Edukia ez dago euskaraz

Zu hemen zaude

Documento BOE-A-2004-7394

Orden JUS/1067/2004, de 12 de abril, por la que se aprueba y publica la relación definitiva de aspirantes que han superado las pruebas selectivas para ingreso en el Cuerpo de Auxiliares de la Administración de Justicia turno promoción interna, convocadas por Orden JUS/1454/2003, de 27 mayo.

Publicado en:
«BOE» núm. 99, de 23 de abril de 2004, páginas 16368 a 16381 (14 págs.)
Sección:
II. Autoridades y personal - B. Oposiciones y concursos
Departamento:
Ministerio de Justicia
Referencia:
BOE-A-2004-7394

TEXTO ORIGINAL

De conformidad con lo establecido en la base 2.8.1 y siguientes de la Orden JUS/1454/2003, de 27 de mayo («Boletín Oficial del Estado» de 5 de junio), por la que se convocaban pruebas selectivas para ingreso en el Cuerpo de Auxiliares de la Administración de Justicia, una vez vistas y resueltas las alegaciones de los aspirantes y remitida por el Tribunal Calificador la propuesta definitiva de aspirantes que han superado las pruebas selectivas.

Este Ministerio acuerda:

Primero.

Aprobar la propuesta definitiva de aspirantes que han superado las pruebas selectivas en cada ámbito territorial y que figuran en el anexo de esta orden.

Segundo.

De acuerdo con lo establecido en la disposición transitoria sexta, párrafo tercero de la Ley Orgánica 19/2003, de 23 de diciembre, de modificación de la Ley Orgánica 6/1985, de 1 de julio, del Poder Judicial, cuyo tenor liberal es el siguiente: «Los aspirantes que adquieran la condición de funcionario en los procesos selectivos a que se refiere el párrafo anterior pasarán a integrarse en el cuerpo o escala que corresponda de los que se establecen en esta ley, de conformidad con la titulación exigida para participar en los mismos», a estos efectos, los aspirantes que figuran en el anexo de esta orden, deberán remitir, el título de Bachiller o equivalente, caso de estar en posesión del mismo, a efectos de ser nombrado funcionarios del Cuerpo o de la Escala de Tramitación Procesal y Administrativa, a que se refiere el artículo 475 de la ley Orgánica 19/2003.

Tercero.

Contra la presente orden, que pone fin a la vía administrativa, podrá interponerse recurso potestativo de reposición, en el plazo de un mes o contencioso-administrativo ante el Órgano Jurisdiccional competente, en el plazo de dos meses. El plazo se contará a partir del día siguiente de la publicación en el «Boletín Oficial del Estado» de la presente resolución.

Madrid, 12 de abril de 2004.‒P. D. (Orden JUS/1825/2003, de 26 de junio), el Director general de Relaciones con la Administración de Justicia, Carlos Lesmes Serrano.

Ilma. Sra. Subdirectora general de Medios Personales al Servicio de la Administración de Justicia.

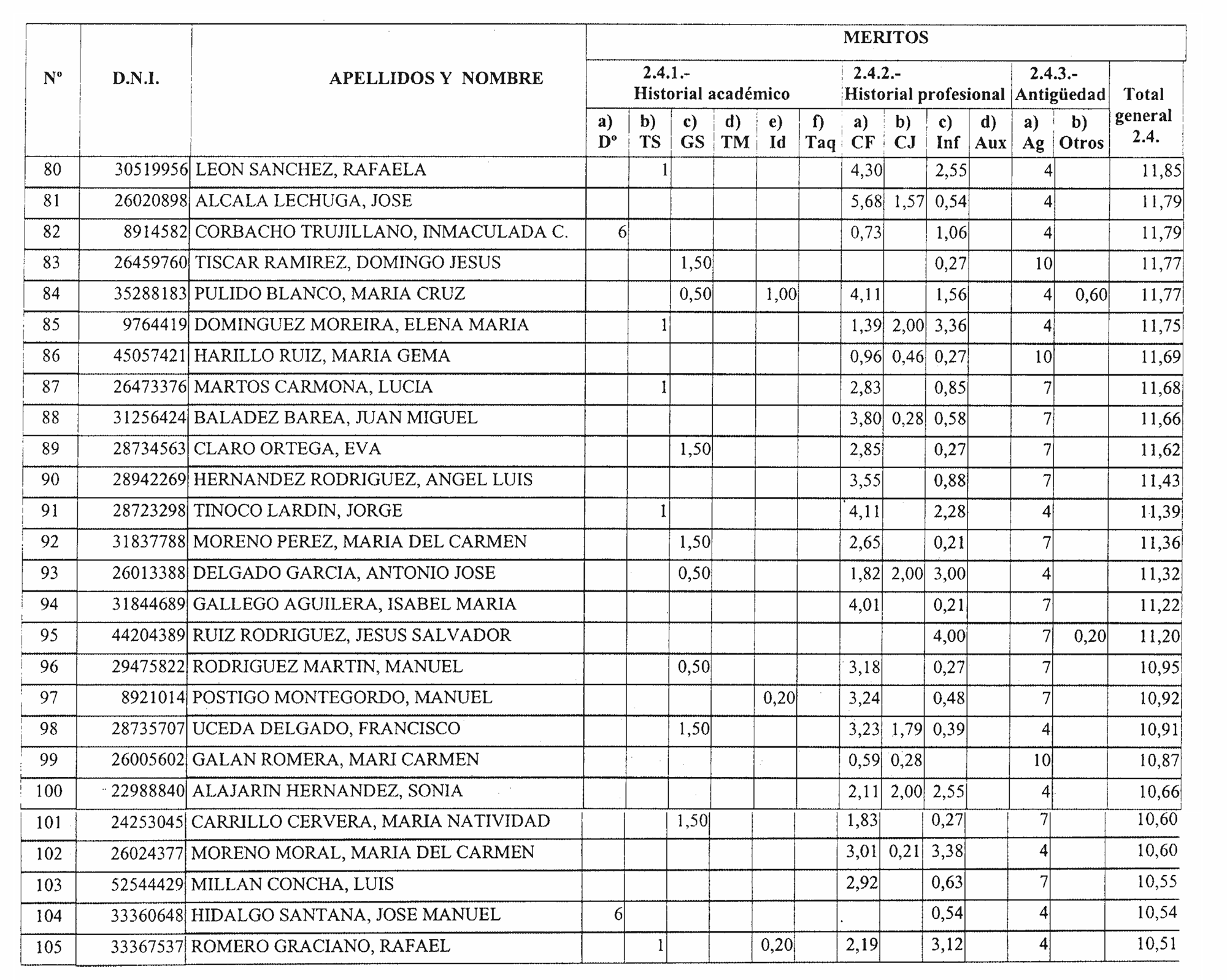
ANEXO
Relación definitiva de aprobados. Auxiliares Admon. Justicia, Turno de promoción interna. Orden de convocatoria 27 de mayo de 2003 (BOE 5 de junio)

Ámbito: Andalucía

Imagen: /datos/imagenes/disp/2004/99/07394_16026219_image1.png

Imagen: /datos/imagenes/disp/2004/99/07394_16026219_image2.png

Imagen: /datos/imagenes/disp/2004/99/07394_16026219_image3.png

Ámbito: Canarias

Imagen: /datos/imagenes/disp/2004/99/07394_16026219_image4.png

Ámbito: Cataluña

Imagen: /datos/imagenes/disp/2004/99/07394_16026219_image5.png

Ámbito: Madrid

Imagen: /datos/imagenes/disp/2004/99/07394_16026219_image6.png

Imagen: /datos/imagenes/disp/2004/99/07394_16026219_image7.png

Imagen: /datos/imagenes/disp/2004/99/07394_16026219_image8.png

Ámbito: Navarra

Imagen: /datos/imagenes/disp/2004/99/07394_16026219_image9.png

Ámbito: País Vasco

Imagen: /datos/imagenes/disp/2004/99/07394_16026219_image10.png

Ámbito: Valencia

Imagen: /datos/imagenes/disp/2004/99/07394_16026219_image11.png

Ámbito: Resto Península y Baleares

Imagen: /datos/imagenes/disp/2004/99/07394_16026219_image12.png

Imagen: /datos/imagenes/disp/2004/99/07394_16026219_image13.png

subir

Estatuko Aldizkari Ofiziala Estatu Agentzia

Manoteras Etorb., 54 - 28050 Madril