Contingut no disponible en valencià

Us trobeu en

Documento BOE-A-2004-10312

Resolución de 25 de mayo de 2004, de la Secretaría General para la Administración Pública, por la que se declara aprobados a los aspirantes que han superado las pruebas selectivas para cubrir plazas de personal laboral fijo en la categoría de Técnico Superior de Actividades Técnicas de Mantenimiento y Oficios, mediante contratación laboral fija, por el turno de promoción interna.

Publicado en:
«BOE» núm. 134, de 3 de junio de 2004, páginas 20449 a 20452 (4 págs.)
Sección:
II. Autoridades y personal - B. Oposiciones y concursos
Departamento:
Ministerio de Administraciones Públicas
Referencia:
BOE-A-2004-10312

TEXTO ORIGINAL

Por Orden APU/952/2003, de 7 de abril (Boletín Oficial del Estado del día 22), fueron convocadas pruebas selectivas para cubrir plazas de personal laboral en la categoría de Técnico Superior de Actividades Técnicas de Mantenimiento y Oficios, mediante contratación laboral fija, por el turno de promoción interna previsto en los artículos 29 y 31 del Convenio único para el personal laboral de la Administración del Estado, en el ámbito de dicho convenio.

La gestión de las citadas pruebas selectivas ha sido llevada a cabo por la Subsecretaría del Ministerio de Defensa según Acuerdo de encomienda de gestión suscrito por la Secretaría de Estado para la Administración Pública y la mencionada Subsecretaría, de fecha 7 de noviembre de 2002, hecho público por Resolución de la Subsecretaría del Ministerio de la Presidencia de 15 de noviembre de 2002 (B.O.E. del día 20).

Comprobada por el Ministerio de Defensa la documentación aportada por los aspirantes que han superado las pruebas selectivas, según lo dispuesto en la Base séptima de la Convocatoria, vista la propuesta formulada por el órgano de selección de las citadas pruebas selectivas y verificado el cumplimiento de los requisitos establecidos en las Bases de la Convocatoria.

Esta Secretaría General para la Administración Pública, en ejercicio de las competencias atribuidas por el artículo 56 de la Ley 24/2001, de 27 de diciembre, de Medidas Fiscales, Administrativas y del Orden Social y de acuerdo con lo previsto en el artículo 12.1 del Real Decreto 562/2004, de 19 de abril, por el que se aprueba la estructura orgánica básica de los departamentos ministeriales, a propuesta de la Subsecretaría del Ministerio de Defensa, resuelve:

Primero.

Declarar aprobados en las pruebas selectivas para cubrir plazas de personal laboral en la categoría de Técnico Superior de Actividades Técnicas de Mantenimiento y Oficios, mediante contratación laboral fija, por el turno de promoción interna, a los aspirantes que se relacionan en el Anexo de esta Resolución, ordenados de acuerdo con la puntuación final obtenida, con indicación de las plazas que se les adjudican y del personal laboral interino al que sustituyen.

Segundo.

Los aspirantes aprobados cesarán en la plaza que actualmente ocupan en el plazo de tres días hábiles siguientes a la publicación de esta Resolución en el Boletín Oficial del Estado.

Los ceses serán formalizados utilizando para ello el documento L.1.R., y serán comunicados al Registro Central de Personal dentro del plazo máximo de tres días desde la fecha de la formalización, para su anotación.

Los aspirantes aprobados tomarán posesión de las plazas que les han sido adjudicadas en el plazo de tres días hábiles, contados a partir del día siguiente al del cese, si no implica cambio de residencia, o de un mes si implica cambio de la misma.

Las tomas de posesión se formalizarán utilizando para ello el documento L.2.R., y será comunicado al Registro Central de Personal dentro del plazo máximo de tres días desde la fecha de la formalización, para su anotación.

Cuando los actos de cese y toma de posesión señalados en los párrafos anteriores sean formalizados por la misma Autoridad, deberá utilizarse el documento L.3.R, y serán comunicados al Registro Central de Personal dentro del plazo máximo de tres días desde la fecha de la formalización, para su anotación.

El cómputo de los plazos posesorios se iniciará cuando finalicen las vacaciones oficiales que se estén disfrutando, y los permisos o licencias que, en su caso, hayan sido concedidos al interesado. El cómputo del plazo de toma de posesión del trabajador de baja por Incapacidad Temporal, se iniciará a partir del día siguiente al que se produzca el alta médica.

Tercero.

Todas las modificaciones de las condiciones de trabajo que se produzcan, serán recogidas en el Contrato de trabajo mediante la correspondiente Diligencia, que pasará a formar parte integrante del mismo. Dicha Diligencia será realizada por el Ministerio donde radica la nueva plaza adjudicada al trabajador.

Cuarto.

Simultáneamente a la ocupación efectiva de las plazas por los aspirantes aprobados, quedarán extinguidos, en su caso, los Contrato de trabajo del personal laboral interino que las estuvieran desempeñando.

Quinto.

Contra la presente Resolución podrá interponerse demanda ante la jurisdicción social, previa reclamación ante esta Secretaría General, en el plazo de veinte días de acuerdo con lo establecido en el artículo 59.4 del Estatuto de los Trabajadores, aprobado por Real Decreto Legislativo 1/1995, de 24 de marzo, en relación con lo prevenido en los artículos 69 de la Ley de Procedimiento Laboral, texto refundido aprobado por Real Decreto Legislativo 2/1995, de 7 de abril, y 125 de la Ley 30/1992, de 26 de noviembre, de Régimen Jurídico de las Administraciones Públicas y del Procedimiento Administrativo Común.

Lo que comunico a VV. II.

Madrid, 25 de mayo de 2004.–El Secretario General, Francisco Javier Velázquez López.

Ilmos. Sres. Subsecretarios de los Ministerios de Interior, Defensa, Fomento, Administraciones Públicas, Medio Ambiente, Cultura, Educación y Ciencia, Economía y Hacienda, Justicia, Sanidad y Consumo, Trabajo y Asuntos Sociales y Directora General de la Función Pública.

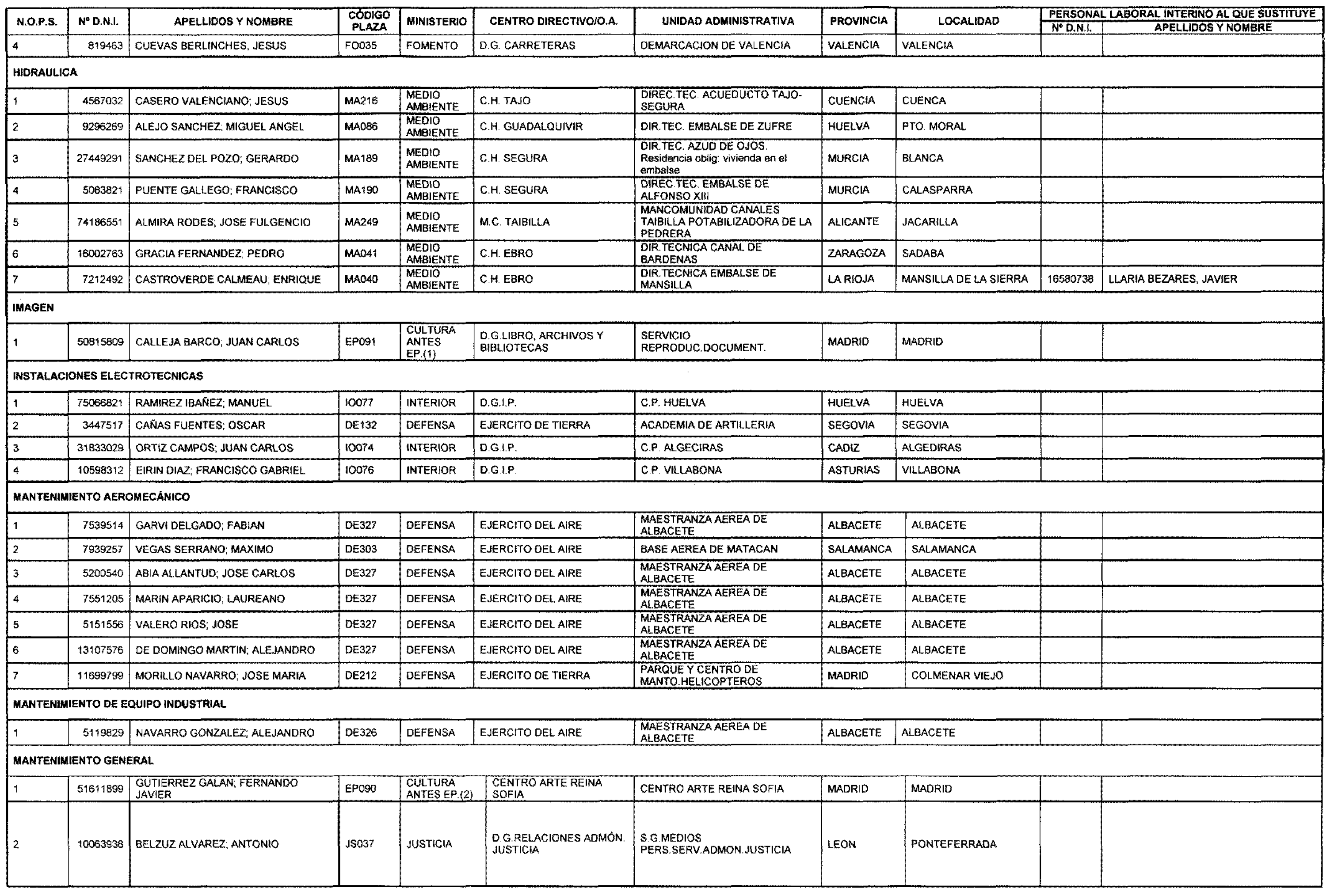
ANEXO
Pruebas selectivas para cubrir plazas de personal laboral fijo en la Categoría de Técnico Superior de Actividades Técnicas de Mantenimiento y Oficios, mediante contratación laboral fija, por el turno de promoción interna

Relación de aspirantes aprobados y plazas que se les adjudica

Imagen: /datos/imagenes/disp/2004/134/10312_16610816_image1.png

Imagen: /datos/imagenes/disp/2004/134/10312_16610816_image2.png

Imagen: /datos/imagenes/disp/2004/134/10312_16610816_image3.png

subir

Agència Estatal Butlletí Oficial de l'Estat

Avda. de Manoteras, 54 - 28050 Madrid