Contingut no disponible en català

Us trobeu en

Documento BOE-A-2021-4719

Resolución de 18 de marzo de 2021, de la Secretaría General de Pesca, por la que se establecen las posibilidades de pesca individuales, así como cuotas individuales de pesca para el año 2021, de los buques censados en la modalidad de palangre de fondo autorizados a faenar en 2021 en el caladero Cantábrico y Noroeste.

Publicado en:
«BOE» núm. 72, de 25 de marzo de 2021, páginas 34945 a 34947 (3 págs.)
Sección:
III. Otras disposiciones
Departamento:
Ministerio de Agricultura, Pesca y Alimentación
Referencia:
BOE-A-2021-4719

TEXTO ORIGINAL

El artículo 2.6 de la Orden AAA/2534/2015, de 17 de noviembre, por la que se establece un plan de gestión para los buques censados en el caladero nacional Cantábrico y Noroeste, determina la distribución con carácter individual de las posibilidades de pesca de merluza entre los buques de la modalidad de palangre de fondo del Cantábrico y Noroeste.

La Orden APA/315/2020, de 1 de abril, modificó varias Órdenes entre ellas la Orden AAA/2534/2015. En concreto el apartado b) del artículo 2.6 para el que fijó una nueva redacción indicando que, entre los buques de palangre de fondo autorizados a faenar en aguas del caladero Cantábrico y Noroeste, dicha distribución se hará mediante resolución de la Secretaría General de Pesca publicada en el «Boletín Oficial del Estado», de modo lineal para el primer año de reparto, partiendo para ello de las posibilidades de pesca globales de merluza fijadas para esta modalidad de acuerdo al porcentaje fijado el anexo VII. A partir del año 2020 la distribución se hará en función de las posibilidades de pesca de que disponga cada buque a 1 de enero del año en cuestión, sobre la base de las transmisiones definitivas realizadas hasta el 31 de diciembre del año anterior.

El Reglamento (UE) 2021/92, de 28 de enero, por el que se establece para 2021 las posibilidades de pesca para determinadas poblaciones y grupos de poblaciones de peces, aplicables en aguas de la Unión y, en el caso de los buques pesqueros de la Unión, en determinadas aguas no pertenecientes a la Unión, establece el TAC 2021 para el stock HKE/8C3411 y la cuota para España de 5.320 t.

En aplicación del Reglamento (CE) 847/1996, de 6 de mayo, por el que se establecen condiciones adicionales para la gestión anual de los TAC y las cuotas, así como en virtud de la Orden APA/315/2020, se ha incorporado en el reparto de merluza las flexibilidades interanuales generadas en 2020 por cada barco y grupo de barcos, de forma que hasta el 10 % de la cuota adaptada 2020 no capturada en dicho año, es posible traspasarla a 2021. Adicionalmente, la diferencia entre la flexibilidad interanual global de España y la suma de las flexibilidades generadas por cada barco y grupos de barcos, se ha repartido en proporción a las posibilidades que cada modalidad tiene del stock HKE/8C3411, y las que cada barco tiene dentro de la modalidad.

También se ha procedido a deducir a los buques de las distintas modalidades con posibilidades de HKE/8C3411 que realizaron sobrepesca en 2020, dichas cantidades sobrepescadas. A las cantidades sobrepescadas se les han aplicado los factores multiplicadores previstos en el artículo 105 del Reglamento del Consejo (EC) N.º 1224/2009, de 20 de noviembre, por el que se establece un régimen de comunitario de control para garantizar el cumplimiento de las normas de las política pesquera común, previsión que quedó recogida en el artículo 9, apartado 3 de la norma APA/315/2020, de 1 de abril. Hay que tener en cuenta que la cantidad en concepto de sobrepesca más coeficiente multiplicador (multa) deducida a los buques con sobrepesca como indicado, forma parte de la asignación que España tiene para 2021, por lo que procede repartir este montante de forma independiente, por posibilidades de pesca, entre las distintas modalidades.

En base a lo anterior esta Secretaria General de Pesca, una vez oído el sector interesado, resuelve:

Primero.

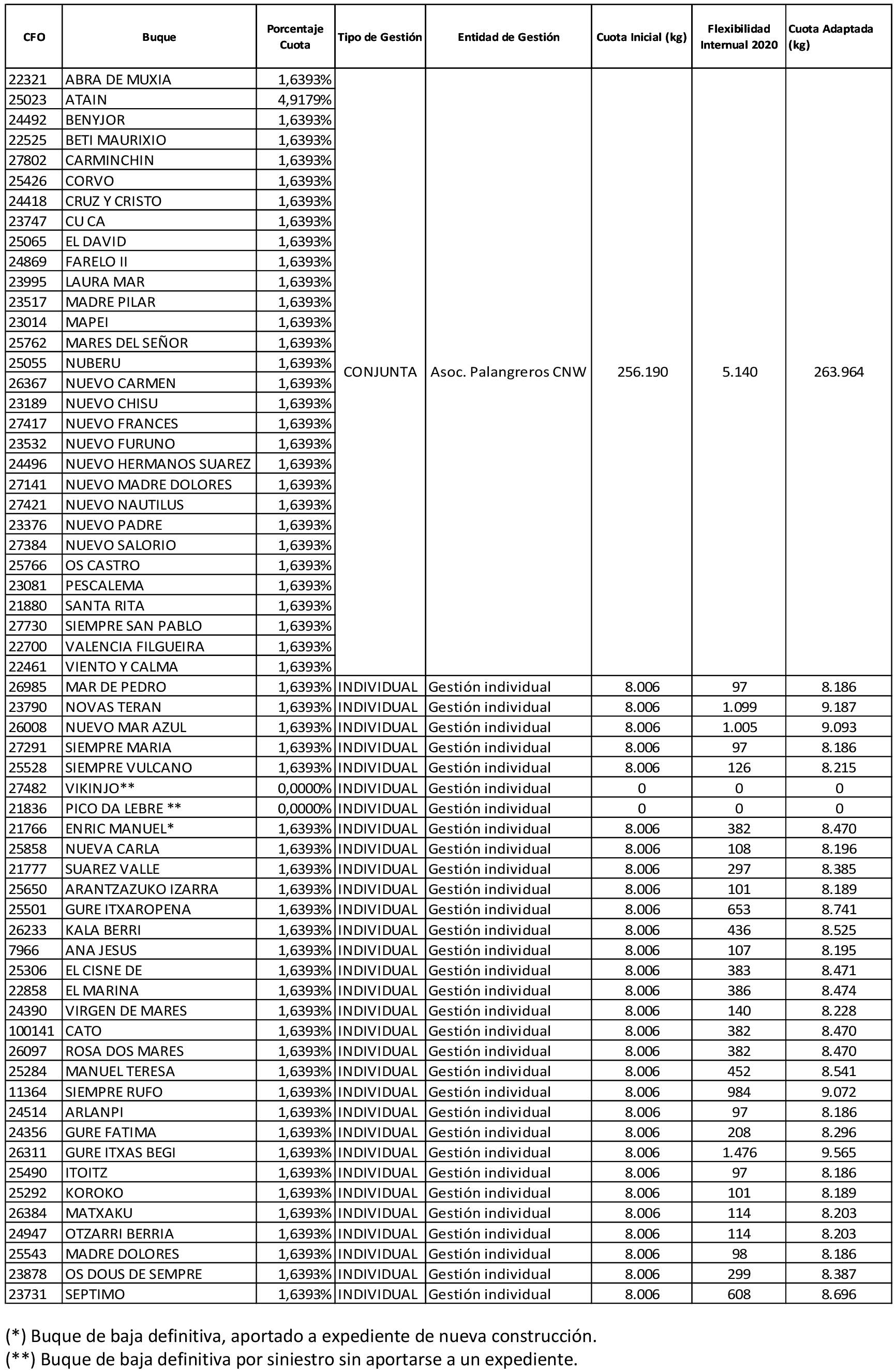
Publicar como anexo de la presente resolución el censo de buques pesqueros de palangre de fondo censados en el Caladero Cantábrico y Noroeste que pueden faenar en las aguas de dicho caladero durante el año 2021, las posibilidades de pesca individuales de cada uno de ellos, y su cuota 2021.

Se ha incorporado la flexibilidad interanual generada en 2020 por cada barco y grupo de barcos, de forma que hasta el 10 % de la cuota adaptada 2020 no capturada en dicho año, se traspasa a 2021. Adicionalmente, la diferencia entre la flexibilidad interanual global de España y la suma de las flexibilidades generadas por cada barco y grupos de barcos, se ha repartido en proporción a las posibilidades que cada modalidad tiene del stock HKE/8C3411, y las que cada barco tiene dentro de la modalidad.

Segundo.

Esta resolución no pone fin a la vía administrativa, por lo que, en el plazo de un mes, se podrá interponer recurso de alzada ante el Ministro de Agricultura, Pesca y Alimentación, de conformidad con lo establecido en los artículos 121 y 122 en relación con el 112.1 de la Ley 39/2015, de 1 de octubre, del Procedimiento Administrativo Común de las Administraciones Públicas.

Tercero.

Esta resolución produce efectos para toda la campaña de pesca 2021, desde el 1 de enero hasta el 31 de diciembre.

Madrid, 18 de marzo de 2021.–La Secretaria General de Pesca, Alicia Villauriz Iglesias.

ANEXO
Censo de buques de palangre de fondo del Cantábrico y Noroeste con indicación de sus posibilidades de pesca, así como su cuota de HKE/8C3411 definitiva 2021

Imagen: /datos/imagenes/disp/2021/72/4719_9034549_1.png

 

subir

Agència Estatal Butlletí Oficial de l'Estat

Avda. de Manoteras, 54 - 28050 Madrid