html, seleccionando como destino el Servicio de Personal Técnico, de Gestión y de Administración y Servicios.

En todo caso, al objeto de evitar errores y, en el supuesto de producirse, posibilitar su subsanación en tiempo y forma, las personas aspirantes comprobarán fehacientemente no sólo que no figuran en la relación de exclusiones, sino, además, que sus datos identificativos constan en la pertinente relación de personas admitidas. Las personas que dentro del plazo señalado no subsanen la exclusión o no reclamen la omisión quedarán definitivamente excluidas de la participación en el proceso selectivo.

4.3 Concluido el plazo para la subsanación de la solicitud de admisión, por resolución del Rector de la Universidad de Granada se declararán aprobadas las relaciones definitivas de personas admitidas y excluidas y en ellas se decidirá acerca de las alegaciones planteadas por las personas interesadas sobre su exclusión u omisión en las relaciones provisionales, y su publicación les servirá de notificación. Esta resolución se publicará en el sitio web del Servicio de Personal Técnico, de Gestión y de Administración y Servicios de la Universidad de Granada, (http://serviciopas.ugr.es).

4.4 La resolución por la que se declara aprobadas las relaciones definitivas de personas admitidas y excluidas agotará la vía administrativa. Contra la citada resolución podrá interponerse, con carácter potestativo, recurso de reposición ante el Rector de la Universidad de Granada en el plazo de un mes contado desde el día siguiente al de su publicación, o bien recurso contencioso-administrativo, en el plazo de dos meses contados desde el día siguiente al de su publicación, ante el Juzgado de lo Contencioso-administrativo de Granada, de conformidad con lo dispuesto en la Ley 39/2015, de 1 de octubre, del Procedimiento Administrativo Común de las Administraciones Públicas, y en la Ley 29/1998, de 13 de junio, reguladora de la Jurisdicción Contencioso-administrativa. En el caso de interponer recurso de reposición, no se podrá interponer recurso contencioso-administrativo hasta que aquel sea resuelto expresamente o se haya producido su desestimación presunta.

5. Tribunal de valoración

5.1 El Tribunal de valoración de este proceso, conforme a lo dispuesto en el artículo 162.3 de los Estatutos de la Universidad de Granada, estará compuesto por cinco miembros y sus respectivos suplentes, y atenderá a los principios de imparcialidad, profesionalidad y especialidad, respetando, asimismo, el principio de presencia equilibrada de mujeres y hombres. Será nombrado por el Rector, y se publicará junto con las relaciones de personas aspirantes admitidas y excluidas a la que se refiere la base 4.1 de la presente convocatoria.

5.2 Los miembros del Tribunal deberán abstenerse de intervenir, notificándolo al Rector de la Universidad de Granada, cuando concurran en ellos alguna de las causas previstas en el artículo 23 de la Ley 40/2015, de 1 de octubre, del Régimen Jurídico del Sector Público, o hubiesen realizado tareas de preparación de aspirantes a pruebas selectivas en los cinco años anteriores a la publicación de la convocatoria.

El presidente o presidenta podrá solicitar de los miembros del Tribunal declaración expresa de no hallarse incursos en las circunstancias previstas en el párrafo anterior. Asimismo, las personas aspirantes podrán recusar a los miembros del Tribunal, a tenor del artículo 24 de la Ley 40/2015, de 1 de octubre, de Régimen Jurídico del Sector Público.

5.3 Con anterioridad a la iniciación del proceso selectivo, si se hubiese producido y prosperado un incidente de abstención o recusación, la autoridad convocante publicará en el «Boletín Oficial de la Junta de Andalucía», resolución por la que se nombra a las nuevas personas que integran el Tribunal que habrán de sustituir a las que hayan perdido su condición por alguna de las causas previstas en la base anterior. No obstante, si dicha abstención o recusación se plantease después de pasados quince días desde la publicación del Tribunal a la que se hace referencia en la base 5.1 de esta convocatoria, la composición de las nuevas personas que integren el Tribunal se realizará en el sitio web del Servicio de Personal Técnico, de Gestión y de Administración y Servicios de la Universidad de Granada (http://serviciopas.ugr.es).

5.4 Previa convocatoria del presidente o presidenta se constituirá el Tribunal con la asistencia de todos sus miembros. Las personas designadas como titulares que no concurran al citado acto cesarán y serán sustituidos por sus respectivos suplentes. Celebrarán su sesión de constitución con una antelación mínima de diez días antes de la celebración del primer ejercicio de la fase de oposición. En dicha sesión, el Tribunal acordará las decisiones que le correspondan en orden al correcto desarrollo del proceso selectivo.

5.5 A partir de su constitución, el Tribunal, para actuar válidamente a efectos de la celebración de sesiones, deliberaciones y toma de acuerdos, se requerirá la presencia, presencial o a distancia, del presidente/a y secretario/a o, en su caso, de quienes les sustituyan, y la de la mitad, al menos, de sus miembros.

5.6 Durante el desarrollo del proceso selectivo, el Tribunal resolverá todas las dudas que pudieran surgir en la aplicación de estas normas, así como lo que se deba hacer en los casos no previstos. El procedimiento de actuación del Tribunal se ajustará en todo momento a lo dispuesto en la Ley 40/2015, de 1 de octubre, de Régimen Jurídico del Sector Público.

5.7 El Tribunal actuará con plena autonomía, bajo los principios de imparcialidad, discrecionalidad técnica y confidencialidad, y sus miembros serán responsables de la transparencia y objetividad del proceso selectivo y del cumplimiento de las bases de la convocatoria. La valoración de méritos se efectuará conforme a la apreciación técnica de dicho órgano y de acuerdo con los criterios establecidos en las bases de la convocatoria.

5.8 El Tribunal podrá disponer la incorporación a sus trabajos de especialistas para el asesoramiento en la preparación o desarrollo de las pruebas correspondientes de los ejercicios que estimen pertinentes, limitándose, dichas personas, a prestar su colaboración en sus especialidades técnicas. La designación de tales asesores o asesoras deberá comunicarse al Rector de la Universidad a fin de que sea formulada la oportuna resolución de nombramiento.

5.9 Igualmente, cuando por el número de personas que soliciten participar en el proceso selectivo se considere necesario, y para garantizar el correcto y normal desarrollo de los ejercicios, el Tribunal podrá designar personal colaborador.

5.10 El Tribunal adoptará las medidas precisas en aquellos casos en que resulten necesario, de forma que las personas con discapacidad gocen de similares condiciones para la realización de los ejercicios que el resto de personas que participan en el proceso. En este sentido se establecerá, para las personas con discapacidad que lo soliciten en la forma prevista en la base 3.3, las adaptaciones posibles en tiempo y medios para su realización.

5.11 A efectos de comunicaciones y demás incidencias, el Tribunal tendrá su sede en el Servicio de Personal Técnico, de Gestión y de Administración y Servicios, C/Santa Lucía n.º 8, teléfonos 958 241 000, extensiones 20572 y 20574. El Tribunal dispondrá que, en dicha sede, al menos una persona, que podrá pertenecer o no al Tribunal, atienda cuantas cuestiones sean planteadas en relación con este proceso selectivo.

5.12 El Tribunal que actúe en este proceso selectivo percibirá las indemnizaciones por razón de servicio establecidas en las Bases de Ejecución del Presupuesto de la Universidad de Granada vigentes.

5.13 El Tribunal no podrá declarar que han superado el proceso selectivo un número superior de aspirantes al de plazas convocadas. Cualquier propuesta de personas que han superado el proceso que contravenga lo anterior será nula de pleno derecho. No obstante, cuando se produzcan renuncias de los aspirantes seleccionados, antes del nombramiento o toma de posesión, o cuando alguna de las personas seleccionadas carezca de los requisitos señalados en la base 2, el órgano convocante podrá requerir del órgano de selección relación complementaria de los aspirantes que sigan a los propuestos, para su posible nombramiento como funcionarios de carrera, todo ello de conformidad con lo dispuesto en el artículo 61.8 del texto refundido de la Ley del Estatuto Básico del Empleado Público.

6. Desarrollo del proceso selectivo

6.1 En cualquier momento, el Tribunal podrá requerir a las personas aspirantes para que acrediten su identidad. En el caso de no ostentar la nacionalidad española, para la acreditación de la identidad, se tendrá que utilizar el original del documento aportado según la base 3.1.

6.2 El orden de actuación de las personas aspirantes en el ejercicio o los ejercicios en que se requiera una actuación individualizada, será por orden alfabético, a partir del aspirante cuyo primer apellido comience por la letra «H», según Resolución de 31 de enero de 2025, de la Dirección General de Recursos Humanos y Función Pública, por la que se hace público el resultado del sorteo que determina el orden de actuación de los aspirantes en las pruebas selectivas que se convoquen a partir de la publicación en el BOJA de la presente resolución y que se celebren durante el año 2025 (BOJA núm. 25, de 6 de febrero de 2025). En el supuesto de que no exista ningún aspirante cuyo primer apellido comience por la letra «H», el orden de actuación se iniciará por aquellos cuyo primer apellido comience por la letra «I», y así sucesivamente.

6.3 Las personas aspirantes serán convocadas para la realización de los ejercicios de la fase de oposición en llamamiento único, aunque los mismos hayan de dividirse en varias sesiones, siendo excluidas de la oposición aquellas personas que no comparezcan, salvo en casos extraordinarios, debidamente justificados y libremente apreciados por el Tribunal.

6.4 Una vez comenzado el proceso selectivo, los sucesivos anuncios de la celebración de los restantes ejercicios, en su caso, deberán hacerse públicos por el Tribunal en el sitio web del Servicio de Personal Técnico, de Gestión y de Administración y Servicios de la Universidad de Granada (http://serviciopas.ugr.es) y por cualquier otro medio si se juzga conveniente, con veinticuatro horas, al menos, de antelación del comienzo de los mismos.

6.5 En cualquier momento del proceso selectivo, si el Tribunal tuviese conocimiento de que alguna de las personas aspirantes no posee la totalidad de los requisitos exigidos en la presente convocatoria, previa audiencia de la misma, deberá proponer su exclusión al Rector de la Universidad de Granada, comunicándole asimismo las inexactitudes o falsedades formuladas en la solicitud de admisión al proceso selectivo, a los efectos procedentes.

Contra la exclusión, se podrá interponer recurso potestativo de reposición ante el Rector o bien recurso contencioso-administrativo ante el Juzgado de lo Contencioso-Administrativo.

6.6 Desde la total conclusión de un ejercicio o prueba (publicación de la relación definitiva de personas aspirantes que han superado el ejercicio o prueba) hasta el comienzo del siguiente deberá transcurrir un plazo mínimo de tres días hábiles.

6.7 Tras la publicación de la relación definitiva de aspirantes que han superado cada uno de los ejercicios de la fase de oposición en la forma prevista en el anexo II, el Tribunal hará pública en el sitio web del Servicio de Personal Técnico, de Gestión y de Administración y Servicios de la Universidad de Granada (http://serviciopas.ugr.es), la relación definitiva de aspirantes que han superado la fase de oposición. Las personas aspirantes que no se hallen incluidas en la relación definitiva de aspirantes que han superado la fase de oposición tendrán la consideración de no aptas a todos los efectos, siendo excluidas del proceso selectivo.

6.8 Finalizada la fase de oposición tendrá lugar la fase de concurso. Tan sólo participarán en esta fase aquellas personas aspirantes que hayan superado la fase de oposición.

Los méritos a valorar se referirán a la fecha de finalización del plazo de presentación de solicitudes de admisión al proceso selectivo.

Las personas aspirantes dispondrán de un plazo de diez días hábiles, contados a partir del día siguiente al de publicación de la relación de aspirantes que han superado la fase de oposición, para presentar mediante el procedimiento «Procesos selectivos de PTGAS: Entrega de méritos (Fase de concurso)», disponible en la sede electrónica de la Universidad de Granada (https://sede.ugr.es/procs/Procesos-selectivos-de-PTGAS-Entrega-de-meritos-Fase-de-concurso), la justificación documental de los méritos que quieran hacer valer en la fase de concurso o, en su defecto, solicitud expresa para que se computen los méritos que ya figuren en su expediente en el Servicio de Personal Técnico, de Gestión y de Administración y Servicios.

Los méritos no justificados, en el plazo establecido al efecto y mediante el procedimiento establecido en el párrafo anterior no podrán ser valorados en la fase de concurso.

En cualquier caso, los méritos que quieran hacerse valer y hayan sido reconocidos u obtenidos fuera de la Universidad de Granada se acreditarán mediante la documentación justificativa (en el caso de la prestación de servicios, con expresión de las funciones concretas que se han desarrollado), expedida por el órgano administrativo competente.

El Tribunal de valoración publicará en el sitio web oficial del Servicio de Personal Técnico, de Gestión y Administración y Servicios (http://serviciopas.ugr.es) la relación que contenga la valoración provisional de méritos de la fase de concurso, con indicación de la puntuación obtenida en cada mérito y la total. Las personas aspirantes dispondrán de un plazo de diez días hábiles, contados a partir del siguiente al de la publicación de dicha relación para efectuar reclamaciones. Finalizado dicho plazo, el Tribunal publicará la relación con la valoración definitiva de la fase de concurso.

6.9 La puntuación final del proceso selectivo vendrá determinada por la suma de la puntuación obtenida en la fase de oposición y la obtenida en la fase de concurso.

En caso de empate en la puntuación final, a efectos de determinar las personas aspirantes que han superado el proceso selectivo, prevalecerá la mayor puntuación individual en el global de la fase de oposición. Si persistiese el empate, se resolverá atendiendo a la mayor calificación individual obtenida en cada uno de los ejercicios según el siguiente orden de prioridad: primer ejercicio y segundo ejercicio. Si a pesar de esto se mantuviese el empate, este se dirimirá por orden alfabético comenzando por la letra indicada en la base 6.2.

7. Lista de personas seleccionadas

7.1 Concluidas las fases de oposición y concurso, el Tribunal hará pública la relación de aspirantes que han superado el proceso selectivo de acceso a las plazas convocadas por orden de puntuación alcanzada. En la citada relación se expresará la puntuación obtenida en la fase de oposición, desglosando esta última para cada uno de los ejercicios celebrados y en la fase de concurso. Dichas relaciones serán elevadas al Rector de la Universidad de Granada como propuesta del Tribunal de valoración a efectos de lo previsto en la base 8 de esta convocatoria. El número de personas que superen el proceso selectivo no podrá ser superior al de plazas convocadas siendo nula de pleno derecho cualquier actuación en sentido contrario.

7.2 Asimismo, al objeto de poder realizar nombramientos de personal funcionario interino, si así lo requieren las necesidades de la Universidad en sus centros y servicios de Granada, Ceuta y Melilla, se podrá crear la correspondiente lista para el nombramiento de personal funcionario interino.

8. Presentación de documentos y nombramiento de personal funcionario

8.1 En el plazo de diez días hábiles a contar desde la publicación en el sitio web del Servicio de Personal Técnico, de Gestión y de Administración y Servicios de la Universidad de Granada (http://serviciopas.ugr.es) de las relaciones de personas que han superado el proceso selectivo a que se refiere la base anterior, quienes figuren en las mismas, deberán presentar en dicho Servicio, los siguientes documentos:

a) Original del título, o documento acreditativo suficiente, exigido en la base 2.1.e y el de cualquier otro título o formación exigido específicamente en la convocatoria al objeto de realizar una copia auténtica.

b) Declaración jurada o promesa de no haber sido separado o separada, mediante expediente disciplinario, del servicio de cualquiera de las Administraciones Públicas o de los Organismos Constitucionales o Estatutarios de las Comunidades Autónomas, ni hallarse en inhabilitación absoluta o especial para empleos o cargos públicos por resolución judicial para el acceso a Cuerpos o Escalas de personal funcionario, según modelo que se facilitará en el Servicio de Personal Técnico, de Gestión y de Administración y Servicios de la Universidad de Granada.

8.2 Respecto al requisito de poseer la capacidad funcional para el desempeño de las tareas, el Servicio de Salud y Prevención de la Universidad de Granada emitirá certificado médico acreditativo de no tener enfermedad ni defecto físico que imposibiliten para el servicio. Para ello, las personas seleccionadas serán debidamente citadas.

8.3 Ante la imposibilidad, debidamente justificada, de presentar los documentos expresados en el apartado 8.1., podrá acreditarse que se reúnen las condiciones exigidas en la convocatoria mediante cualquier medio de prueba admisible en derecho.

8.4 Quienes, dentro del plazo fijado, y salvo los casos de fuerza mayor, no presentaran la documentación o, del examen de la misma se dedujera que carecen de alguno de los requisitos señalados en la base 2, no podrán ser nombrados personal funcionario de carrera y quedarán anuladas las actuaciones, sin perjuicio de la responsabilidad en que hubieran incurrido por falsedad en la solicitud inicial.

8.5 Por la autoridad convocante, vista la propuesta del Tribunal de valoración, se procederá al nombramiento de personal funcionario de carrera, mediante resolución que se publicará en el «Boletín Oficial de la Junta de Andalucía».

8.6 La toma de posesión de las personas seleccionadas se efectuará en el plazo máximo de un mes, contado desde el día siguiente a la fecha de publicación de su nombramiento en el «Boletín Oficial de la Junta de Andalucía».

9. Norma final

9.1 Las personas aspirantes, por el hecho de participar en el presente proceso selectivo, se someten a las bases de esta convocatoria y su desarrollo y a las decisiones que adopte el Tribunal, sin perjuicio de las reclamaciones pertinentes. El Tribunal se halla facultado para resolver las dudas que se presenten en todo lo no previsto en las bases, así como para la adopción de los acuerdos necesarios para el buen orden del proceso selectivo.

9.2 Contra la presente resolución, que pone fin a la vía administrativa en virtud de los artículos 84.1 de los Estatutos de esta Universidad y 38.4 de la Ley Orgánica 2/2023, de 22 de marzo, del Sistema Universitario, podrá interponerse potestativamente recurso de reposición en el plazo de un mes ante el Rector de esta Universidad, contados a partir del día siguiente al de la publicación de la presente resolución, de conformidad con los artículos 123 y 124 de la Ley 39/2015, de 1 de octubre, o interponer directamente recurso contencioso-administrativo ante el Juzgado de lo Contencioso-Administrativo de Granada, en el plazo de dos meses a partir del día siguiente a la fecha de notificación de este escrito, según disponen los artículos 8.3 y 46.1 de la Ley 29/98, de 13 de julio, reguladora de la Jurisdicción Contencioso-Administrativa. En el caso de interponer recurso de reposición, no se podrá interponer recurso contencioso-administrativo hasta que aquel sea resuelto expresamente o se haya producido su desestimación presunta.

9.3 Las personas que tengan la consideración de interesadas en el procedimiento podrán interponer recurso de alzada contra los actos del Tribunal de valoración ante el Rector de la Universidad, en los términos previstos en la Ley 39/2015, de 1 de octubre, del Procedimiento Administrativo Común de las Administraciones Públicas.

9.4 Asimismo, el Rector de la Universidad de Granada podrá, en su caso, proceder a la revisión de los Acuerdos del Tribunal, conforme a lo previsto en la Ley 39/2015, de 1 de octubre, del Procedimiento Administrativo Común de las Administraciones Públicas y el artículo 85 de los Estatutos de la Universidad de Granada.

Granada, 25 de noviembre de 2025.–El Rector, Pedro Mercado Pacheco.

ANEXO I
Programa

Bloque general

1. Constitución Española: Título Preliminar, Título I. De los derechos y deberes fundamentales, y Título IV. Del Gobierno y de la Administración.

2. Texto Refundido de la Ley del Estatuto Básico del Empleado Público, aprobado por Real Decreto Legislativo 5/2015, de 30 de octubre: Título I. Objeto y ámbito de aplicación y Título II. Personal al servicio de las Administraciones Públicas. Ley 5/2023, de 7 de junio, de la Función Pública de Andalucía.

3. Ley Orgánica 2/2023, de 22 de marzo, del Sistema Universitario. Título Preliminar, Título I. Funciones del sistema universitario y autonomía de las universidades, Título II. Creación y reconocimiento de las universidades y calidad del sistema universitario, Título III. Organización de enseñanzas, Título IV. Investigación y transferencia e intercambio del conocimiento e innovación y Título IX. Capítulo I. Régimen jurídico y estructura de las universidades públicas.

4. Estatutos de la Universidad de Granada, aprobados por Decreto 231/2011, de 12 de julio, del Consejo de Gobierno de la Junta de Andalucía.

5. Ley 31/1995, de 8 de noviembre, de Prevención de Riesgos Laborales.

6. Ley Orgánica 3/2007, de 22 de marzo, para la igualdad efectiva de mujeres y hombres. Título Preliminar. Objeto y ámbito de la Ley, Título I. El principio de igualdad y la tutela contra la discriminación, Título IV. El derecho al trabajo en igualdad de oportunidades. Ley 4/2023, de 28 de febrero, para la igualdad real y efectiva de las personas trans y para la garantía de los derechos de las personas LGTBI. Título Preliminar. Disposiciones generales, Título I. Actuación de los poderes públicos. Capítulo I. Criterios y líneas generales de actuación de los poderes públicos y órgano de participación ciudadana, Capítulo II. Políticas públicas para promover la igualdad efectiva de las personas LGTBI. Sección 1.ª Estrategia estatal para la igualdad de trato y no discriminación de las personas LGTBI, Sección 2.ª Medidas en el ámbito administrativo.

Bloque específico

1. Fundamento de física de semiconductores: conceptos básicos, dispositivos electrónicos y circuitos electrónicos básicos.

2. Principios de funcionamiento y uso seguro de la sala limpia y equipamiento asociado.

3. Caracterización básica de dispositivos electrónicos encapsulados y en oblea. Manejo del osciloscopio, analizador de impedancias, analizador de semiconductores, generadores de señal, analizadores de redes.

4. Preparación de muestras semiconductoras encapsuladas y en oblea para medición en ambientes especiales: vacío, ambientes inertes, ambientes gases nocivos, alta temperatura, criogenia.

5. Mantenimiento de equipos e infraestructuras de caracterización. Calibración.

6. Diseño de montajes de caracterización de dispositivos nanoelectrónicos. Eliminación de ruidos. Conexión de tierras. Diseño y fabricación de circuitos impresos.

7. Tecnología de fabricación de dispositivos nanoelectrónicos.

8. Preparación de materiales semiconductores. Limpieza y cortado de obleas. Limpieza húmeda y seca. Plasma de oxígeno. Técnicas de grabado RIE.

9. Medidas de precisión de masa, volumen y temperatura. Medidas en balanza de precisión. Manejo de pipetas, micropipetas. Disoluciones químicas sencillas.

10. Crecimiento de materiales semiconductores por técnicas de deposición: CVD y ALD. Evaporación térmica y sputtering.

11. Técnicas de caracterización estructural. El microscopio óptico. Técnicas de espectroscopia.

12. Generación de patrones litográficos. Manejo de polímeros y resinas fotolitográficas.

13. La Sala Limpia Nanoelectrónica. Mantenimiento.

14. Clasificación y mantenimiento de reactivos químicos para Nanoelectrónica. Manejo y control de gases.

15. Control de riesgos laborales en laboratorios de Nanoelectrónica.

16. Introducción a la fabricación y caracterización de dispositivos sensores y sistemas microfluídicos.

17. Mantenimiento preventivo y resolución básica de incidencias técnicas en equipos de laboratorio.

18. Nociones básicas de análisis de datos y documentación de procesos en entorno científico.

19. Normas básicas de gestión y aseguramiento de la calidad en laboratorios de I+D+i.

(La normativa exigible serán las versiones vigentes o disposiciones que la sustituyan, a fecha de publicación de la presente convocatoria).

ANEXO II
Procedimiento de selección

El proceso selectivo constará de fase de oposición y fase de concurso. Los puntos de la fase de concurso no podrán aplicarse para superar la fase de oposición.

Fase de oposición

La fase de oposición tendrá una puntuación máxima de 70 puntos y estará formada de los siguientes ejercicios:

Primer ejercicio: Tendrá carácter eliminatorio y consistirá en contestar un cuestionario de 100 preguntas, con 4 respuestas alternativas, de las que solo una será correcta, basado en el contenido del programa que figura como anexo I de esta convocatoria. Para la realización de este ejercicio las personas aspirantes dispondrán de 100 minutos.

Se calificará de 0 a 40 puntos. La calificación del ejercicio será calculada de acuerdo al procedimiento establecido en el apartado «Sistema de Corrección de los Ejercicios con Respuesta Alternativa» incluido en esta convocatoria.

El Tribunal de valoración, con anterioridad a la corrección y calificación del ejercicio, publicará en el sitio web del Servicios de Personal Técnico, de Gestión y de Administración y Servicios, el cuaderno de examen y la plantilla de respuestas correctas, abriéndose un plazo de tres días hábiles, contados a partir del siguiente al de la publicación, para presentar posibles reclamaciones sobre la plantilla. El Tribunal analizará y estimará o rechazará dichas reclamaciones anulando las preguntas o modificando las respuestas que, en su caso, considere necesarias. Asimismo, aprobará la plantilla definitiva de respuestas correctas, que determinará el número de preguntas válidas (NPV).

Una vez resueltas las posibles reclamaciones a que se refiere el párrafo anterior, el Tribunal de valoración hará pública la relación de aspirantes que han superado el ejercicio, con indicación de sus calificaciones y se abrirá un plazo de tres días hábiles para presentar reclamaciones sobre posibles errores aritméticos o de hecho que se hayan podido producir en las calificaciones de dicha relación de aspirantes. Finalizado el plazo anterior, y resueltas las reclamaciones que puedan presentarse, mediante Acuerdo del Tribunal se publicará la relación definitiva de aspirantes que han superado el ejercicio con sus calificaciones.

Segundo ejercicio: Tendrá carácter eliminatorio y consistirá en resolver uno o varios supuestos o pruebas prácticas propuestas por el Tribunal, basados en el contenido del Bloque Específico del programa que figura como anexo I de esta convocatoria, en el tiempo y con los medios auxiliares que el Tribunal disponga.

Se calificará de 0 a 30 puntos, siendo necesario para superar el ejercicio obtener una calificación mínima de 15 puntos. El Tribunal publicará con anterioridad a la realización de este ejercicio los criterios de valoración y calificación.

Por Acuerdo del Tribunal se publicará la relación provisional de aspirantes que han superado el ejercicio, con indicación de sus calificaciones y se abrirá un plazo de tres días hábiles para presentar reclamaciones sobre el mismo. Finalizado el plazo anterior, y resueltas las reclamaciones que puedan presentarse, mediante Acuerdo del Tribunal se publicará la relación definitiva de aspirantes que han superado el ejercicio, así como la fase de oposición, con expresión de la puntuación obtenida.

La calificación final de la fase de oposición vendrá determinada por la suma de las puntuaciones obtenidas en los dos ejercicios.

Sistema de Corrección de los Ejercicios con Respuesta Alternativa (primer ejercicio):

Número de preguntas puntuables (NPP): El número de preguntas puntuables para cada persona opositora será igual al número de preguntas correctas (NPC) menos el número de preguntas incorrectas (NPI) dividido por el número de respuestas alternativas de cada pregunta (NRAP). La fórmula a aplicar será la siguiente:

Imagen: /datos/imagenes/disp/2025/289/24414_16378604_1.png

De las operaciones aritméticas se obtendrán 3 cifras decimales.

a) Cálculos previos a la calificación:

– NC (nota de corte): La puntuación mínima necesaria para superar el ejercicio será la correspondiente al 50% de la media aritmética de referencia (MAR), no pudiendo en ningún caso ser inferior al 35% del número de preguntas válidas (NPV) determinado para el ejercicio. La fórmula a aplicar será la siguiente:

Imagen: /datos/imagenes/disp/2025/289/24414_16378604_2.png

Donde:

– NPV: Número de preguntas válidas determinado en la plantilla definitiva de respuestas correctas.

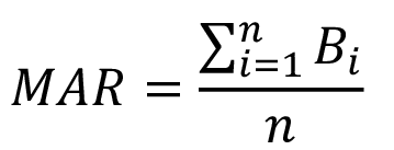
– MAR (media aritmética de referencia): Será la media aritmética de los NPP iguales o superiores al percentil 95 del conjunto de NPP de todas las personas opositoras. La fórmula a aplicar será la siguiente:

Imagen: /datos/imagenes/disp/2025/289/24414_16378604_3.png

Siendo:

Imagen: /datos/imagenes/disp/2025/289/24414_16378604_4.png

– A: conjunto que contiene los NPP de todas las personas opositoras.

– P95: Percentil 95 de A.

– B: subconjunto de A que contiene los NPP iguales o superiores al percentil 95.

b) Calificación:

– CF (calificación final): La fórmula a aplicar para determinar la calificación final del ejercicio, para aquellas personas que obtengan un NPP igual o superior a la nota de corte, será la siguiente:

Imagen: /datos/imagenes/disp/2025/289/24414_16378604_5.png

Donde:

– CME: Calificación máxima establecida en las bases de la convocatoria para el ejercicio.

– PM: Puntuación máxima obtenida en el ejercicio. La fórmula a aplicar será la siguiente:

Imagen: /datos/imagenes/disp/2025/289/24414_16378604_6.png

Fase de concurso

La puntuación máxima de esta fase será de 30 puntos. La valoración de los méritos se realizará de la siguiente forma:

a) Por servicios prestados, un máximo de 25 puntos:

1. Servicios prestados en la Universidad de Granada como personal funcionario en la misma Escala y puesto objeto de esta convocatoria o como personal laboral en la categoría laboral equivalente: 0,40/30 puntos por día de servicios.

2. Servicios prestados en otras Universidades públicas como personal funcionario en Cuerpos o Escalas equivalentes a la Escala y puesto objeto de esta convocatoria o como personal laboral en la categoría laboral equivalente: 0,20/30 puntos por día de servicios.

3. Servicios prestados en otras Administraciones públicas como personal funcionario en Cuerpos o Escalas equivalentes a la Escala y puesto objeto de esta convocatoria o como personal laboral en la categoría laboral equivalente: 0,10/30 puntos por día de servicios.

b) Superación de ejercicios obligatorios de cualquier convocatoria de acceso anterior en procesos selectivos de la misma Escala y puesto objeto de esta convocatoria o en la categoría laboral equivalente de la Universidad de Granada, o de Cuerpos o Escalas equivalentes a la Escala y puesto objeto de esta convocatoria o en categoría laboral equivalente de otras Universidades públicas, a razón de 0,50 puntos por ejercicio obligatorio superado con un máximo de 5 puntos.

Las referencias de la presente convocatoria a categoría laboral equivalente se entenderán exclusivamente referidas a las recogidas en el Acuerdo de Funcionarización del PAS Laboral de la en sesión de Mesa de Negociación Sectorial del PAS de 4 de diciembre 2018.

ANÁLISIS

  • Rango: Resolución
  • Fecha de disposición: 25/11/2025
  • Fecha de publicación: 02/12/2025
  • Convocatoria. Turno libre: Subgrupo C1 1 plaza.

subir

Agència Estatal Butlletí Oficial de l'Estat

Avda. de Manoteras, 54 - 28050 Madrid