Contingut no disponible en català

Us trobeu en

Documento BOE-A-2004-15763

Resolución de 12 de agosto de 2004, de la Secretaría de Estado de Universidades e Investigación, por la que se adjudican ayudas para "Estancias de profesores de universidad e investigadores del CSIC y de OPIS en centros extranjeros y españoles, incluido el programa "Salvador de Madariaga", dentro del Programa nacional de ayudas para la movilidad de profesores de universidad e investigadores españoles y extranjeros.

Publicado en:
«BOE» núm. 213, de 3 de septiembre de 2004, páginas 30534 a 30539 (6 págs.)
Sección:
III. Otras disposiciones
Departamento:
Ministerio de Educación y Ciencia
Referencia:
BOE-A-2004-15763

TEXTO ORIGINAL

Por Resolución de 11 de septiembre de 2003 (BOE del 6 de octubre) de la Secretaría de Estado de Educación y Universidades se convocó el Programa Nacional de ayudas para la movilidad de profesores de universidad e investigadores españoles y extranjeros.

Una vez evaluadas por la Comisión de expertos las solicitudes de ayuda presentadas a la Modalidad A y elevada la correspondiente propuesta por la Comisión de Selección, en cumplimiento de lo establecido en el apartado 4,

En uso de las atribuciones conferidas por la Resolución de convocatoria, he resuelto:

Primero.

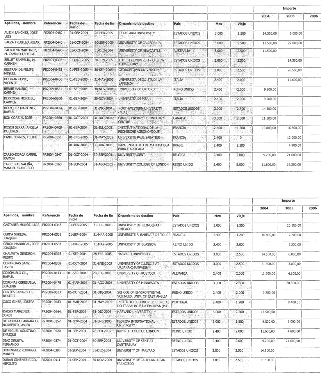
Conceder las ayudas para estancias de profesores de universidad e investigadores españoles en centros extranjeros y españoles, incluido el Programa «Salvador de Madariaga» que se relacionan en el Anexo de esta Resolución, por un importe total de 2.644.500,00 A (dos millones seiscientos cuarenta y cuatro mil quinientos euros).

Segundo.

Denegar o desestimar las solicitudes no relacionadas en el Anexo, al no haber alcanzado su evaluación científica el orden de prioridad impuesto en su disciplina científica por la concurrencia competitiva, en función de las disponibilidades presupuestarias del programa o no cumplir los requisitos exigidos en la Resolución de convocatoria.

Tercero.

El gasto resultante será imputado a la aplicación presupuestaria 18.07.541A 781 de los vigentes Presupuestos Generales del Estado, con el siguiente desglose económico:

Anualidad 2004: 1.029.900,00 A.

Anualidad 2005: 1.605.000,00 A.

Anualidad 2006: 9.600,00 A.

El gasto correspondiente a ejercicios futuros queda supeditado a la aprobación de los correspondientes créditos en los presupuestos generales del Estado.

Cuarto.

Los beneficiarios de estas ayudas quedan obligados al cumplimiento de lo establecido en el apartado A.8 de la Resolución de 11 de septiembre de 2003, de convocatoria del Programa.

Contra la presente Resolución, que pone fin a la vía administrativa, cabe interponer en el plazo de un mes recurso potestativo de reposición. Asimismo, podrá interponerse recurso contencioso-administrativo ante la Sala de lo Contencioso-Administrativo de la Audiencia Nacional, en el plazo de dos meses a contar desde el día siguiente a la fecha de su notificación de acuerdo con lo dispuesto en el artículo 46.1 de la citada Ley 29/1998. Dicho recurso no podrá ser interpuesto hasta que el anterior recurso potestativo sea resuelto expresamente o se haya producido la desestimación presunta.

Madrid, 12 de agosto de 2004.—El Secretario de Estado, por delegación (Orden ECI/1217/2004, de 3 de mayo, BOE del 6), la Directora General de Universidades, Carmen Ruiz-Rivas Hernando.

Ilmo. Sr. Subdirector General de Formación y Movilidad en Posgrado y Posdoctorado.

ANEXO

Imagen: /datos/imagenes/disp/2004/213/15763_11944404_image1.png

Imagen: /datos/imagenes/disp/2004/213/15763_11944404_image2.png

Imagen: /datos/imagenes/disp/2004/213/15763_11944404_image3.png

Imagen: /datos/imagenes/disp/2004/213/15763_11944404_image4.png

Imagen: /datos/imagenes/disp/2004/213/15763_11944404_image5.png

subir

Agència Estatal Butlletí Oficial de l'Estat

Avda. de Manoteras, 54 - 28050 Madrid