Contingut no disponible en català

Us trobeu en

Documento BOE-A-2025-21859

Resolución de 22 de octubre de 2025, de la Universidad Carlos III de Madrid, por la que se convoca proceso selectivo para ingreso, por el sistema de promoción interna, en la Escala Administrativa.

Publicado en:
«BOE» núm. 261, de 30 de octubre de 2025, páginas 141509 a 141522 (14 págs.)
Sección:
II. Autoridades y personal - B. Oposiciones y concursos
Departamento:
Universidades
Referencia:
BOE-A-2025-21859

TEXTO ORIGINAL

Esta Gerencia, en uso de las atribuciones que, en materia de personal técnico, de gestión y de administración y servicios, tiene delegadas por Resolución del Rector de 3 de julio de 2022 (BOCM núm. 167, de 15 de julio), una vez cumplidas las formalidades contenidas en el artículo 125 de los Estatutos de la Universidad Carlos III de Madrid, con el fin de atender las necesidades de personal técnico, de gestión y de administración y servicios y, en uso de las competencias que le están atribuidas en el artículo 50 de la Ley Orgánica 2/2023, de 22 de marzo, del Sistema Universitario, en relación con el artículo 3.2.j) de la citada norma, así como en el artículo 47 de los Estatutos de esta Universidad, previo acuerdo con la Junta de Personal técnico, de gestión y de administración y servicios, ha resuelto convocar proceso selectivo para el ingreso en la Escala Administrativa (Subgrupo C1) de la Universidad Carlos III de Madrid.

La presente convocatoria cumple el principio de igualdad entre mujeres y hombres en el acceso al empleo público, de acuerdo con lo que establece el artículo 14 de la Constitución Española evitando cualquier discriminación directa o indirecta en el acceso al empleo tal y como establece la Ley Orgánica 3/2007, de 22 de marzo, para la igualdad efectiva entre hombres y mujeres, y se desarrollará de acuerdo con las siguientes

Bases de la convocatoria

Primera. Normas generales.

1.1 Se convocan pruebas selectivas para cubrir cuarenta (40) plazas por el sistema de promoción interna en la Escala Administrativa (Subgrupo C1) de la Universidad Carlos III de Madrid, reservándose del total de las plazas convocadas dos para quienes tengan la condición legal de personas con discapacidad con un grado de discapacidad igual o superior al 33 por 100, siempre que se cumplan los requisitos que, a tal efecto, se establecen en la normativa de aplicación. Las plazas reservadas para el cupo de discapacidad se acumularán a las del turno general de promoción interna en caso de no haber personas aspirantes aprobadas por dicho cupo.

1.2 A las presentes pruebas selectivas les será de aplicación la Ley Orgánica 2/2023, de 22 de marzo, del Sistema Universitario; el Real Decreto Legislativo 5/2015, de 30 de octubre, por el que se aprueba el texto refundido de la Ley del Estatuto Básico del Empleado Público; la Ley 30/1984, de 2 de agosto, de Medidas para la Reforma de la Función Pública; el Real Decreto 364/1995, de 10 de marzo, por el que se aprueba el Reglamento General de Ingreso del Personal al Servicio de la Administración General del Estado y de Provisión de los Puestos de Trabajo y Promoción Profesional de los Funcionarios Civiles de la Administración General del Estado; el Real Decreto Legislativo 1/2013, de 29 de noviembre, por el que se aprueba el texto refundido de la Ley General de derechos de las personas con discapacidad y de su inclusión social; el Real Decreto 2271/2004, de 3 de diciembre, por el que se regula el acceso al empleo público y la provisión de puestos de trabajo de las personas con discapacidad; el Real Decreto 543/2001, de 18 de mayo, sobre acceso al empleo público de la Administración General del Estado y sus organismos públicos de nacionales de otros Estados a los que es de aplicación el derecho a la libre circulación de trabajadores; el Reglamento (UE) n.º 492/2011 del Parlamento Europeo y del Consejo, de 5 de abril de 2011, relativo a la libre circulación de los trabajadores dentro de la Unión; los Estatutos de la Universidad Carlos III de Madrid, aprobados por Decreto 1/2003, de 9 de enero, de la Comunidad de Madrid (BOCM de 20 de enero) y modificados por Decreto 95/2009, de 12 de noviembre (BOCM de 4 de diciembre) y las presentes bases de convocatoria.

1.3 El sistema de selección de las personas aspirantes será el de concurso-oposición, cuya descripción se detalla en el anexo I de la presente convocatoria.

1.4 El programa que ha de regir el proceso selectivo es el que figura como anexo II de esta convocatoria.

1.5 No se podrá declarar superado el proceso selectivo a un número de aspirantes superior al de plazas convocadas.

Segunda. Requisitos de las personas aspirantes.

Para la admisión a este proceso selectivo, las personas que deseen participar deberán reunir los requisitos generales de acceso a la función pública y en particular, los siguientes requisitos:

2.1 Nacionalidad. Tener la nacionalidad española o ser nacional de un Estado miembro de la Unión Europea, o nacional de aquellos Estados a los que, en virtud de los Tratados Internacionales celebrados por la Unión Europea y ratificados por España, sea de aplicación la libre circulación de los trabajadores. También podrán participar, cualquiera que sea su nacionalidad, el cónyuge de los españoles y de los nacionales de otros Estados miembros de la Unión Europea, siempre que no estén separados de derecho, y sus descendientes y los de su cónyuge, siempre que no estén separados de derecho, menores de veintiún años o mayores de dicha edad que sean dependientes. Se deberá acreditar la relación familiar con un certificado literal de matrimonio en el caso de los cónyuges o un certificado de familia para los descendientes.

2.2 Capacidad. Poseer la capacidad funcional para el desempeño de las tareas habituales propias de la Escala a la que se opta.

2.3 Edad. Tener cumplidos dieciséis años de edad y no exceder de la edad máxima de jubilación forzosa.

2.4 Habilitación. No haber sido objeto de separación del servicio de cualquiera de las Administraciones Públicas mediante expediente disciplinario, ni hallarse en situación de inhabilitación absoluta o especial para empleos o cargos públicos por sentencia judicial firme, ni pertenecer al mismo Cuerpo o Escala al cual se opta por esta convocatoria. En el caso de ser nacional de otro Estado, no hallarse en situación de inhabilitación o equivalente ni haber sido sometido a sanción disciplinaria o equivalente que impida, en su Estado, en los mismos términos, el acceso al empleo público.

2.5 Titulación. Estar en posesión o en condiciones de obtener en la fecha de finalización del plazo de presentación de solicitudes el título de Bachiller, Técnico o equivalente.

Los aspirantes con titulaciones universitarias obtenidas fuera del Espacio Europeo de Educación Superior deberán acreditar que están en posesión de la correspondiente credencial de homologación o en su caso del correspondiente certificado de equivalencia. Los títulos de Grado expedidos por universidades en los Estados miembros de la Unión Europea serán equivalentes, a todos los efectos, a aquellos expedidos por universidades españolas.

Asimismo, se estará a lo dispuesto en la Orden EDU/1603/2009, de 10 de junio, por la que se establecen equivalencias con los títulos de Graduado en Educación Secundaria Obligatoria y de Bachiller regulados en la Ley Orgánica 2/2006, de 3 de mayo, de Educación, modificada mediante la Orden EDU/520/2011, de 7 de marzo.

2.6 Pertenecer, como personal funcionario de carrera, a la Escala Auxiliar Administrativa de la Universidad Carlos III de Madrid, o a cualquier otro Cuerpo o Escala de Auxiliar de Administración, Subgrupo C2, y encontrarse desempeñando un puesto de trabajo con carácter definitivo en la Universidad Carlos III de Madrid, o bien un puesto con carácter provisional, siempre que el último destino definitivo como funcionario de carrera lo haya sido en la Universidad Carlos III de Madrid, salvo lo establecido en el apartado 2.8. de la presente convocatoria.

2.7 Haber prestado servicios efectivos durante, al menos, dos años como funcionario/a de carrera en alguno de los Cuerpos o Escalas del Subgrupo C2, mencionados en el apartado anterior.

2.8 Encontrarse en situación de servicios especiales, situación de excedencia por cuidado de familiares o cualquier otra excedencia a excepción de la excedencia voluntaria por interés particular.

2.9 Quienes opten a las plazas reservadas para las personas con discapacidad deberán tener reconocido un grado de discapacidad igual o superior al 33 por 100 y habrán de expresarlo en la solicitud de participación del proceso selectivo y acreditarlo documentalmente junto con la misma.

2.10 Todos los requisitos enumerados en los apartados anteriores deberán poseerse el día de finalización del plazo de presentación de instancias y mantenerse hasta el momento de la toma de posesión como personal funcionario de carrera.

Tercera. Solicitudes.

3.1 Las personas interesadas en participar en el procedimiento deberán presentar su solicitud telemáticamente a través del enlace que se habilitará en la página web www.uc3m.es/pas/pas-funcionario.

3.2 El plazo para acceder a la aplicación habilitada al efecto y formular la solicitud será de veinte días hábiles contados a partir del siguiente al de la publicación del anuncio de esta convocatoria en el «Boletín Oficial de la Comunidad de Madrid», sin perjuicio de su previa publicación en el «Boletín Oficial del Estado» y de su anuncio en el «Boletín Oficial Electrónico de la Universidad Carlos III de Madrid».

3.3 Las personas que deseen participar en el presente proceso selectivo deberán abonara la Universidad Carlos III de Madrid la cantidad de 8,28 euros y se ingresarán en la cuenta corriente de la Universidad Carlos III de Madrid con código IBAN ES22 0182 2370 4200 0031 0297, en el concepto figurará el NIF o NIE del solicitante junto con la referencia «C1-ADMON». El ingreso podrá efectuarse directamente en cualquier oficina del Banco BBVA, o bien mediante transferencia bancaria a la citada cuenta desde otra entidad. En el justificante de la transferencia o ingreso, que ha de aportarse junto con la solicitud, deberá constar la fecha de la transferencia o ingreso y el NIF o NIE del solicitante.

3.4 De conformidad con lo establecido en el Decreto Legislativo 1/2002, de 24 de octubre, por el que se aprueba el texto refundido de la Ley de Tasas y Precios Públicos de la Comunidad de Madrid, estarán exentas del pago de la tasa por derechos de examen:

a) Las personas con discapacidad de grado igual o superior al 33 por 100.

b) Las víctimas del terrorismo, sus cónyuges e hijos/as.

c) Las víctimas de violencia de género.

d) Las familias numerosas, en los siguientes términos:

– 100 por 100 de exención a los miembros de familias de categoría especial.

– 50 por 100 de exención a los miembros de familias de categoría general.

El abono de los derechos de examen para la participación en el proceso selectivo, así como la circunstancia de exención, en su caso, deberá acreditarse documentalmente por las personas aspirantes durante el plazo de presentación de solicitudes.

La falta de abono de los derechos de examen durante el plazo de presentación de solicitudes determinará la exclusión definitiva de la persona aspirante.

3.5 A la instancia se acompañará la siguiente documentación:

a) Las personas aspirantes con discapacidad de grado igual o superior al 33 % que soliciten adaptación de tiempo y/o medios, deberán adjuntar dictamen técnico facultativo emitido por el Órgano Técnico de Valoración que dictaminó el grado de discapacidad. La falta de indicación detallada de la adaptación que precisa en el anexo IV determinará el desistimiento del aspirante en su solicitud de adaptación.

b) Documento acreditativo de la realización del abono de los derechos de examen según lo estipulado en la base 3.3, mediante la aportación de una copia del resguardo del ingreso o transferencia realizada, o bien del documento acreditativo que determina la causa de exención de su abono. La falta de justificación del abono de los derechos de examen o de su exención determinará la exclusión del aspirante. En ningún caso el abono de los derechos de examen supondrá sustitución del trámite de presentación en tiempo y forma de la solicitud.

3.6 Los errores de hecho, materiales o aritméticos, que pudieran advertirse en la solicitud, podrán subsanarse en cualquier momento, de oficio o a petición del interesado.

3.7 Son causas de exclusión de la persona aspirante:

a) El incumplimiento de los requisitos de participación establecidos en la presente convocatoria.

b) La no presentación de la solicitud en tiempo y forma.

c) La falta de pago, en plazo de presentación de solicitudes, de la tasa correspondiente por derechos de examen, la falta de justificación de su abono, o de encontrarse exento total o parcial de este pago.

Cuarta. Admisión de aspirantes.

4.1 Finalizado el plazo de presentación de solicitudes, la Gerencia de la Universidad Carlos III de Madrid dictará resolución en el plazo máximo de un mes, declarando aprobadas las listas provisionales de personas admitidas y excluidas, con indicación de las causas de exclusión. Dicha resolución se publicará en la página web de la Universidad www.uc3m.es/pas/pas-funcionario.

Se publicará, asimismo, la composición del Tribunal calificador por resolución del Gerente.

4.2 Las personas excluidas expresamente, así como las que no figuren en la relación provisional de personas admitidas ni en la de excluidas, dispondrán de un plazo de diez días hábiles, contados a partir del siguiente a la publicación de la resolución en la página web de la Universidad, para subsanar los defectos que hayan motivado su exclusión o su no inclusión expresa.

4.3 Las personas que, habiendo solicitado concurrir por el cupo de discapacidad, no cumplan alguno de los requisitos exigidos para el acceso a las plazas de reserva, serán incluidos de oficio en la relación provisional y, en su caso, definitiva de aspirantes admitidos por el turno general de promoción interna, siempre que cumplan los restantes requisitos de participación establecidos en la presente convocatoria y no incurran en otras causas de exclusión.

4.4 Finalizado el plazo de subsanación, se hará pública en la página web de la Universidad la resolución del Gerente por la que se aprueban las listas definitivas de personas admitidas y excluidas, con indicación de las causas de exclusión, entendiéndose desestimadas las reclamaciones no recogidas en la misma. Asimismo, a propuesta del Tribunal calificador, se hará constar la fecha, lugar y hora de realización del ejercicio de la fase de oposición; todo ello, con una antelación mínima de diez días hábiles.

4.5 Contra la resolución por la que se aprueban las listas definitivas de personas admitidas y excluidas podrá interponerse, con carácter potestativo, recurso de reposición en el plazo de un mes, ante el mismo órgano que la dictó, o bien recurso contencioso-administrativo en el plazo de dos meses, ante los Juzgados de lo Contencioso-Administrativo de Madrid, ambos plazos contados a partir del día siguiente al de su publicación en la página web de la Universidad.

4.6 De conformidad con lo establecido en el Decreto Legislativo 1/2002, de 24 de octubre, por el que se aprueba el texto refundido de la Ley de Tasas y Precios Públicos de la Comunidad de Madrid, procederá, previa solicitud de la persona interesada, la devolución de los derechos de examen únicamente en los supuestos de exclusión por causas no imputables a la misma. La devolución se efectuará una vez culminado el proceso selectivo.

Quinta. Procedimiento de selección.

5.1 El procedimiento de selección por el sistema de promoción interna consta de dos fases: Fase de oposición y fase de concurso. La fase de oposición constituirá el 70 % de la puntuación total del proceso selectivo y tendrá carácter eliminatorio. La fase de concurso constituirá el 30 % del proceso selectivo y no tendrá carácter eliminatorio.

5.2 Las fases de oposición y de concurso se desarrollarán conforme a lo especificado en el anexo I de esta convocatoria.

Sexta. Tribunal calificador.

6.1 El Tribunal calificador de las presentes pruebas selectivas se ajustará a lo establecido en el Real Decreto 364/1995, de 10 de marzo, por el que se aprueba el Reglamento General de Ingreso del Personal al Servicio de la Administración General del Estado y de Provisión de Puestos de Trabajo y Promoción Profesional de los Funcionarios Civiles de la Administración del Estado, así como en lo especificado en el Real Decreto Legislativo 5/2015, de 30 de octubre, por el que se aprueba el texto refundido de la Ley del Estatuto Básico del Empleado Público y en la Ley 40/2015, de 1 de octubre, de Régimen Jurídico del Sector Público.

6.2 El Tribunal calificador será designado por la Universidad Carlos III de Madrid y estará compuesto, en número impar, por un presidente/a, un secretario/a, con voz, pero sin voto y, al menos, cuatro vocales designados entre personal funcionario de carrera perteneciente a cuerpos o escalas con nivel de titulación igual o superior al exigido para el acceso a esta escala. Se designará un número igual de suplentes.

6.3 Tanto titulares como suplentes serán nombrados por el Rector, procurando la presencia equilibrada de hombres y mujeres conforme a lo establecido en el artículo 60 del Real Decreto Legislativo 5/2015, de 30 de octubre, por el que se aprueba el texto refundido del Estatuto Básico del Empleado Público y el III Plan de Igualdad de la Universidad Carlos III de Madrid aprobado en Consejo de Gobierno de 30 de enero de 2025.

6.4 De conformidad con lo dispuesto en el Real Decreto 462/2002, de 24 de mayo, de indemnizaciones por razones del servicio, el Tribunal quedará incluido en la categoría segunda.

6.5 Las personas integrantes del Tribunal deberán abstenerse de intervenir, notificando al Rector de la Universidad, cuando concurran en ellos algunas de las circunstancias previstas en el artículo 23 de la Ley 40/2015, de 1 de octubre, de Régimen Jurídico del Sector Público, o si hubiesen realizado tareas de preparación de aspirantes a pruebas selectivas de acceso en los cinco años anteriores a la publicación de esta convocatoria.

La presidencia podrá solicitar de los miembros del Tribunal declaración expresa de no hallarse incursos en las circunstancias de abstención o recusación.

Asimismo, los aspirantes podrán recusar a los miembros del Tribunal cuando concurran algunas de las circunstancias previstas en el artículo 24 de la Ley 40/2015, de 1 de octubre, de Régimen Jurídico del Sector Público.

6.6 Previa convocatoria de la presidencia del Tribunal, se constituirá éste con la asistencia del presidente/a y del secretario/a o, en su caso, de quienes los sustituyan, y la de la mitad, al menos, de sus miembros. Celebrarán su sesión de constitución con una antelación mínima de diez días antes de la celebración del primer ejercicio. En dicha sesión, el Tribunal acordará todas las decisiones que le correspondan en orden al correcto desarrollo de las pruebas selectivas.

6.7 A partir de su constitución, el Tribunal, para actuar válidamente, requerirá de la presencia del presidente/a y secretario/a o, en su caso, de quienes les sustituyan, y de la mitad, al menos, de sus miembros, sean titulares o suplentes.

6.8 A efectos de comunicaciones y demás incidencias, el Tribunal tendrá su sede en el Rectorado de la Universidad Carlos III de Madrid, C/ Madrid, 126 de Getafe, 28903 (Madrid), Servicio de Recursos Humanos y Organización, o en la dirección de correo electrónico selecpas@pa.uc3m.es.

6.9 Durante todo el proceso selectivo, el Tribunal resolverá las dudas que puedan surgir en la aplicación de estas normas, así como la actuación que proceda en los casos no previstos. En todo momento su actuación se ajustará a lo dispuesto en la Ley 39/2015, de 1 de octubre, de Procedimiento Administrativo Común de las Administraciones Públicas, y en la Ley 40/2015, de 1 de octubre, de Régimen Jurídico del Sector Público.

6.10 El Tribunal adoptará discrecionalmente las medidas necesarias precisas en aquellos casos en que resulte necesario, de forma que las personas aspirantes con discapacidad gocen de similares condiciones para la realización de los ejercicios que el resto de los participantes. En este sentido, se establecerán, para las personas con discapacidad que lo soliciten, las adaptaciones posibles en tiempos y medios para su realización, debiendo cumplimentarse para ello el anexo IV de esta convocatoria.

Séptima. Calendario y desarrollo de los ejercicios.

7.1 El orden de actuación de quienes participen en este proceso selectivo se iniciará alfabéticamente por aquella persona cuyo primer apellido comience por la letra «U», de conformidad con lo establecido en la Resolución de 13 de marzo de 2025, de la Dirección General de la Función Pública de la Comunidad de Madrid, por la que se hace público el resultado del sorteo efectuado con objeto de determinar el orden de actuación de los aspirantes en los procesos selectivos (BOCM de 25 de marzo).

7.2 En cualquier momento los aspirantes podrán ser requeridos por los miembros del Tribunal para que acrediten su personalidad.

7.3 Los aspirantes serán convocados para la realización de cada una de las partes de la fase de oposición en único llamamiento, siendo excluidos de la oposición quienes no comparezcan, salvo en los casos de fuerza mayor debidamente justificados y libremente apreciados por el Tribunal.

7.4 El ejercicio de la fase de oposición comenzará a partir del 15 de enero de 2026, publicándose la fecha concreta de celebración del ejercicio en la resolución a la que se refiere la base 4.4.

7.5 La publicación de los sucesivos anuncios se efectuará por el Tribunal en la página web de la Universidad Carlos III de Madrid https://www.uc3m.es/pas/pas-funcionario y por cualquier otro medio si se juzga conveniente para facilitar su máxima divulgación.

7.6 En cualquier momento del proceso selectivo, si el Tribunal tuviere conocimiento de que alguno de los aspirantes no posee la totalidad de los requisitos de participación exigidos en la presente convocatoria, previa audiencia del interesado, propondrá su exclusión al Rector, dando traslado, asimismo, de las inexactitudes o falsedades formuladas por el aspirante en su solicitud de admisión a los efectos procedentes. Esta resolución pondrá fin a la vía administrativa y, consiguientemente, el/la interesado/a podrá formular recurso contencioso administrativo ante el Tribunal de lo Contencioso-Administrativo de Madrid, en el plazo de dos meses, o el recurso de reposición en el plazo de un mes ante el Rector de la Universidad Carlos III de Madrid.

Octava. Listas de aprobados.

8.1 Finalizado el ejercicio de la fase de oposición, el Tribunal hará pública en la página web de la Universidad la relación de personas aspirantes que lo han superado, ordenadas en función de la puntuación alcanzada e intercalando, en dicha relación, en su caso, a las personas aspirantes del cupo de discapacidad en el lugar que, por puntuación, corresponda.

De conformidad con el artículo 3.2 del Real Decreto 2271/2004, de 3 de diciembre, por el que se regula el acceso al empleo público y la provisión de puestos de trabajo de las personas con discapacidad, en el supuesto de que alguno de los aspirantes con discapacidad que se haya presentado por el cupo de reserva de personas con discapacidad superase los ejercicios correspondientes, pero no obtuviera plaza y su puntuación fuera superior a la obtenida por otros aspirantes del turno general de promoción interna, será incluido por su orden de puntuación en dicho turno general.

Esta resolución abrirá un plazo de diez días hábiles para que los aspirantes que hayan superado la fase de oposición presenten la documentación acreditativa de los méritos para su valoración en la fase de concurso. En concreto, presentarán los méritos de formación complementaria. La experiencia profesional como personal funcionario en la Universidad Carlos III de Madrid, los méritos de antigüedad, grado personal consolidado y trabajo desarrollado, será adjuntada de oficio por la propia Universidad.

8.2 Transcurrido el plazo para presentar la documentación acreditativa de los méritos a que se refiere el párrafo anterior, el Tribunal hará pública en la página web de la Universidad las puntuaciones provisionales de la fase de concurso.

Se otorgará un plazo de tres días hábiles para formular alegaciones al Tribunal en cuanto a la puntuación de la fase de concurso.

8.3 Transcurrido este plazo, el Tribunal hará pública la relación de aspirantes que han superado el proceso selectivo, expresando la puntuación definitiva de la fase de oposición y de la fase de concurso.

En dicho listado, los aspirantes deberán figurar debidamente ordenados, por orden de puntuación, conforme a la calificación final obtenida.

En caso de empate en la misma, el orden se establecerá atendiendo a los siguientes criterios:

1. La mayor puntuación obtenida en la fase de oposición.

2. La mayor puntuación obtenida en la fase de concurso.

3. La mayor puntuación obtenida en la valoración del mérito de grado personal consolidado y formalizado.

4. La mayor puntuación obtenida en la valoración del mérito de antigüedad.

5. Si aún persistiera el empate, primará la primera letra del primer apellido empezando por la letra señalada en la base 7.1 de la convocatoria.

8.4 El Tribunal no podrá declarar que ha superado el proceso selectivo un número superior de aspirantes al de plazas convocadas por la presente resolución. Cualquier propuesta que contravenga lo indicado anteriormente será nula de pleno derecho.

Novena. Presentación de documentos y nombramientos como personal funcionario de carrera.

9.1 En el plazo de veinte días hábiles a contar desde el día siguiente al de la publicación de la relación de personas aspirantes que han superado el proceso selectivo, las personas incluidas en la misma deberán presentar en el Registro de la Universidad Carlos III de Madrid, dirigido al Servicio de Recursos Humanos y Organización, la documentación acreditativa del cumplimiento de los requisitos exigidos para ser nombrados personal funcionario de carrera:

a) Fotocopia del título académico oficial exigido en la base 2.5 de esta convocatoria o certificación académica acreditativa de tener aprobadas todas las asignaturas que le capacitan para la obtención del mismo, acompañando el resguardo justificativo de haber abonado los derechos para su expedición. En el caso de titulaciones obtenidas en el extranjero deberá presentarse copia y original de la documentación que acredite su homologación o equivalencia. Si no se posee la titulación indicada en la base 2.5, la documentación acreditativa de tener la antigüedad igual o superior a diez años como personal funcionario de carrera en Cuerpos o Escalas del subgrupo C2 no será necesario aportarla, siempre que obre en poder de la Universidad. Igualmente, no será necesario presentar la documentación acreditativa de tener la antigüedad de cinco años si obra en poder de la Universidad, debiéndose aportar en este último caso original y copia del curso específico de formación a que se refiere la disposición adicional novena del Real Decreto 364/1995, de 19 de marzo.

b) Declaración jurada o promesa de no haber sido separado, mediante expediente disciplinario, del servicio de cualquiera de las Administraciones Públicas o de los órganos constitucionales o estatutarios de las Comunidades Autónomas, ni hallarse en inhabilitación absoluta o especial para el desempeño de la función pública mediante sentencia judicial firme.

c) Los aspirantes que hayan participado por el cupo de discapacidad deberán aportar certificado en vigor del Órgano competente que acredite tal condición, así como el grado de discapacidad.

9.2 Para asegurar la cobertura de las plazas convocadas que se adjudicarán según el orden obtenido en el proceso selectivo, el órgano convocante podrá requerir al tribunal calificador una relación complementaria de las personas aspirantes que hayan superado la fase de Oposición, y, por orden de puntuación alcanzada sumadas la fase de Oposición y la fase de Concurso, que sigan a los propuestos hasta completar el total de plazas convocadas, para su posible nombramiento como personal funcionario de carrera cuando se produzca alguna de las siguientes circunstancias:

a) Que se registre renuncia expresa de alguna de las personas aspirantes que ha superado el proceso selectivo antes de su nombramiento como personal funcionario de carrera o de la toma de posesión del puesto adjudicado.

b) Que alguna persona aspirante que ha superado el proceso selectivo no presente la documentación exigida o del examen de ésta se deduzca que carece de los requisitos establecidos en la convocatoria o no tiene los méritos que le han sido valorados.

c) Cualquier otra causa, debidamente acreditada, que impida de manera definitiva su nombramiento como personal funcionario de carrera.

9.3 Las personas aspirantes incluidas en dicha relación complementaria, deberán presentar la documentación acreditativa que se detalla en esta misma base, en el plazo de diez días hábiles desde el día siguiente de su publicación en la página web de la Universidad.

9.4 Las personas aspirantes que superen el proceso selectivo se mantendrán en los puestos de trabajo que vinieran desempeñando.

9.5 Comprobado que las personas aspirantes, cuyo número no podrá superar al de plazas convocadas, reúnen los requisitos de la base segunda de la presente convocatoria, serán nombradas personal funcionario de carrera de la Escala Administrativa de la Universidad Carlos III de Madrid, mediante resolución de este Rectorado que será publicada en el «Boletín Oficial de la Comunidad de Madrid».

9.6 La toma de posesión de las personas aspirantes que hubiesen superado el proceso selectivo se efectuará en el plazo de un mes, contado desde el día siguiente a la fecha de publicación de su nombramiento como personal funcionario de carrera en el «Boletín Oficial de la Comunidad de Madrid».

Décima. Protección de datos.

10.1 De conformidad con lo establecido por la normativa vigente en materia de protección de datos personales, los datos facilitados por quienes concurran a la presente convocatoria serán tratados por la Universidad Carlos III de Madrid, en el marco del tratamiento inscrito en el Registro de Actividades de Tratamiento e identificado como «Selección y provisión de puestos de trabajo (PAS)», con la finalidad de la selección de personal y la provisión de puestos de trabajo mediante convocatorias públicas de la Universidad. Sus datos serán tratados para poder tramitar su solicitud y resolver la convocatoria en la que participa. A estos efectos, se adoptarán las medidas necesarias para preservar la confidencialidad, integridad y disponibilidad de la información personal tratada.

10.2 Las personas interesadas podrán ejercitar sus derechos de acceso, rectificación, supresión, limitación, portabilidad y oposición a su tratamiento, mediante el envío de un correo a la siguiente dirección: dpd@uc3m.es.

10.3 Puede consultar la información adicional y detallada sobre nuestra Política de Privacidad en https://www.uc3m.es/inicio/proteccion-datos.

Undécima. Norma final.

11.1 Las personas participantes en este proceso selectivo se someten a las bases de esta convocatoria y a las decisiones que adopte el Tribunal, sin perjuicio de los recursos que se puedan interponer. El Tribunal está facultado para resolver las dudas que se presenten y tomar los acuerdos necesarios para el buen orden de las pruebas selectivas, en todo lo no previsto en las presentes bases.

11.2 La presente resolución pone fin a la vía administrativa y contra la misma se podrá interponer potestativamente, recurso de reposición ante este Rectorado, en el plazo de un mes, a contar desde el día siguiente a la publicación de la misma, o bien recurso contencioso-administrativo en el plazo de dos meses, a contar desde el día siguiente a la publicación de la citada resolución, ante el Juzgado de lo Contencioso-Administrativo de Madrid.

Getafe, 22 de octubre de 2025.–El Rector, P. D. (Resolución de 3 de julio de 2022), el Gerente, Alberto García Martínez.

ANEXO I
Proceso selectivo

El proceso selectivo consta de una fase de oposición y una fase de concurso. La fase de oposición tendrá carácter eliminatorio, no así la fase de concurso. Los puntos de la fase de concurso no podrán aplicarse para superar la fase de oposición.

Fase de oposición

Está constituida por un único ejercicio estructurado en dos partes de carácter eliminatorio que podrá realizarse en una única sesión.

La puntuación máxima de esta fase será de 70 puntos.

1. Primer ejercicio.

El primer ejercicio estará constituido por dos partes de carácter eliminatorio que podrán realizarse en una única sesión.

1.1 Primera parte.

Consistirá en contestar por escrito a un cuestionario de carácter teórico, integrado por cuarenta preguntas de tipo test (y cinco adicionales de reserva) con respuestas múltiples (siendo sólo una de ellas correcta), que versarán sobre el programa que figura como anexo II, al objeto de apreciar las cualidades de las personas aspirantes en relación con las tareas propias de las plazas que se convocan. Las preguntas erróneas serán penalizadas con 1/3 del valor de una respuesta correcta.

La calificación de esta primera parte del ejercicio será de 0 a 30 puntos, siendo necesario para aprobar obtener un mínimo de 15 puntos.

Corresponde al Tribunal calificador la fijación del número necesario de preguntas válidamente contestadas para ser calificado con 15 puntos, todo ello a la vista de la dificultad del ejercicio propuesto y grado de conocimiento alcanzado con referencia al nivel necesariamente exigible para el acceso a esta Escala. Las notas se ponderarán, en su caso, con la fórmula establecida en el anexo III de esta convocatoria.

Esta parte del ejercicio tendrá carácter eliminatorio, de tal manera que quien no supere la nota mínima establecida para ser calificado con 15 puntos, no podrá continuar con el proceso selectivo.

El tiempo de duración de esta primera parte será como máximo de 60 minutos.

1.2 Segunda parte.

La segunda parte del ejercicio consistirá en la resolución de un supuesto práctico a elegir de entre tres propuestos por el Tribunal, integrado por diez preguntas cortas (y tres adicionales de reserva) con respuestas múltiples (siendo sólo una de ellas correcta), que versarán sobre el programa que figura como anexo II, al objeto de apreciar la capacidad de los aspirantes para llevar a cabo las tareas administrativas relacionadas con los contenidos de las materias a que hace referencia el programa de la convocatoria.

La calificación de esta segunda parte del ejercicio será de 0 a 40 puntos, siendo necesario para aprobar obtener un mínimo de 20 puntos.

Corresponde al Tribunal calificador la fijación del número necesario de preguntas válidamente contestadas para ser calificado con 20 puntos, todo ello a la vista de la dificultad del ejercicio propuesto y grado de conocimiento alcanzado con referencia al nivel necesariamente exigible para el acceso a esta Escala. Las notas se ponderarán, en su caso, con la fórmula establecida en el anexo III de esta convocatoria.

Esta segunda parte del ejercicio también tendrá carácter eliminatorio, de tal manera que quien no supere la nota mínima establecida para ser calificado con 20 puntos, no podrá continuar con el proceso selectivo.

El tiempo de duración de esta segunda parte del ejercicio será como máximo de 60 minutos.

La calificación final de la fase de oposición se hallará sumando las calificaciones de las dos partes del ejercicio único, siempre que ambas estén aprobadas.

Fase de concurso

Finalizada la fase de oposición, tendrá lugar la fase de concurso. Tan sólo podrán participar en esta fase los aspirantes que hayan superado la fase de oposición.

La puntuación máxima de esta fase será de 30 puntos, realizándose la valoración de los méritos de acuerdo con el siguiente baremo:

1. Antigüedad: Máximo 15 puntos.

La antigüedad del personal funcionario en Cuerpos o Escalas del Subgrupo C2 incluidos en el ámbito de aplicación de la Ley 30/1984, de 2 de agosto, de Medidas para la Reforma de la Función Pública, así como los servicios previos reconocidos al amparo de la Ley 70/1978, de 26 de diciembre, de reconocimiento de servicios previos en la Administración Pública, se valorará teniendo en cuenta los servicios prestados hasta la fecha en que finalice el plazo de presentación de solicitudes asignándose 1 punto por año de servicio o fracción superior a seis meses, hasta un máximo de 15 puntos.

2. Grado personal consolidado: Máximo 5 puntos.

Según el grado personal consolidado que posea el funcionario a la fecha en que finalice el plazo de presentación de solicitudes se otorgará la siguiente puntuación:

– Hasta el grado 14: 3 puntos.

– Por cada unidad de grado que exceda de 14: 0,50 puntos, hasta un máximo de 2 puntos.

La valoración efectuada por este apartado no podrá ser modificada como consecuencia de posibles reclasificaciones efectuadas con posterioridad a la fecha en que finalice el plazo de presentación de solicitudes.

3. Trabajo desarrollado: Máximo 5 puntos.

Según el nivel del complemento de destino correspondiente al puesto de trabajo que se ocupe a la fecha en que finalice el plazo de presentación de solicitudes, se otorgará la siguiente puntuación:

– Hasta el nivel 16: 4 puntos.

– Por cada unidad de nivel que exceda de 16: 0,5 puntos, hasta un máximo de 1 punto.

La valoración efectuada por este apartado no podrá ser modificada como consecuencia de posibles cambios de nivel de complemento de destino obtenido o reconocido con posterioridad a la fecha en que finalice el plazo de presentación de solicitudes.

4. Formación: Máximo 5 puntos.

Para la baremación de este apartado se valorarán los cursos de formación recibidos por concursantes realizados en los últimos diez (10) años hasta la fecha de finalización del plazo de presentación de solicitudes.

Por acreditar la superación (asistencia o aprovechamiento) de cursos de formación y perfeccionamiento impartidos por la Universidad Carlos III de Madrid, otras Universidades, el INAP u otros organismos públicos e instituciones oficiales dependientes de las administraciones públicas y cualquier otro financiado con fondos públicos orientados al desempeño de funciones en el Cuerpo o Escala a la que se desea acceder bajo criterio del Tribunal Calificador, según el siguiente baremo:

– Cursos hasta 12 horas: 0,4 puntos.

– Cursos de 13 hasta 25 horas: 0,6 puntos.

– Cursos de 26 hasta 39 horas: 0,7 puntos.

– Cursos de 40 horas en adelante: 0,9 puntos.

Se valorarán cursos cuyo contenido esté directamente relacionado con las competencias y funciones propias del puesto de trabajo al que se opta, así como los cursos de carácter transversal que complementan la formación.

No se valorarán cursos de formación preparatoria de procesos de promoción interna específica, preparación de procesos selectivos o cursos de apoyo.

No se valorarán cursos pertenecientes a una carrera universitaria ni las materias o créditos que formen parte de una titulación académica o de doctorado.

Igualmente, no se valorarán los cursos que no acrediten las fechas de realización ni horas de realización.

En el caso de aportar varias ediciones de un mismo curso o cursos de contenido similar, únicamente se valorará uno de ellos, el que tenga más horas lectivas.

Conforme a lo establecido en la base tercera de la presente convocatoria se tendrán en cuenta los cursos de formación realizados hasta la fecha de finalización del plazo de presentación de solicitudes de participación en el presente proceso selectivo.

ANEXO II
Temario

I. Derecho Administrativo y Gestión Pública

Tema 1. Ley 39/2015, de 1 de octubre, del Procedimiento Administrativo Común de las Administraciones Públicas (I): Disposiciones generales. De los interesados en el procedimiento. De la actividad de las Administraciones Públicas. De los actos administrativos.

Tema 2. Ley 39/2015, de 1 de octubre, del Procedimiento Administrativo Común de las Administraciones Públicas (II): De las disposiciones sobre el procedimiento administrativo común. De la revisión de los actos en vía administrativa. Ley 40/2015, de 1 de octubre, de Régimen Jurídico del Sector Público: Disposiciones generales. De los órganos de las Administraciones Públicas. Funcionamiento electrónico del Sector Público. De los convenios.

Tema 3. Ley 10/2019, de 10 de abril, de Transparencia y de Participación de la Comunidad de Madrid: Disposiciones generales. Publicidad activa. Derecho de acceso a la información pública: Disposiciones generales y Procedimiento. Portal de transparencia en la Universidad Carlos III de Madrid.

Tema 4. Ley Orgánica 3/2018, de 5 de diciembre, de Protección de Datos Personales y garantía de los derechos digitales: Principios de protección de datos. Derechos de las personas. Responsable y encargado del tratamiento: Encargado del tratamiento y Delegado de protección de datos.

Tema 5. Ley Orgánica 3/2007, de 22 de marzo, para la igualdad efectiva de mujeres y hombres: Objeto y ámbito de la Ley. El principio de igualdad y la tutela contra la discriminación. Regulación en materia de igualdad, identidad y expresión de género, no discriminación y prevención y actuación contra el acoso de la Universidad Carlos III de Madrid. III Plan de Igualdad de la Universidad Carlos III de Madrid: Principios Generales. Objetivos y estructura general del Plan: ejes, objetivos generales, líneas de acción, objetivos específicos y medidas.

II. Recursos Humanos

Tema 6. Real Decreto Legislativo 5/2015, de 30 de octubre, por el que se aprueba el texto refundido de la Ley del Estatuto Básico del Empleado Público: Personal al servicio de las Administraciones Públicas. Derechos y deberes de los empleados públicos. Adquisición y pérdida de la relación de servicio. Situaciones administrativas.

Tema 7. Real Decreto 364/1995, de 10 de marzo, por el que se aprueba el Reglamento General de Ingreso del personal al servicio de la Administración General del Estado y de Provisión de Puestos de Trabajo y Promoción Profesional de los Funcionarios Civiles de la Administración General del Estado: Ingreso en Cuerpos o Escalas de funcionarios. Provisión de puestos de trabajo. Carrera profesional. Promoción interna. Ley 53/1984, de 26 de diciembre, de Incompatibilidades del personal al servicio de las Administraciones Públicas.

Tema 8. Ley 31/1995, de 8 de noviembre, de Prevención de Riesgos Laborales: Objeto, ámbito de aplicación y definiciones. Derechos y obligaciones. Servicios de Prevención.

III. Gestión Universitaria

Tema 9. Ley Orgánica 2/2023, de 22 de marzo, del Sistema Universitario: Régimen específico de las universidades públicas.

Tema 10. Estatutos de la Universidad Carlos III de Madrid: Servicios universitarios. Defensor Universitario. Régimen económico y financiero de la Universidad. Reforma de los Estatutos. Ley 3/2022, de 24 de febrero de Convivencia Universitaria.

Tema 11. Real Decreto 822/2021, de 28 de septiembre, por el que se establece la organización de las enseñanzas universitarias y del procedimiento de aseguramiento de su calidad. Normativas académicas de la Universidad Carlos III de Madrid: matrícula, permanencia, evaluación. Enseñanzas universitarias oficiales de la Universidad Carlos III de Madrid.

Tema 12. Real Decreto 534/2024, de 11 de junio, por el que se regulan los requisitos de acceso a las enseñanzas universitarias oficiales de Grado, las características básicas de la prueba de acceso y la normativa básica de los procedimientos de admisión: Disposiciones generales. Requisitos de acceso a las enseñanzas universitarias oficiales de Grado. Normativa básica de los procedimientos de admisión. Criterios específicos para la adjudicación de plazas por las universidades públicas. Regulación y normativa de acceso y admisión en estudios oficiales en la Universidad Carlos III de Madrid.

IV. Gestión Económico-Financiera

Tema 13. El presupuesto de la Universidad Carlos III de Madrid (I): Características y estructura. Ingresos y gastos. Créditos iniciales y su financiación. Modificaciones presupuestarias. Ejecución general de ingresos. Ejecución general de gastos presupuestarios: normas y procedimientos de gestión presupuestaria y económico financiera.

Tema 14. El presupuesto de la Universidad Carlos III de Madrid (II): Ordenación del gasto y ordenación del pago. Documentos contables que intervienen en la gestión presupuestaria. Liquidación y cierre del ejercicio. Las cuentas de liquidación.

Tema 15. Ley 9/2017, de 8 de noviembre, de Contratos del Sector Público: Ámbito de aplicación. Delimitación de los tipos contractuales. Perfección y forma del contrato. Órgano de contratación. Objeto, presupuesto base de licitación, valor estimado, precio del contrato y su revisión. De la preparación de los contratos de las Administraciones Públicas. De la adjudicación de los contratos de las Administraciones Públicas: Normas generales. Procedimiento abierto. Procedimiento restringido. Procedimientos con negociación. Especial referencia a la contratación en la Universidad Carlos III de Madrid.

ANEXO III
Cálculo de puntuación directa

La puntuación directa de la primera parte del ejercicio se calcula conforme a la fórmula siguiente:

A-(E/3)

Siendo:

– A: número de aciertos

– E: número de errores.

Fórmula de conversión de la puntuación directa a puntuación transformada (calificación)

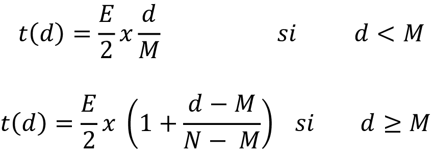
El cálculo de la calificación (puntuación transformada) de las pruebas de la fase de oposición se establece sobre la base de la puntuación directa mínima (nota de corte) necesaria para superar el ejercicio, determinada por el Tribunal Calificador.

Reconversión de notas estableciendo nota de corte:

Imagen: /datos/imagenes/disp/2025/261/21859_16244875_1.png

Siendo:

t(d): Calificación (puntuación transformada) del opositor.

d: Puntuación directa del opositor.

M: Puntuación directa mínima para superar el ejercicio establecida por el Tribunal (nota de corte).

N: Puntuación directa máxima obtenible en el ejercicio.

E: Calificación máxima obtenible en el ejercicio (puntuación transformada máxima).

ANEXO IV
Adaptaciones

Listado de adaptaciones compensatorias (Señalar con una cruz lo que corresponda)

Don/Doña ................................................................................................................, con DNI número ............................................, solicita:

Ampliación del tiempo de examen.
  Colocación en las primeras filas.
  Mesa adaptada para usuarios de sillas de ruedas.
  Aumento del nivel de iluminación.
  Preguntas de examen y folios ampliados en tamaño.
  Preguntas de examen y folios en alto contraste.
  Transcripción en sistema Braille.
  Posibilidad de uso de máquinas de escribir en sistema Braille.
  Posibilidad de uso de medios de ampliación de imagen.
  Instrucciones generales e instrucciones durante las pruebas, siempre por escrito.
  Disponibilidad de equipos de frecuencia modulada para personas con deficiencia auditiva.
  Intérprete de lengua de signos.
  Posibilidad de uso del ordenador e impresora u otras ayudas técnicas para la comunicación escrita.
  Necesidad de alimentación eléctrica para ayudas técnicas para la comunicación.
  Otras:

En ........................................, a ........ de ..................... de ………….

Fdo.: ………………………….

Destinatario: Dirección de Recursos Humanos y Organización.

ANÁLISIS

  • Rango: Resolución
  • Fecha de disposición: 22/10/2025
  • Fecha de publicación: 30/10/2025
  • Convocatoria. Subgrupo C1 40 plazas.

subir

Agència Estatal Butlletí Oficial de l'Estat

Avda. de Manoteras, 54 - 28050 Madrid