Content not available in English

You are in

Documento BOE-A-2018-7014

Orden ETU/531/2018, de 25 de mayo, por la que se aprueba el pliego de cláusulas administrativas particulares y de prescripciones técnicas para el otorgamiento por subasta de concesiones de uso privativo de dominio público radioeléctrico en la banda de 3600-3800 MHz y se convoca la correspondiente subasta.

Publicado en:
«BOE» núm. 128, de 26 de mayo de 2018, páginas 55021 a 55044 (24 págs.)
Sección:
III. Otras disposiciones
Departamento:
Ministerio de Energía, Turismo y Agenda Digital
Referencia:
BOE-A-2018-7014

TEXTO ORIGINAL

El Plan Nacional 5G 2018-2020 publicado por el Ministerio de Energía, Turismo y Agenda Digital el 1 de diciembre de 2017 tiene como principal objetivo situar a nuestro país entre los más avanzados en el desarrollo de esta nueva tecnología. La tecnología 5G no solo constituye el nuevo paradigma de las comunicaciones móviles, sino que será el componente tecnológico esencial en la transformación digital con un efecto transversal sobre la sociedad y la economía en los países más avanzados durante la próxima década. Las principales soluciones habilitadoras para dicha transformación digital, el Internet de las cosas y el big data, la robótica, la realidad virtual o la ultra alta definición, se soportarán sobre la tecnología 5G. Para ello, las nuevas redes e infraestructuras de comunicaciones móviles proporcionarán la base para un incremento sin precedentes en el número de dispositivos conectados, los volúmenes de transferencia de datos y las capacidades de gestión remota en tiempo real, que constituirán el sustrato tecnológico básico para desarrollar la transformación digital.

Uno de los principales ámbitos de actuación recogidos en el Plan Nacional 5G es el de la gestión y planificación del espectro radioeléctrico, que contempla diferentes acciones destinadas a garantizar la disponibilidad en los plazos adecuados de las diferentes bandas de frecuencias necesarias para la prestación de los servicios de comunicaciones sobre redes 5G.

La banda 3,4-3,8 GHz (3400-3800 MHz) ha sido identificada como la banda principal para la introducción de servicios basados en 5G en Europa, incluso antes de 2020, teniendo en cuenta que en la Unión Europea el uso de esta banda de frecuencias para los servicios de comunicaciones móviles se encuentra ya armonizado. Así ha sido señalado por el Grupo de Política del Espectro Radioeléctrico de la Unión Europea (RSPG) que aprobó, en noviembre de 2016, la Opinión en la que identifica las bandas de frecuencias para ser utilizadas inicialmente para el lanzamiento del 5G en Europa, y en enero de 2018 ha aprobado una segunda Opinión sobre la hoja de ruta del espectro radioeléctrico para 5G en Europa que incluye también aspectos estratégicos relacionados con la regulación del espectro para las redes 5G.

Por todo ello, el Plan Nacional 5G contempla la licitación con carácter prioritario de los 200 MHz de la banda 3,6-3,8 GHz (3600-3800 MHz) que se encuentra disponible para los servicios de comunicaciones electrónicas, tras el correspondiente proceso de liberación de sus anteriores usos.

En relación con las condiciones de uso de esta banda de frecuencias, la Orden ETU/416/2018, de 20 de abril, por la que se modifica la orden ETU/1033/2017, de 25 de octubre, por la que se aprueba el Cuadro Nacional de Atribución de Frecuencias, ha venido a establecer, a través de la Nota de Utilización Nacional UN-107, un límite en la cantidad de frecuencias a utilizar por un mismo operador o grupo empresarial consistente en un máximo, en cualquier ámbito territorial, de 120 MHz, en el conjunto de la banda 3,4-3,8 GHz, todo ello de conformidad con lo previsto en el artículo 6.1 del Reglamento sobre el uso del dominio público radioeléctrico, aprobado por el Real Decreto 123/2017, de 24 de febrero.

La presente licitación, en línea con los objetivos antes citados, pretende poner a disposición de los operadores las partes de esta banda de frecuencias cuyos derechos de explotación están disponibles para ser licitados, optimizando la eficiencia de uso de este recurso.

El artículo 63.2 de la Ley 9/2014, de 9 de mayo, General de Telecomunicaciones, dispone que cuando el Ministerio de Industria, Energía y Turismo (ahora Ministerio de Energía, Turismo y Agenda Digital) limite el número de concesiones demaniales a otorgar en una determinada banda de frecuencias, se tramitará un procedimiento de licitación para el otorgamiento de las mismas que respetará en todo caso los principios de publicidad, concurrencia y no discriminación para todas las partes interesadas. Para ello se aprobará, mediante orden del Ministro de Energía, Turismo y Agenda Digital, la convocatoria y el pliego de bases por el que se regirá la licitación. El procedimiento de licitación deberá resolverse mediante orden del Ministro de Energía, Turismo y Agenda Digital, en un plazo máximo de ocho meses desde la convocatoria de la licitación.

De acuerdo con la disposición adicional primera del Reglamento sobre el uso del dominio público radioeléctrico, aprobado por Real Decreto 123/2017, de 24 de febrero, la banda de 3400 a 3800 MHz tiene limitado el número de concesiones demaniales para su uso.

Mediante la presente orden se procede a la convocatoria de una subasta y a la aprobación del pliego y de las reglas que la van a regir, para la licitación de los derechos de uso de las frecuencias de la banda de 3600-3800 MHz actualmente disponibles para ser licitados.

Las frecuencias cuyos derechos de uso están actualmente disponibles para ser licitados se refieren, en la banda de 3600-3800 MHz, a 40 bloques de 5 MHz de ámbito estatal para modalidad de comunicación TDD (Time Division Duplex), con las características técnicas establecidas en la Nota UN-107 del Cuadro Nacional de Atribución de Frecuencias y en las Decisiones de armonización técnica aprobadas en la Unión Europea.

La licitación se desarrollará a través del mecanismo de subasta simultánea ascendente de múltiples rondas.

Se ha fijado un precio de salida de dos millones quinientos mil euros (2.500.000,00 euros) para cada bloque de 5 MHz que es objeto de licitación. Dicho tamaño de los bloques licitados y el precio de salida se han establecido con el objeto de facilitar la participación en la licitación de los operadores que cuentan con una menor cuota de mercado y promover de esta manera la competencia en el acceso al espectro.

De conformidad con lo establecido en el artículo 66 Ley General de Telecomunicaciones, en la explotación de estos bloques de frecuencia se podrá utilizar cualquier tecnología para prestar servicios de comunicaciones electrónicas, de acuerdo con el principio de neutralidad tecnológica, así como se autoriza la aplicación del principio de neutralidad de servicios.

La duración de las licencias que sean otorgadas como resultado de esta licitación se ha fijado en 20 años, sin posibilidad de renovación automática, conforme a lo previsto en el artículo 64.2 de la Ley General de Telecomunicaciones. Con dicho plazo se pretende facilitar un marco estable y de certidumbre a los operadores que accedan a la explotación de estas frecuencias, de manera que se facilite la realización de las inversiones necesarias para desplegar las nuevas redes de comunicaciones móviles y la recuperación de las mismas.

Por lo anterior, resuelvo:

Primero.

Se aprueba el pliego de cláusulas administrativas particulares y de prescripciones técnicas, que figura como anexo I de esta orden, y se convoca la subasta económica pública para la adjudicación, mediante procedimiento abierto, de concesiones de uso privativo de dominio público radioeléctrico en la banda de 3600-3800 MHz.

Segundo.

Se aprueba el modelo de solicitud para la participación en la subasta, que figura como anexo II de esta orden.

Tercero.

Se aprueban las reglas y procedimientos de la subasta, que figuran como anexo III de esta orden.

Cuarto.

Se aprueba el modelo de oferta económica a presentar en cada ronda, que figura como anexo IV de esta orden.

Quinto.

Se aprueba el modelo de declaración responsable de no estar incurso en ninguna de las prohibiciones de contratar que establece el artículo 71 de la Ley 9/2017, de 8 de noviembre, de Contratos del Sector Público, por la que se transponen al ordenamiento jurídico español las Directivas del Parlamento Europeo y del Consejo 2014/23/UE y 2014/24/UE, de 26 de febrero de 2014, que figura como anexo V de esta orden.

Sexto.

Lo dispuesto en esta orden será aplicable desde el día siguiente al de su publicación en el «Boletín Oficial del Estado».

Madrid, 25 de mayo de 2018.–El Ministro de Energía, Turismo y Agenda Digital, Álvaro Nadal Belda.

ANEXO I
Pliego de cláusulas administrativas particulares y de prescripciones técnicas para el otorgamiento por subasta económica pública, mediante procedimiento abierto, de concesiones de uso privativo de dominio público radioeléctrico en la banda 3600-3800 MHz

ÍNDICE

Título I. Objeto y régimen jurídico y reglas generales de la subasta.

Capítulo I. Objeto y régimen jurídico.

Cláusula 1. Objeto.

Cláusula 2. Régimen jurídico.

Cláusula 3. Mesa de Adjudicación.

Cláusula 4. Calendario.

Capítulo II. Reglas generales de la licitación y límites de espectro por operador.

Cláusula 5. Reglas generales de la subasta.

Título II. Procedimiento de participación en la subasta

Capítulo I. Presentación de solicitudes para participar en la subasta.

Cláusula 6. Capacidad para presentar solicitudes.

Cláusula 7. Solicitud de participación en la subasta.

Cláusula 8. Documentación a presentar junto a la solicitud de participación en la subasta.

Cláusula 9. Garantía provisional.

Cláusula 10. Lugar y fecha de presentación de las solicitudes.

Capítulo II. Calificación de las solicitudes.

Cláusula 11. Análisis de las solicitudes y calificación de la documentación que las acompaña.

Título III. Desarrollo del proceso de licitación a través de subasta simultánea ascendente de múltiples rondas.

Capítulo I. Inicio de la subasta.

Cláusula 12. Determinación del inicio de la subasta.

Capítulo II. Desarrollo de la subasta.

Cláusula 13. Descripción general del proceso de subasta.

Cláusula 14. Límites en la disponibilidad de frecuencias por un mismo operador.

Capítulo III. Resolución de la subasta.

Cláusula 15. Resolución de la subasta.

Cláusula 16. Publicación de la resolución de la subasta.

Título IV. Actuaciones posteriores a la resolución de la subasta.

Cláusula 17. Formalización de las concesiones demaniales.

Cláusula 18. Pago del importe de la subasta

Cláusula 19. Gastos imputables a los titulares de las concesiones demaniales.

Título V. Régimen de las concesiones demaniales.

Cláusula 20. Plazo de las concesiones demaniales.

Cláusula 21. Ámbito de las concesiones demaniales.

Cláusula 22. Extinción de las concesiones demaniales.

Cláusula 23. Uso eficaz y eficiente del dominio público radioeléctrico.

Cláusula 24. Tasa por reserva del dominio público radioeléctrico.

Cláusula 25. Explotación y uso de las concesiones demaniales en régimen de competencia y equilibrio económico-financiero de la concesión.

Título VI. Frecuencias.

Cláusula 26. Neutralidad tecnológica y de servicios.

Cláusula 27. Condiciones de utilización de los bloques de frecuencias en zonas fronterizas.

Cláusula 28. Compatibilidad entre bloques dentro de la banda de 3600-3800 MHz.

Cláusula 29. Régimen de autorización de las estaciones fijas y restricciones de uso.

Cláusula 30. Evaluación de la conformidad de los equipos.

TÍTULO I
Objeto, régimen jurídico y reglas generales de la subasta
CAPÍTULO I
Objeto y régimen jurídico
Cláusula 1. Objeto.

El presente pliego tiene por objeto el establecimiento de las cláusulas administrativas particulares y de prescripciones técnicas para el otorgamiento, por subasta económica pública, de concesiones de uso privativo de dominio público radioeléctrico (concesiones demaniales) en la banda 3600-3800 MHz.

Las concesiones demaniales licitadas son 40 concesiones demaniales de ámbito estatal en la banda 3600 a 3800 MHz, que asignarán cada una de ellas el uso de un bloque de 5 MHz para comunicaciones ascendentes y descendentes en la misma frecuencia, pero a intervalos de tiempo diferentes (TDD o Time Division Duplex). La distribución de los bloques de 5 MHz dentro de la banda de 3600-3800 MHz será la establecida en el anexo de la «Decisión de ejecución de la Comisión 2014/276/UE», de 2 de mayo de 2014, por la que se modifica la Decisión 2008/411/CE relativa a la armonización de la banda de frecuencias de 3400-3800 MHz para sistemas terrenales capaces de prestar servicios de comunicaciones electrónicas en la Comunidad [notificada con el número C(2014) 2798].

Cláusula 2. Régimen jurídico.

El régimen jurídico básico de las concesiones demaniales está constituido por la Ley 9/2014, de 9 de mayo, General de Telecomunicaciones y sus disposiciones de desarrollo, en particular el Reglamento sobre el uso del dominio público radioeléctrico aprobado por el Real Decreto 123/2017, de 24 de febrero, la Orden ETU/1033/2017, de 25 de octubre, por la que se aprueba el Cuadro Nacional de Atribución de Frecuencias, modificada por la Orden ETU/416/2018, de 20 de abril, el Real Decreto 1066/2001, de 28 de septiembre, por el que se aprueba el Reglamento que establece condiciones de protección del dominio público radioeléctrico, restricciones a las emisiones radioeléctricas y medidas de protección sanitaria frente a emisiones radioeléctricas; la Orden CTE/23/2002, de 11 de enero, por la que se establecen condiciones para la presentación de determinados estudios y certificaciones por operadores de servicios de radiocomunicaciones; así como por las bases establecidas en el presente pliego.

En todo lo no previsto en el presente pliego en relación con la convocatoria, adjudicación, modificación, transmisión, cesión y extinción de los títulos otorgados mediante este procedimiento de licitación será de aplicación la Ley 33/2003, de 3 de noviembre, de Patrimonio de las Administraciones Públicas.

Cláusula 3. Mesa de Adjudicación.

La Mesa de Adjudicación estará compuesta del modo siguiente:

Presidente: El Director General de Telecomunicaciones y Tecnologías de la Información.

Vocales:

El Subdirector General de Ordenación de las Telecomunicaciones.

El Subdirector General de Planificación y Gestión del Espectro Radioeléctrico.

La Vocal Asesora de la Subdirección General de Planificación y Gestión del Espectro Radioeléctrico.

Un Abogado del Estado adscrito al Ministerio de Energía, Turismo y Adenda Digital.

Un Delegado de la Intervención General del Estado.

Secretario, designado por el Presidente entre funcionarios de la Secretaría de Estado para la Sociedad de la Información y la Agenda Digital con el nivel mínimo de Jefe de Servicio, que actuará con voz, pero sin voto.

Cláusula 4. Calendario.

La subasta se desarrollará con arreglo al siguiente calendario.

1. Plazo de presentación de solicitudes: Hasta las 13 horas del 29 de junio de 2018.

2. Fase de calificación documental de los licitadores: La Mesa de Adjudicación analizará las solicitudes presentadas, calificará la documentación que les acompañe y decidirá, antes del 13 de julio de 2018, acerca de la admisión o el rechazo de los licitadores.

3. Proceso de subasta: comenzará antes del 20 de julio de 2018.

CAPÍTULO II
Reglas generales de la licitación y límites de espectro por operador
Cláusula 5. Reglas generales de la subasta.

La licitación se desarrollará a través del mecanismo de subasta simultánea ascendente de múltiples rondas.

En caso de ausencia de licitadores o de que no se haya admitido a ningún licitador, la subasta se declarará desierta. En caso de que para alguna de las concesiones demaniales licitadas no se haya formulado oferta económica o ninguna haya sido admitida, la misma se declarará desierta, pudiendo adjudicarse las restantes.

Cada licitador sólo podrá presentar una única solicitud de participación en la subasta, según modelo incluido en el anexo II de la orden por la que se aprueba el presente pliego y no podrá, por lo tanto, suscribir o participar en ninguna otra. La presentación o participación por un licitador en más de una solicitud de participación en la subasta dará lugar a que ninguna de ellas sea admitida.

Cada licitador sólo podrá formular una oferta económica en cada ronda y por cada concesión demanial solicitada, según modelo incluido en el anexo IV de la orden por la que se aprueba el presente pliego.

Un licitador no podrá presentar en cada ronda ofertas económicas correspondientes a concesiones demaniales cuyo efecto acumulado, si resultara adjudicatario de todas ellas, implicará el incumplimiento del límite máximo en la disponibilidad de frecuencias por un mismo operador a que se refiere la cláusula 14. En caso contrario, ninguna oferta económica será admitida en dicha ronda.

TÍTULO II
Procedimiento de participación en la subasta
CAPÍTULO I
Presentación de solicitudes para participar en la subasta
Cláusula 6. Capacidad para presentar solicitudes.

Podrán presentarse a esta subasta las personas físicas o jurídicas que ostenten la condición de operador, conforme a lo establecido en los artículos 6 y 7 de la Ley 9/2014, de 9 de mayo, General de Telecomunicaciones.

Cláusula 7. Solicitud de participación en la subasta.

Los operadores interesados presentarán la solicitud de participación en la subasta firmada y con sujeción al modelo que figura como anexo II de la orden por la que se aprueba el presente pliego.

La solicitud podrá ser firmada directamente por el operador o por un representante legal, debidamente apoderado.

La presentación de la solicitud presume la aceptación incondicionada por el operador interesado de las cláusulas del presente pliego y de las reglas y procedimientos de la subasta (anexo III de la orden) y la declaración responsable de que reúne todas las condiciones exigidas en la cláusula 8.

Cada solicitante, siguiendo el modelo que figura como anexo II de la orden por la que se aprueba el presente pliego, deberá indicar el número total de puntos de elegibilidad que va a utilizar. Este número define el nivel inicial de elegibilidad y no podrá incrementarse a lo largo del proceso de la subasta.

Los puntos de elegibilidad para cada concesión de frecuencias se especifican en la tabla 1 del anexo III de la presente orden.

Cláusula 8. Documentación a presentar junto a la solicitud de participación en la subasta.

A la solicitud se acompañará, en sobre cerrado y firmado por el representante del licitador, la siguiente documentación administrativa, que contendrá un ejemplar de los siguientes documentos, los cuales pueden ser originales o copias de los mismos, con carácter de auténticos conforme a la legislación vigente:

1. Documentos que acrediten la capacidad del solicitante:

a) Documentos que acrediten la personalidad del solicitante: serán los que correspondan dentro de los indicados en el apéndice que se inserta al final de la orden.

b) Certificación de estar inscrito en el Registro de Operadores, a que se refiere el artículo 7 de la Ley 9/2014, de 9 de mayo, General de Telecomunicaciones.

En el caso de que, en el momento de la convocatoria del concurso, el solicitante hubiera efectuado la notificación a que se refiere el artículo 6 de la Ley 9/2014, de 9 de mayo, General de Telecomunicaciones, pero no se hubiera procedido a su inscripción en el Registro de Operadores, aportará copia de la notificación efectuada, sin perjuicio de que deba aportar tan pronto como le sea posible la certificación de estar inscrito en el Registro de Operadores, que, en todo caso, será un requisito para la adjudicación de la concesión demanial.

2. Documentos que acrediten la representación. Los que comparezcan o firmen solicitudes en nombre de otros deberán presentar poder bastante al efecto, debidamente inscrito en el Registro Mercantil y fotocopia compulsada o legitimada notarialmente de su documento nacional de identidad o, en el supuesto de ciudadanos extranjeros, del documento equivalente.

Si el solicitante fuese una persona jurídica extranjera, su representante deberá aportar el documento que acredite su domiciliación en España. En este caso, se entenderá que el domicilio del representante coincide con el domicilio a efectos de notificaciones de la persona representada.

3. Declaración responsable de no estar incurso el licitador en las prohibiciones para contratar conforme a lo dispuesto en el artículo 71 de la Ley 9/2017, de 8 de noviembre, de Contratos del Sector Público.

La declaración responsable anterior comprenderá expresamente la circunstancia de hallarse al corriente en el cumplimiento de las obligaciones tributarias y frente a la Seguridad Social impuestas por las disposiciones vigentes, sin perjuicio de que la justificación acreditativa de tal requisito deba realizarse antes del otorgamiento de la concesión demanial. La acreditación y justificación de hallarse al corriente en el cumplimiento de las obligaciones tributarias y frente a la Seguridad Social se realizará conforme a lo dispuesto en el artículo 15 del Reglamento General de la Ley de Contratos de las Administraciones Públicas, aprobado por el Real Decreto 1098/2001, de 12 de octubre.

La declaración se presentará con sujeción al modelo que figura como anexo V de la orden por la que se aprueba el presente pliego.

4. Acreditación de la solvencia económica, financiera y técnica o profesional.

4.1 Solvencia económica y financiera: Las empresas deberán acreditar, mediante las cuentas anuales presentadas en el Registro Mercantil, que el volumen anual de negocios referido al mejor ejercicio dentro de los tres últimos disponibles tenga un importe igual o superior a 90 millones de euros.

4.2 Solvencia técnica o profesional: Las empresas deberán aportar la relación de las principales redes instaladas y servicios de comunicaciones electrónicas prestados en los tres últimos años, de igual o similar naturaleza que los que constituyen el objeto de las concesiones demaniales, cuyo importe anual acumulado en el año de mayor ejecución sea igual o superior a 42 millones de euros.

Si el licitador es un operador de comunicaciones electrónicas de reciente creación, su solvencia económica, financiera y técnica o profesional podrá ser acreditada a través de la solvencia de cualquiera de sus socios o participantes en proporción al porcentaje accionarial o de participación que asuma en el licitador.

5. Declaración de las personas extranjeras de someterse a la jurisdicción de los Juzgados y Tribunales españoles de cualquier orden para todas las incidencias que, de modo directo o indirecto, pudieran surgir de actos realizados al amparo de la concesión otorgada, con renuncia, en su caso, al fuero jurisdiccional extranjero que pudiera corresponder al solicitante.

6. El documento o documentos de constitución ante el Ministerio de Energía, Turismo y Agenda Digital de la garantía provisional en la modalidad de aval por importe de la cuantía que resulte de multiplicar por 50.000 euros los puntos de elegibilidad especificados por el licitador en la solicitud de participación en la subasta, cuyo modelo figura como anexo II de la orden por la que se aprueba el presente pliego, según la siguiente fórmula:

Cuantía de la garantía provisional (euros) = N.º puntos elegibilidad x 50.000 euros

7. Identificación de un número de teléfono, número de fax, datos de identificación (nombre y apellidos, NIF, y dirección de correo electrónico) de cada una las personas autorizadas por el licitador a acceder al portal del licitador establecido al efecto y presentar ofertas durante la celebración de la subasta, así como para recibir notificaciones, información y comunicaciones de la Mesa de Adjudicación. Cualesquiera de las direcciones de correo electrónico indicadas se utilizarán asimismo para el envío del aviso previsto en el artículo 41 de la Ley 39/2015, de 1 de octubre del Procedimiento Administrativo Común de las Administraciones Públicas, de puesta a disposición del licitador en el registro de la sede electrónica del Ministerio de Energía, Turismo y Agenda Digital, de las notificaciones que deban efectuarse en virtud del presente pliego y de las comunicaciones relativas al proceso de subasta. Cada licitador podrá identificar un máximo de 3 personas autorizadas, que deberán disponer de un certificado digital de persona física con representación de persona jurídica.

8. Los documentos mencionados en esta cláusula que se aporten en lengua extranjera deberán presentarse traducidos oficialmente al castellano.

Cláusula 9. Garantía provisional.

La garantía provisional responderá de la continuidad en la participación del licitador en la subasta hasta su resolución y adjudicación de las concesiones demaniales.

Para el licitador que en cada concesión demanial licitada tenga la mayor puja vigente al final de la última ronda, la garantía responderá también del cumplimiento de lo establecido en la cláusula 15, así como, antes de la adjudicación de la concesión demanial, del ingreso efectivo en el Tesoro Público del importe correspondiente a la primera anualidad del precio final por el que se adjudique la concesión demanial en los términos establecidos para cada concesión en las cláusulas 15 y 18.

La garantía provisional se extinguirá y será devuelta a los licitadores inmediatamente después de la adjudicación de las concesiones demaniales.

Cláusula 10. Lugar y fecha de presentación de las solicitudes.

Las solicitudes conteniendo la documentación señalada anteriormente, dirigidas al Ministro de Energía, Turismo y Agenda Digital, deberán entregarse en el Registro Auxiliar de la Secretaría de Estado para la Sociedad de la Información y la Agenda Digital sito en la calle Poeta Joan Maragall, 41, 28046 Madrid.

El sobre que contenga la documentación administrativa que debe presentarse junto con la solicitud de participación en la subasta debe estar cerrado, identificado en su exterior (Documentación a presentar junto a la solicitud de participación en la subasta), con indicación de la licitación, firmado por el licitador o la persona que lo represente y con indicación del nombre y apellidos o razón social de la empresa. Asimismo, en el exterior del sobre deberá figurar el número de teléfono y las direcciones de correo electrónico a que se refiere el apartado 7 de la cláusula 8.

En el interior del sobre, en hoja independiente, se hará constar su contenido, enunciado numéricamente.

CAPÍTULO II
Calificación de las solicitudes
Cláusula 11. Análisis de las solicitudes y calificación de la documentación que les acompaña.

La Mesa de Adjudicación examinará las solicitudes presentadas y la documentación que les acompaña. Si la Mesa de Adjudicación observase defectos subsanables en la documentación presentada, podrá conceder un plazo no superior a tres días hábiles para que el licitador subsane el error, bajo apercibimiento expreso de exclusión del licitador en caso contrario. Tratándose de defectos insubsanables, la Mesa de Adjudicación resolverá en todo caso el rechazo del licitador.

Una vez concluido el trabajo de calificación, la Mesa de Adjudicación resolverá, dentro del plazo fijado en la cláusula 4, sobre la admisión o el rechazo de los licitadores presentados.

La Mesa de Adjudicación notificará a cada uno de los licitadores la decisión sobre la admisión o rechazo a participar en la subasta. Asimismo, publicará en la página web del Ministerio de Energía, Turismo y Agenda Digital el listado de los licitadores admitidos y rechazados a participar en la subasta.

TÍTULO III
Desarrollo del proceso de licitación a través de subasta simultánea ascendente de múltiples rondas
CAPÍTULO I
Inicio de la subasta
Cláusula 12. Determinación del inicio de la subasta.

En caso de que se haya admitido a participar en la licitación a un solo licitador, no se procederá a iniciar la subasta. El único licitador admitido deberá concretar en un plazo de 10 días hábiles las concesiones demaniales que solicita a precios de salida, dentro siempre de los límites en la disponibilidad de frecuencias por un mismo operador establecidos por la cláusula 14, y sin superar los puntos de elegibilidad señalados en la solicitud de participación en la subasta, cuyo modelo figura como anexo II de la orden por la que se aprueba el presente pliego.

En caso de que se haya admitido a participar en la licitación a dos o más licitadores, se procederá a iniciar la subasta. La Mesa de Adjudicación, dentro del plazo a que se refiere la cláusula 4, determinará el día y la hora en que se inicia la primera ronda de la subasta, y lo comunicará a los licitadores admitidos a participar en la misma.

CAPÍTULO II
Desarrollo de la subasta
Cláusula 13. Descripción general del proceso de subasta.

Las reglas y los procedimientos que van a regir el desarrollo de la subasta están detallados en el anexo III de la orden por la que se aprueba el presente pliego, siendo los mismos de obligado cumplimiento por los licitadores.

La presentación de ofertas por los licitadores y la provisión de información a los mismos se hará a través del portal del licitador establecido al efecto por el Ministerio de Energía, Turismo y Agenda Digital.

A cada uno de los licitadores admitidos se le proporcionará información acerca de cómo acceder y utilizar los mecanismos establecidos en la mencionada sede electrónica.

Cláusula 14. Límites en la disponibilidad de frecuencias por un mismo operador.

A efecto de garantizar una mayor competencia en el mercado de los servicios de comunicaciones electrónicas, en la presente subasta se tendrá en cuenta el cumplimiento de los límites en la disponibilidad de frecuencias por un mismo operador, de forma que si las concesiones demaniales por las que puja un licitador implica que dicho licitador supera los límites establecidos, no será validada en la subasta la citada puja.

De acuerdo con lo establecido en el artículo 62.8 de la Ley 9/2014, de 9 de mayo, General de Telecomunicaciones, en el capítulo VI del Título VI del Reglamento sobre el uso del dominio público radioeléctrico y en la Orden ETU/1033/2017, de 25 de octubre, por la que se aprueba el Cuadro Nacional de Atribución de Frecuencias, modificada por la Orden ETU/416/2018, de 20 de abril, el límite en la cantidad de frecuencias de que puede disponer un operador en la banda de 3400 a 3800 MHz, es de 120 MHz.

Los límites se aplicarán al operador directamente o al grupo de empresas del que forme parte en los términos establecidos por el artículo 42 del Código de Comercio.

CAPÍTULO III
Resolución de la subasta
Cláusula 15. Resolución de la subasta.

Una vez finalizado el proceso de la subasta, la Mesa de Adjudicación identificará en cada concesión demanial el licitador que tiene la mayor oferta económica válida (mayor puja vigente al final de la última ronda).

La Mesa de Adjudicación requerirá al licitador que en cada concesión demanial licitada haya resultado ganador a la finalización de la subasta (operador que tenga la mayor puja vigente al final de la última ronda) para que, dentro del plazo de 10 días hábiles, a contar desde el siguiente a aquél en que hubiera recibido el requerimiento, presente la documentación justificativa de hallarse al corriente en el cumplimiento de sus obligaciones tributarias y frente a la Seguridad Social.

Igualmente, durante dicho plazo, el licitador requerido en cada concesión demanial está obligado a presentar el justificante del ingreso efectivo en el Tesoro Público del pago de la primera anualidad correspondiente al precio final de la concesión demanial licitada (mayor puja vigente al final de la última ronda en esa concesión demanial), conforme a lo señalado en la cláusula 18.

Una vez aportada la documentación anteriormente indicada que acredite el cumplimiento de los requisitos señalados, la Mesa de Adjudicación acordará la propuesta de adjudicación, que elevará al Ministro de Energía, Turismo y Agenda Digital.

De no cumplirse con los requisitos anteriores en el plazo señalado, se procederá a la convocatoria de una nueva licitación pública de las concesiones demaniales afectadas.

La adjudicación de las concesiones demaniales se acordará por el Ministro de Energía, Turismo y Agenda Digital mediante orden una vez que se reciba la documentación anteriormente indicada, que deberá notificarse a los candidatos o licitadores y publicarse en la página web del Ministerio de Energía, Turismo y Agenda Digital.

La adjudicación de las concesiones demaniales de ámbito estatal identificadas en la tabla 1 del anexo III de la orden por la que se aprueba el presente pliego, se llevará a cabo a partir de la premisa de que las concesiones demaniales adjudicadas a un mismo licitador deben ser contiguas, en aras de alcanzar un uso más eficiente del espectro radioeléctrico.

A partir de esta premisa, se seguirán los siguientes criterios, por orden de prioridad:

1.º La propuesta conjunta que formule la totalidad de los licitadores ganadores, siempre y cuando las concesiones de frecuencias adjudicados a un mismo licitador sean contiguas.

2.º Tendrá prioridad en la elección de las concesiones demaniales el licitador ganador que haya ofrecido un mayor precio medio por MHz en el conjunto de las concesiones demaniales en las que tenga la mayor puja vigente al final de la última ronda. Dicho precio medio por MHz se determinará mediante la relación entre el precio acumulado ofertado por el licitador para el conjunto de concesiones en las que tenga la mayor puja vigente al final de la última ronda, y el número total de MHz correspondiente a dicho conjunto de concesiones.

3.º En el caso de que se produzca un empate entre varios licitadores ganadores por haber ofrecido el mismo precio medio, dicho empate se resolverá mediante sorteo. El sorteo se efectuará en acto público mediante la extracción de las papeletas identificativas de los licitadores. Dicho sorteo según el orden de extracción de papeletas determinará la prioridad en la elección de las concesiones demaniales entre los operadores entre los que se hubiera producido el empate.

Conforme al artículo 114 de la Ley 39/2015, de 1 de octubre, del Procedimiento Administrativo Común de las Administraciones Públicas, la adjudicación pone fin a la vía administrativa, y contra la misma se podrá interponer recurso potestativo de reposición ante el Ministro de Energía, Turismo y Agenda Digital en el plazo de un mes desde el día siguiente a su notificación o bien ser impugnada directamente ante la Sala de lo Contencioso Administrativo de la Audiencia Nacional en el plazo de dos meses contados desde el día siguiente a la notificación, de acuerdo con el artículo 46 de la Ley 29/1998, de 13 de julio, reguladora de la Jurisdicción Contencioso-administrativa, sin que puedan ser simultáneos ambos recursos.

Cláusula 16. Publicación de la resolución de la subasta.

La Orden del Ministro de Energía, Turismo y Agenda Digital por la que acuerde la adjudicación de las concesiones demaniales licitadas se publicará en el «Boletín Oficial del Estado» y en la página web del Ministerio de Energía, Turismo y Agenda Digital.

TÍTULO IV
Actuaciones posteriores a la resolución de la subasta
Cláusula 17. Formalización de las concesiones demaniales.

Las concesiones demaniales se formalizarán en documentos administrativos por la Secretaría de Estado para la Sociedad de la Información y la Agenda Digital, dentro del plazo de 15 días hábiles a contar desde el siguiente a la notificación de la resolución de adjudicación.

Cláusula 18. Pago del importe de la subasta

El pago del importe de la subasta para cada una de las concesiones demaniales se realizará en 20 pagos anuales durante los 20 años de duración de la concesión demanial.

El primer pago anual para cada concesión será por un importe igual a la vigésima parte de la mayor puja vigente para la concesión una vez finalizado el proceso de la subasta, conforme a lo siguiente:

1

Siendo:

P1: el importe del primer pago a realizar para cada concesión

MVP: Mayor puja vigente para la concesión una vez finalizado el proceso de la subasta

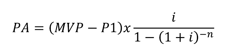
Los 19 pagos restantes se determinarán, conforme a un sistema de anualidades constantes, y su importe se calculará según el método siguiente:

2

Siendo:

PA: el importe de cada uno de los 19 pagos anuales restantes a realizar para cada concesión.

MVP: Mayor puja vigente para la concesión una vez finalizado el proceso de la subasta

P1: El importe del primer pago señalado en los epígrafes anteriores.

i = 2,35% (establecido a partir de la referencia de la subasta por parte del Tesoro Público de Obligaciones del Estado a 15 años).

n = 19 (número de anualidades restantes tras el primer pago).

El licitador que tiene la mayor oferta económica válida (mayor puja vigente al final de la última ronda) en cada una de las concesiones demaniales estará obligado a realizar el primer pago (P1) por el importe determinado conforme a lo señalado en esta cláusula y presentar ante la Secretaría de Estado para la Sociedad de la Información y la Agenda Digital el justificante del ingreso efectivo en el Tesoro Público del mismo en el plazo señalado en la cláusula 15.

Los 19 pagos restantes por el importe constante (PA) determinado conforme a lo señalado en la presente cláusula se realizarán de manera anual durante la duración de la concesión demanial. Los titulares de cada una de las concesiones demaniales estarán obligados a presentar anualmente ante la Secretaría de Estado para la Sociedad de la Información y la Agenda Digital el justificante del ingreso efectivo en el Tesoro Público del pago de la cada una de las 19 anualidades sucesivas, comenzando en 2019 y finalizando en 2037, y dentro de cada una de las anualidades, con anterioridad a la misma fecha en que en el año 2018 se hubiera formalizado la concesión, según lo señalado en la cláusula 17.

La falta de ingreso y presentación del correspondiente justificante de los pagos realizados en el plazo señalado en cualquiera de las anualidades dará lugar a la extinción de la concesión demanial, sin que ello dé lugar a ningún derecho en favor del concesionario de compensación alguna o devolución de las cantidades ya abonadas por su parte.

Cláusula 19. Gastos imputables a los titulares de las concesiones demaniales.

Serán de cuenta del adjudicatario todos los gastos y tributos derivados de la licitación, formalización, explotación y uso de las concesiones demaniales.

TÍTULO V
Régimen de las concesiones demaniales
Cláusula 20. Plazo de las concesiones demaniales.

El plazo de vigencia de las concesiones demaniales se inicia con su formalización y tendrán una duración de 20 años.

Cláusula 21. Ámbito de las concesiones demaniales.

El ámbito geográfico de cada concesión demanial comprenderá la totalidad del territorio español.

Cláusula 22. Extinción de las concesiones demaniales.

Es causa específica de extinción de la concesión demanial el que el adjudicatario no proceda al ingreso efectivo en el Tesoro Público y justificación de los pagos anuales correspondientes según lo previsto la cláusula 18.

Cláusula 23. Uso eficaz y eficiente del dominio público radioeléctrico.

El concesionario deberá acreditar el uso eficaz y eficiente del dominio público radioeléctrico durante toda la vigencia de la concesión demanial, de acuerdo con lo establecido en el artículo 12 del Reglamento sobre el uso del dominio público radioeléctrico, aprobado por el Real Decreto 123/2017, de 24 de febrero.

Cuando se constate que no se está llevando a cabo un uso eficaz o eficiente del dominio público radioeléctrico, se podrá acordar la revocación de la concesión demanial, conforme al procedimiento y en los términos establecidos en el artículo 64.5 de la Ley 9/2014, de 9 de mayo, y en el artículo 95 del citado Reglamento.

Cláusula 24. Tasa por reserva del dominio público radioeléctrico.

Los titulares de las concesiones demaniales deberán satisfacer, entre otros tributos, la tasa anual por reserva de dominio público radioeléctrico vigente en cada momento. Dicha tasa se devengará inicialmente el día de la formalización de las concesiones demaniales.

Cláusula 25. Explotación y uso de las concesiones demaniales en régimen de competencia y equilibrio económico-financiero de la concesión.

Las concesiones demaniales se otorgarán con carácter no exclusivo, pudiendo la Administración, en virtud de una competencia efectiva, otorgar en el futuro nuevas concesiones, si las disponibilidades de espectro radioeléctrico lo permitieran.

La explotación y uso de las concesiones demaniales se efectuará en régimen de competencia.

De conformidad con lo establecido en el artículo 67 de la Ley 9/2014, de 9 de mayo, General de Telecomunicaciones, y en el anexo 1 del Reglamento sobre el uso del dominio público radioeléctrico, aprobado por el Real Decreto 123/2017, de 24 de febrero, en la banda de frecuencias de 3600 a 3800 MHz se podrán efectuar operaciones de mercado secundario del espectro en los términos y con los requisitos establecidos en el Título VI del citado Reglamento.

Con la finalidad de evitar comportamientos especulativos en relación con los derechos de uso del dominio público radioeléctrico y de contribuir a neutralizar los potenciales efectos distorsionadores de la competencia, de acuerdo con lo establecido en el artículo 62.8 de la Ley 9/2014, de 9 de mayo, y en el artículo 67 del Reglamento sobre el uso del dominio público radioeléctrico, aprobado por el Real Decreto 123/2017, de 24 de febrero, no se podrán efectuar operaciones de transferencia de títulos habilitantes o cesión de derechos de uso del dominio público radioeléctrico obtenidos en esta subasta hasta transcurridos dos años desde que inicie el plazo de vigencia de la concesión demanial.

No supondrá alteración del equilibrio económico-financiero de la concesión, ni dará derecho a indemnización por alteración del referido equilibrio, la entrada de nuevos competidores en el mercado.

TITULO VI
Frecuencias
Cláusula 26. Neutralidad tecnológica y de servicios.

En la explotación de los bloques de frecuencias cuyo uso constituye el objeto de las concesiones demaniales adjudicadas se podrá utilizar cualquier tecnología para prestar servicios de comunicaciones electrónicas, de acuerdo con el principio de neutralidad tecnológica.

El principio de neutralidad tecnológica, de conformidad con lo establecido en el artículo 66.1 de la Ley 9/2014, de 9 de mayo, General de Telecomunicaciones, consiste en la posibilidad de emplear cualquier tipo de tecnología para prestar servicios de comunicaciones electrónicas, de conformidad con el Derecho de la Unión Europea.

Para la utilización de las frecuencias se estará, en general, a lo establecido por la normativa nacional sobre uso del dominio público radioeléctrico y por el Cuadro Nacional de Atribución de Frecuencias.

Con antelación a la fecha de inicio de prestación de los servicios con el uso de estas frecuencias, los concesionarios deberán comunicar a la Secretaría de Estado para la Sociedad de la Información y la Agenda Digital, la tecnología que van a emplear, indicando los criterios de compatibilidad utilizados a efectos de no producir inferencias a otras redes o servicios que utilicen frecuencias próximas o adyacentes.

Cuando el titular de la concesión demanial opte por la explotación de las frecuencias con otra tecnología distinta de la inicial, dicha comunicación deberá efectuarse igualmente, con al menos tres meses de antelación a la fecha prevista de aplicación.

Asimismo, se aplicará el principio de neutralidad de servicios en las concesiones demaniales adjudicadas, en los términos en los que está definido en el artículo 66.2 de la Ley 9/2014, de 9 de mayo, General de Telecomunicaciones.

Cláusula 27. Condiciones de utilización de los bloques de frecuencias en zonas fronterizas.

La Secretaría de Estado para la Sociedad de la Información y la Agenda Digital establecerá los criterios de utilización de los canales radioeléctricos en zonas fronterizas sujetos a limitaciones impuestas por las coordinaciones internacionales de frecuencias.

La coordinación del uso de canales adyacentes en una misma zona geográfica se efectuará por los operadores a los que les hubiesen sido otorgados. La Secretaría de Estado para la Sociedad de la información y la Agenda Digital se reserva en último extremo la capacidad de imponer criterios técnicos que aseguren la compatibilidad con otras redes y servicios.

Cláusula 28. Compatibilidad entre bloques dentro de la banda de 3600-3800 MHz.

Para asegurar la compatibilidad entre los bloques de frecuencias de la banda de 3600-3800 MHz, las condiciones de uso serán las establecidas en la Nota de Utilización Nacional UN 107 del Cuadro Nacional de Atribución de Frecuencias, y en el anexo de la Decisión de la Comisión 2008/411/CE, de 21 de mayo de 2008, relativa a la armonización de la banda de frecuencias de 3400-3800 MHz para sistemas terrenales capaces de prestar servicios de comunicaciones electrónicas en la Comunidad, modificada por la Decisión de Ejecución de la Comisión 2014/276/UE, de 2 de mayo de 2014.

Cláusula 29. Régimen de autorización de las estaciones fijas y restricciones de uso.

La instalación de estaciones radioeléctricas fijas deberá llevarse a cabo y ser autorizada de conformidad con lo establecido en el Reglamento sobre el uso del dominio público radioeléctrico, aprobado por el Real Decreto 123/2017, de 24 de febrero. Ello, de conformidad con lo establecido en el artículo 18 del citado Reglamento, no supone el cumplimiento de otros requisitos, o el otorgamiento de permisos, autorizaciones o presentación de declaraciones responsables que, de acuerdo con la legislación vigente, puedan ser exigibles, y que el titular de los derechos de uso del dominio público radioeléctrico deberá solicitar y obtener de los órganos competentes.

Asimismo, las estaciones fijas deberán cumplir los requisitos que se establezcan en virtud de lo estipulado en el artículo 61 de la Ley 9/2014, de 9 de mayo, General de Telecomunicaciones, y el Reglamento sobre el uso del dominio público radioeléctrico, aprobado por el Real Decreto 123/2017, de 24 de febrero, en relación con los niveles de emisión radioeléctrica tolerables, y del Real Decreto 1066/2001, de 28 de septiembre, por el que se aprueba el Reglamento que establece condiciones de protección del dominio público radioeléctrico, restricciones a las emisiones radioeléctricas y medidas de protección sanitaria frente a emisiones radioeléctricas, y su normativa de desarrollo en relación con los niveles de emisión radioeléctrica tolerables.

La autorización de las estaciones fijas quedará condicionada, en cualquier caso, a la ausencia de perturbaciones a otros servicios radioeléctricos debidamente autorizados, así como al cumplimiento de las condiciones y limitaciones establecidas en el Reglamento sobre el uso del dominio público radioeléctrico y en el Cuadro Nacional de Atribución de Frecuencias.

El uso de las frecuencias otorgadas deberá hacerse de manera compatible con la utilización de las frecuencias que se asignen por la Secretaría de Estado para la Sociedad de la Información y la Agenda Digital para el desarrollo de los proyectos piloto de tecnología 5G que se convoquen por la Entidad Pública Empresarial Red.es, en el marco del Plan Nacional 5G, durante el periodo de ejecución de los mismos, de acuerdo con lo establecido en la Resolución de la Secretaría de Estado para la Sociedad de la Información y la Agenda Digital de 14 de febrero de 2018 por la que se habilitan determinadas bandas de frecuencias para la realización de pruebas piloto contempladas en el plan nacional 5G, que se encuentra accesible en la página web de la Secretaría de Estado para la Sociedad de la Información y la Agenda Digital (http://www.minetad.gob.es/telecomunicaciones/5G/Documents/resolucion-SE-frecuencias-pilotos5G.pdf).

Cláusula 30. Evaluación de la conformidad de los equipos.

Todos los equipos terminales y estaciones base deberán realizar la evaluación de la conformidad a que se refiere los artículos 57 y 58 de la Ley 9/2014, de 9 de mayo, General de Telecomunicaciones, y lo previsto en el Real Decreto 188/2016, de 6 de mayo, por el que se aprueba el Reglamento por el que se establecen los requisitos para la comercialización, puesta en servicio y uso de equipos radioeléctricos, y se regula el procedimiento para la evaluación de la conformidad, la vigilancia del mercado y el régimen sancionador de los equipos de telecomunicación.

ANEXO II
Modelo de solicitud de participación en la licitación

Don/Doña .......................................................................................................................,con documento nacional de identidad número......................, (o la referencia al documento procedente en caso de ser extranjero), (en su caso) en nombre y representación de ........................................., según poder otorgado por.................................., con domicilio, a efectos de notificaciones, en .............................., enterado de la convocatoria de la subasta mediante procedimiento abierto para el otorgamiento de las concesiones de uso privativo de dominio público radioeléctrico en la banda de 3600 a 3800 MHz, acordada mediante Orden …........….. publicada en el «Boletín Oficial del Estado» número …....…, de …...... de …........… de 2018.

EXPONE: Que conoce y acepta en su totalidad el contenido del pliego de cláusulas administrativas particulares y de prescripciones técnicas, aprobado por la Orden que rige la citada subasta así como las reglas y procedimientos de la subasta, y que reúne todos los requisitos exigidos para participar en la misma. Y, a tal efecto,

FORMULA: La presente solicitud de participación en la subasta con un número total de puntos de elegibilidad de ………..

En ........................................., a .......... de ......................... de 2018

(Firma y sello de la empresa, en su caso).

ANEXO III
Reglas y procedimientos de la subasta

1. Identificación y características de las concesiones subastadas

El total de concesiones demaniales a subastar es de cuarenta, en la banda de frecuencias de 3600-3800 MHz. En la tabla 1 se muestra el detalle de cada una de las concesiones, junto con el precio de salida. En todas las concesiones se pujará por bloques genéricos o abstractos, concretándose con posterioridad las frecuencias concretas que conforman cada uno de esos bloques genéricos o abstractos según lo indicado en la cláusula 15.

Tabla 1. Descripción de las concesiones demaniales disponibles para la subasta

Banda de frecuencias

Concesiones

Rango de frecuencias

Ancho de banda por concesión

Cobertura geográfica

Precio de salida por concesión

(Euros)

Puntos de Elegibilidad por concesión

1

A - 3600-3800 MHz

A_1

Bloque abstracto

5 MHz

Estatal

2.500.000,00

50

2

A_2

Bloque abstracto

5 MHz

Estatal

2.500.000,00

50

3

A_3

Bloque abstracto

5 MHz

Estatal

2.500.000,00

50

4

A_4

Bloque abstracto

5 MHz

Estatal

2.500.000,00

50

5

A_5

Bloque abstracto

5 MHz

Estatal

2.500.000,00

50

6

A_6

Bloque abstracto

5 MHz

Estatal

2.500.000,00

50

7

A_7

Bloque abstracto

5 MHz

Estatal

2.500.000,00

50

8

A_8

Bloque abstracto

5 MHz

Estatal

2.500.000,00

50

9

A_9

Bloque abstracto

5 MHz

Estatal

2.500.000,00

50

10

A_10

Bloque abstracto

5 MHz

Estatal

2.500.000,00

50

11

A_11

Bloque abstracto

5 MHz

Estatal

2.500.000,00

50

12

A_12

Bloque abstracto

5 MHz

Estatal

2.500.000,00

50

13

A_13

Bloque abstracto

5 MHz

Estatal

2.500.000,00

50

14

A_14

Bloque abstracto

5 MHz

Estatal

2.500.000,00

50

15

A_15

Bloque abstracto

5 MHz

Estatal

2.500.000,00

50

16

A_16i

Bloque abstracto

5 MHz

Estatal

2.500.000,00

50

17

A_17

Bloque abstracto

5 MHz

Estatal

2.500.000,00

50

18

A_18

Bloque abstracto

5 MHz

Estatal

2.500.000,00

50

19

A_19

Bloque abstracto

5 MHz

Estatal

2.500.000,00

50

20

A_20

Bloque abstracto

5 MHz

Estatal

2.500.000,00

50

21

A_21

Bloque abstracto

5 MHz

Estatal

2.500.000,00

50

22

A_22

Bloque abstracto

5 MHz

Estatal

2.500.000,00

50

23

A_23

Bloque abstracto

5 MHz

Estatal

2.500.000,00

50

24

A_24

Bloque abstracto

5 MHz

Estatal

2.500.000,00

50

25

A_25

Bloque abstracto

5 MHz

Estatal

2.500.000,00

50

26

A_26

Bloque abstracto

5 MHz

Estatal

2.500.000,00

50

27

A_27

Bloque abstracto

5 MHz

Estatal

2.500.000,00

50

28

A_28

Bloque abstracto

5 MHz

Estatal

2.500.000,00

50

29

A_29

Bloque abstracto

5 MHz

Estatal

2.500.000,00

50

30

A_30

Bloque abstracto

5 MHz

Estatal

2.500.000,00

50

31

A_31

Bloque abstracto

5 MHz

Estatal

2.500.000,00

50

32

A_32

Bloque abstracto

5 MHz

Estatal

2.500.000,00

50

33

A_33

Bloque abstracto

5 MHz

Estatal

2.500.000,00

50

34

A_34

Bloque abstracto

5 MHz

Estatal

2.500.000,00

50

35

A_35

Bloque abstracto

5 MHz

Estatal

2.500.000,00

50

36

A_36

Bloque abstracto

5 MHz

Estatal

2.500.000,00

50

37

A_37

Bloque abstracto

5 MHz

Estatal

2.500.000,00

50

38

A_38

Bloque abstracto

5 MHz

Estatal

2.500.000,00

50

39

A_39

Bloque abstracto

5 MHz

Estatal

2.500.000,00

50

40

A_40

Bloque abstracto

5 MHz

Estatal

2.500.000,00

50

Nota: la nomenclatura para la identificación de las concesiones demaniales (A_1, A_40) no refleja el orden en la ubicación en el espectro de frecuencias de dichas concesiones. La adjudicación de los bloques abstractos se llevará a cabo según lo indicado en la cláusula 15.

2. Reglas generales de la subasta

La licitación se desarrollará a través del mecanismo de subasta simultánea ascendente de múltiples rondas.

La subasta se llevará a cabo a través de medios electrónicos. La presentación de ofertas por los licitadores y la provisión de información a los mismos se hará a través del portal del licitador establecido al efecto por el Ministerio de Energía, Turismo y Agenda Digital.

Los licitadores admitidos formularán sus pujas de acuerdo a las reglas de actividad y las restricciones establecidas.

Cada licitador admitido sólo podrá formular una puja por cada concesión demanial en cada ronda. Si el licitador admitido presenta más de un formulario de puja en cada ronda, no será admitida ninguna de las pujas.

La subasta finalizará tras la ronda en la cual no se hayan formulado nuevas pujas para ninguno de los bloques de frecuencias, o dispensas.

3. Procedimientos de la subasta

Los licitadores deberán formular sus pujas y dispensas, conforme a lo dispuesto en el apartado 4 del presente anexo, a través del portal del licitador establecido al efecto por el Ministerio de Energía, Turismo y Agenda Digital.

A cada uno de los licitadores admitidos se le proporcionará información acerca de cómo acceder y utilizar estos mecanismos.

Todos los licitadores admitidos interesados podrán participar en una sesión de formación sobre el portal del licitador, a celebrar con anterioridad al inicio del proceso de subasta. Dicha sesión de formación se llevará a cabo en las dependencias de la Secretaría de Estado para la Sociedad de la Información y la Agenda Digital (C/ Poeta Joan Maragall, 41, Madrid).

A través del mencionado portal del licitador se proporcionará información acerca del estado y progreso de la subasta: información de la programación de las rondas, resultados de las rondas, etc. Las pujas que se realicen por los licitadores deberán cumplir con las reglas de la subasta (respetar los límites en la disponibilidad de frecuencias por un mismo operador a que se refiere la cláusula 14 del pliego, no superar la Elegibilidad del licitador en esa ronda).

Sólo los licitadores admitidos para participar en la subasta, debidamente autenticados, podrán acceder al portal del licitador y formular las pujas mediante el certificado digital de persona física con representación de persona jurídica de las personas autorizadas por el licitador a estos efectos. Es responsabilidad de cada licitador controlar el acceso al portal del licitador y la formulación de pujas.

4. Desarrollo de las rondas

La subasta se desarrollará en rondas programadas por la Mesa. Cada puja debe quedar presentada y registrada en los sistemas de información del Ministerio de Energía, Turismo y Agenda Digital antes del período de finalización de la ronda para que sea admitida. La hora, minuto y segundo en que se formula la puja será aquélla en la que se graba y almacena en los sistemas informáticos del Ministerio de Energía, Turismo y Agenda Digital, mediante el correspondiente asiento en el Registro Electrónico de dicho Ministerio, que figurará recogida en el justificante del acuse de recibo generado. En cada una de las rondas, los licitadores podrán realizar sus pujas, mediante el formulario que se incluye como Anexo IV (en adelante el formulario), de acuerdo con el nivel de actividad a que se refiere el apartado 4.2 y las reglas que se describen a continuación.

En cada ronda, una puja sobre una concesión demanial determinada se realizará indicando en el formulario la cantidad que se puja por la misma. La cantidad indicada por un licitador para una concesión demanial constituye la puja del licitador e indica que el licitador está dispuesto a pagar esa cantidad para esa concesión. Todas las pujas que el licitador desee realizar en una misma ronda se deberán formular simultáneamente en el formulario. Una vez el licitador haya remitido el formulario con la puja formulada para una ronda, no podrá modificar las pujas formuladas ni formular pujas adicionales para dicha ronda. Si el licitador no indica una cantidad para una concesión demanial, entonces se dará por hecho que no desea formular ninguna puja por esa concesión en esa ronda.

Al final de cada ronda, la Mesa de Adjudicación determinará la mayor puja vigente (MPV) para cada concesión:

– Si no se han recibido pujas para una concesión en ninguna ronda, no hay MPV para esa concesión.

– Si no se han recibido pujas para una concesión en una ronda pero existe una MPV previa, entonces el licitador que formuló esa puja continúa siendo el licitador con la MPV para esa concesión.

– Si sólo se recibe una puja válida por una concesión determinada en esa ronda, el licitador que formuló la puja se convierte en el licitador con la MPV para esa concesión.

– Si se reciben dos o más pujas válidas por una concesión en esa ronda, el licitador que pasa a tener la MPV será el que haya formulado la puja más alta.

– Si dos o más licitadores han formulado la mayor puja de la ronda, el licitador que pasa a tener la MPV será el primero que haya presentado la puja en esa ronda. Si las pujas son presentadas en el mismo tiempo (hora, minuto y segundo), se efectuará un sorteo para determinar el licitador que pasa a tener la MPV.

En las rondas sucesivas, los licitadores deberán pujar o utilizar una dispensa si:

– No tienen la MPV de ninguna concesión, y

– Quieren continuar pujando en futuras rondas.

Los licitadores con la MPV en una concesión pueden presentar una puja por esa misma concesión en futuras rondas sujetos a las mismas restricciones que el resto de licitadores.

Las rondas se programarán a criterio de la Mesa, dentro de los siguientes límites:

– Las rondas tendrán una duración máxima de 30 minutos.

– Las rondas se programarán entre las 10 am y las 18 pm, de lunes a viernes.

La Mesa de Adjudicación podrá acordar la finalización de la ronda con anterioridad a su duración máxima una vez que todos los licitadores participantes en la licitación y que no hubieran solicitado una dispensa hayan remitido el formulario con sus pujas.

La Mesa de Adjudicación programará cada ronda como mínimo 15 minutos antes de la hora de comienzo. En todo caso, cuando la Mesa de Adjudicación decida que no va a haber más rondas en el mismo día, deberá informar de ello a los licitadores. La información de la programación de las rondas se comunicará a los licitadores a través de los mecanismos establecidos en el portal del licitador establecido al efecto. Es responsabilidad del licitador acceder en todo momento a la información y comunicaciones que se lleven a cabo a través del portal del licitador.

Para cada ronda, la Mesa de Adjudicación comunicará a los licitadores la siguiente información:

– La hora de comienzo de la ronda.

– La duración de la ronda.

– El nivel de actividad requerido para la ronda.

– El precio vigente para cada concesión en dicha ronda.

– En su caso, las modificaciones que se introduzcan en los porcentajes posibles de incremento de precio de las pujas.

Los licitadores no podrán formular pujas que excedan de los límites en la disponibilidad de frecuencias por un mismo operador a que se refiere la cláusula 14 del pliego, así como las pujas que superen la Elegibilidad del licitador en esa ronda.

4.1 Incrementos de precio en cada una de las rondas.

El precio de partida para cada concesión se fijará por el valor del precio de salida.

En las sucesivas rondas el precio de cada concesión se verá incrementado siempre que se hayan recibido pujas válidas en la ronda previa.

El precio vigente para una concesión en una determinada ronda se define como:

– En caso de que no se haya formulado ninguna puja por esa concesión en ninguna ronda previa, el precio de salida.

– En caso de que se haya formulado alguna puja por esa concesión en alguna ronda previa, será la MPV.

En cada ronda, cada uno de los licitadores podrá seleccionar su puja para cada concesión añadiendo un incremento, de entre los determinados, sobre el precio vigente de la concesión. Inicialmente se fijan estos porcentajes de incremento posibles en el 15, 25 ó 30%.

La Mesa de Adjudicación podrá mantener o variar estos porcentajes a lo largo del desarrollo de la subasta, y comunicará las variaciones a los licitadores.

4.2 Reglas de actividad.

A cada uno de las concesiones de la subasta se les asigna un número de puntos de Elegibilidad, como se muestra en la tabla 1.

La Actividad del licitador en una ronda se define como la suma de puntos de Elegibilidad asociados a las concesiones para las que el licitador está activo en esa ronda. Se dice que un licitador está activo en una ronda determinada para una concesión si:

– Ha formulado una puja por esa concesión en esa ronda.

– Ostenta la MPV de la concesión al comienzo de esa ronda (independientemente de que, en esa ronda, formule o no una puja por esa concesión).

La Actividad de un licitador en cualquier ronda no puede exceder su Elegibilidad. Los licitadores no podrán presentar pujas que superen su Elegibilidad en cada ronda. En este caso, la puja no será admitida.

La Elegibilidad de un licitador puede mantenerse constante o decrecer a lo largo de la subasta, pero en ningún caso podrá incrementarse.

La Elegibilidad de un licitador en la primera ronda será la dada por su nivel inicial de Elegibilidad, que se determina a través de la solicitud del licitador, y que está en relación con el aval o garantía.

En cualquier ronda posterior a la primera la Elegibilidad del licitador se calcula teniendo en cuenta la Elegibilidad y la Actividad del licitador en la ronda previa.

Para cada ronda, la Mesa de Adjudicación establecerá una Actividad Requerida (AR), expresada como un porcentaje. El nivel de Actividad Requerido establecido por la Mesa de Adjudicación determina una Actividad Requerida para el Licitador (ARL), como proporción de la Elegibilidad del licitador en esa ronda y se calcula de acuerdo a la siguiente fórmula:

ARL = AR x Elegibilidad

La ARL se expresa en términos de los puntos de Elegibilidad, redondeando al entero más próximo superior.

Si la Actividad del licitador en una ronda es igual o mayor a la ARL, mantendrá su Elegibilidad para la siguiente ronda. Si, por el contrario, la Actividad del licitador en una ronda cae por debajo de ARL y el licitador no ha hecho uso de una dispensa en esa ronda (ver sección 4.4), la Elegibilidad del licitador para la siguiente ronda se reducirá de acuerdo a la siguiente fórmula:

En+1 = En × An / ARLn

Donde:

En+1 es la Elegibilidad del licitador en la ronda n+1.

En es la Elegibilidad del licitador en la ronda n.

An es la Actividad del licitador en la ronda n.

ARLn es el nivel de Actividad Requerida del Licitador en la ronda n.

Redondeando al entero más próximo inferior.

Cuando el licitador realiza una puja que se traduce en la pérdida de Elegibilidad para las siguientes rondas, la Mesa de Adjudicación lo comunicará al licitador a través de los mecanismos establecidos en el portal del licitador establecido al efecto.

Se establece un nivel inicial de Actividad Requerida del 60%. La Mesa de Adjudicación podrá incrementar el nivel de Actividad Requerida con otros porcentajes, debiendo comunicarlo a los licitadores, al menos, con una ronda de antelación.

La subasta no podrá finalizar mientras el nivel de Actividad Requerida esté por debajo del 100%.

4.3 Dispensa de pujar en una ronda.

Cada licitador comienza la subasta con 3 dispensas.

Las dispensas permiten al licitador continuar pujando o mantener su Elegibilidad en la siguiente ronda, incluso aunque no haya formulado ninguna puja.

En el caso de que un licitador no envíe pujas durante cualquier ronda o las pujas que envíe no sean admitidas, se interpretará, por defecto, que se presenta una dispensa en el caso de que se cumplan los dos requisitos siguientes:

– La actividad del licitador correspondiente a las MPV de los que dispone sea inferior al nivel requerido de actividad para esa ronda, y

– El licitador disponga todavía de una o más dispensas.

Un licitador también podrá usar una dispensa para mantener su nivel de Elegibilidad cuando su actividad en una ronda caiga por debajo del nivel de actividad requerido para esa ronda. En ese caso, en el supuesto de que el licitador disponga de dispensas, tendrá la opción de utilizar una de ellas, que podrá ir acompañada de las pujas que el licitador desee enviar en esa ronda.

En ambos supuestos, al licitador se le restará una dispensa del número total de dispensas a que tiene derecho, pero se mantendrá su nivel de Elegibilidad para la siguiente ronda.

5. Información disponible después de cada ronda

Al final de cada ronda, la Mesa de Adjudicación facilitará la siguiente información a cada uno de los licitadores:

– Las concesiones en las que ostenta la MPV.

– Número de dispensas que conserva.

– En el caso de pérdida de Elegibilidad, su Elegibilidad para la siguiente ronda.

– El precio vigente para cada concesión al final de la ronda

6. Finalización de la fase de rondas de la subasta

La fase de pujas finalizará tras la ronda en la cual el nivel de Actividad Requerida sea del 100 % y no se reciban nuevas pujas, o dispensas por parte de ningún licitador. En ese caso, las concesiones para los cuales haya una MPV al final de la última ronda serán otorgadas a los licitadores que hayan formulado las correspondientes pujas, siendo la cantidad de dicha MPV el precio final de la concesión.

En ese momento, la Mesa de Adjudicación anunciará que la fase de pujas ha finalizado y publicará los resultados de la subasta en la página web del Ministerio de Energía, Turismo y Agenda Digital. Los licitadores serán informados de:

– La identidad de los licitadores ganadores en cada concesión, y

– La cantidad a pagar por parte de cada licitador ganador en cada concesión.

7. Circunstancias excepcionales

En el caso de circunstancias excepcionales (por ejemplo, por fallo técnico en el acceso a los mecanismos establecidos en la sede electrónica del Ministerio de Energía, Turismo y Agenda Digital, incidencias en el desarrollo de la subasta comunicadas por alguno de los licitadores, entre otras) la Mesa de Adjudicación podrá, de manera motivada:

– Modificar la programación de una ronda que no esté todavía en proceso,

– Posponer el final de la ronda en proceso en ese momento,

– Posponer el programa de las siguientes rondas,

– Cancelar una ronda que está en proceso o para la que todavía no se han publicado los resultados, y volver a programar la ronda de nuevo.

En el caso de circunstancias excepcionales que puedan afectar en preservar la necesaria igualdad, objetividad o concurrencia en el desarrollo de la subasta, la Mesa de Adjudicación podrá, de manera motivada:

– Cancelar una o más rondas ya finalizadas,

– Invalidar todas las pujas recibidas en la subasta

– Cancelar la subasta y empezarla de nuevo.

Asimismo, la Mesa de Adjudicación podrá decidir que la presentación de ofertas pueda realizarse a través de mecanismos diferentes al portal del licitador (por escrito en la propia sede de la Secretaría de Estado para la Sociedad de la Información y la Agenda Digital, presencialmente por los licitadores en la sede de la citada Secretaría de Estado, etc.) preservando en todo caso las condiciones esenciales de celebración de la subasta.

ANEXO IV
Modelo de formulario para la realización de pujas en cada ronda

Identificación del Licitador:

Ronda número:

Cantidades ofertadas

Concesiones

Rango de frecuencias

Ancho de banda por concesión

Cobertura geográfica

Puntos de Elegibilidad

MPV

Cantidad ofertada (euros)

1

A_1

Bloque abstracto

5 MHz

Estatal

50

2

A_2

Bloque abstracto

5 MHz

Estatal

50

3

A_3

Bloque abstracto

5 MHz

Estatal

50

4

A_4

Bloque abstracto

5 MHz

Estatal

50

5

A_5

Bloque abstracto

5 MHz

Estatal

50

6

A_6

Bloque abstracto

5 MHz

Estatal

50

7

A_7

Bloque abstracto

5 MHz

Estatal

50

8

A_8

Bloque abstracto

5 MHz

Estatal

50

9

A_9

Bloque abstracto

5 MHz

Estatal

50

10

A_10

Bloque abstracto

5 MHz

Estatal

50

11

A_11

Bloque abstracto

5 MHz

Estatal

50

12

A_12

Bloque abstracto

5 MHz

Estatal

50

13

A_13

Bloque abstracto

5 MHz

Estatal

50

14

A_14

Bloque abstracto

5 MHz

Estatal

50

15

A_15

Bloque abstracto

5 MHz

Estatal

50

16

A_16

Bloque abstracto

5 MHz

Estatal

50

17

A_17

Bloque abstracto

5 MHz

Estatal

50

18

A_18

Bloque abstracto

5 MHz

Estatal

50

19

A_19

Bloque abstracto

5 MHz

Estatal

50

20

A_20

Bloque abstracto

5 MHz

Estatal

50

21

A_21

Bloque abstracto

5 MHz

Estatal

50

22

A_22

Bloque abstracto

5 MHz

Estatal

50

23

A_23

Bloque abstracto

5 MHz

Estatal

50

24

A_24

Bloque abstracto

5 MHz

Estatal

50

25

A_25

Bloque abstracto

5 MHz

Estatal

50

26

A_26

Bloque abstracto

5 MHz

Estatal

50

27

A_27

Bloque abstracto

5 MHz

Estatal

50

28

A_28

Bloque abstracto

5 MHz

Estatal

50

29

A_29

Bloque abstracto

5 MHz

Estatal

50

30

A_30

Bloque abstracto

5 MHz

Estatal

50

31

A_31

Bloque abstracto

5 MHz

Estatal

50

32

A_32

Bloque abstracto

5 MHz

Estatal

50

33

A_33

Bloque abstracto

5 MHz

Estatal

50

34

A_34

Bloque abstracto

5 MHz

Estatal

50

35

A_35

Bloque abstracto

5 MHz

Estatal

50

36

A_36

Bloque abstracto

5 MHz

Estatal

50

37

A_37

Bloque abstracto

5 MHz

Estatal

50

38

A_38

Bloque abstracto

5 MHz

Estatal

50

39

A_39

Bloque abstracto

5 MHz

Estatal

50

40

A_40

Bloque abstracto

5 MHz

Estatal

50

Presenta dispensa en esta ronda □

ANEXO V
Modelo de declaración responsable de no estar incurso en ninguna de las prohibiciones de contratar que establece el artículo 71 de la Ley 9/2017, de 8 de noviembre, de Contratos del Sector Público

Don/Doña ...................................................................................................................., con documento nacional de identidad número ..............................., (o la referencia al documento procedente en caso de ser extranjero), en nombre y representación de la persona física/jurídica .................................................................,

DECLARO RESPONSABLEMENTE:

Que ni el firmante de la declaración, ni la persona física/jurídica a la que represento, ni ninguno de sus administradores o representantes, se hallan incursos en supuesto alguno a los que se refiere el artículo 71 de la Ley de Contratos del Sector Público, hallándose, la persona física/jurídica representada, al corriente en el cumplimiento de las obligaciones tributarias y frente a la Seguridad Social impuestas por las disposiciones vigentes.

Asimismo, me comprometo a aportar los certificados y documentos requeridos por los artículos 150.2 de la Ley de Contratos del Sector Público y 15 del Reglamento General de la Ley de Contratos de las Administraciones Públicas, en el plazo máximo de 10 días hábiles, a contar desde el siguiente a aquél en que hubiera recibido el requerimiento para aportar dicha documentación.

Y para que así conste y surta los efectos oportunos, expido y firmo la presente en ....................., a ………, de ………de 2018.

(Firma y sello de la empresa, en su caso)

APÉNDICE DEL PLIEGO DE CLÁUSULAS ADMINISTRATIVAS PARTICULARES Y DE PRESCRIPCIONES TÉCNICAS

Documentos que acreditan la personalidad del solicitante

1. Persona física española: DNI del empresario individual.

2. Persona jurídica española: Escritura de constitución o modificación inscrita, en su caso, en el Registro Mercantil, cuando este requisito fuera exigible conforme a la legislación mercantil que le sea aplicable. Si no lo fuere, escritura o documento de constitución, Estatutos o acto fundacional en el que constaren las normas por las que se regula su actividad, inscritos, en su caso en el correspondiente registro oficial.

3. Persona física de los demás países de la Unión Europea o signatarios del Acuerdo sobre el Espacio Económico Europeo: Documento equivalente a DNI o pasaporte y acreditación de inscripción en el Registro o certificación prevista para el país respectivo en el Anexo I del Real Decreto 1098/2001, de 12 de octubre.

4. Persona jurídica de los demás países de la Unión Europea o signatarios del Acuerdo sobre el Espacio Económico Europeo: Documento de constitución y acreditación de inscripción en el Registro o certificación prevista para el país respectivo en el Anexo I del Real Decreto 1098/2001, de 12 de octubre.

5. Persona física de otro país, signatario del Acuerdo sobre Contratación Pública de la Organización Mundial del Comercio: Documento equivalente a DNI o pasaporte, Certificación expedida por la respectiva representación diplomática española, en la que se haga constar que figuran inscritas en el Registro local, profesional, comercial o análogo, o, en su defecto, que actúan con habitualidad en el tráfico local en el ámbito de las actividades a las que se extiende el objeto del contrato, Informe de la representación diplomática española sobre reciprocidad de trato e Informe de la Embajada española sobre la condición de Estado signatario del Acuerdo sobre Contratación Pública de la Organización Mundial del Comercio.

6. Persona jurídica de otro país, signatario del Acuerdo sobre Contratación Pública de la Organización Mundial del Comercio: Documento de constitución, Certificación expedida por la respectiva representación diplomática española, en la que se haga constar que figuran inscritas en el Registro local, profesional, comercial o análogo, o, en su defecto, que actúan con habitualidad en el tráfico local en el ámbito de las actividades a las que se extiende el objeto del contrato, Informe de la representación diplomática española sobre reciprocidad de trato e Informe de la Embajada española sobre la condición de Estado signatario del Acuerdo sobre Contratación Pública de la Organización Mundial del Comercio.

7. Persona física de país no comprendido en los números anteriores: Documento equivalente a DNI o pasaporte, Certificación expedida por la respectiva representación diplomática española, en la que se haga constar que figuran inscritas en el Registro local, profesional, comercial o análogo, o, en su defecto, que actúan con habitualidad en el tráfico local en el ámbito de las actividades a las que se extiende el objeto del contrato e Informe de la representación diplomática española sobre reciprocidad de trato.

8. Persona jurídica de país no comprendido en los números anteriores: Documento de constitución, Certificación expedida por la respectiva representación diplomática española, en la que se haga constar que figuran inscritas en el Registro local, profesional, comercial o análogo, o, en su defecto, que actúan con habitualidad en el tráfico local en el ámbito de las actividades a las que se extiende el objeto del contrato e Informe de la representación diplomática española sobre reciprocidad de trato.

subir

State Agency Official State Gazette

Avda. de Manoteras, 54 - 28050 Madrid