Está Vd. en

Documento BOE-A-2003-9381

Orden APU/1110/2003, de 22 de abril, por la que se convocan pruebas selectivas para cubrir plazas de personal laboral fijo en la categoría de Técnico de Actividades Técnicas de Mantenimiento y Oficios, mediante contratación laboral fija, por el turno de promoción interna.

Publicado en:
«BOE» núm. 110, de 8 de mayo de 2003, páginas 17542 a 17559 (18 págs.)
Sección:
II. Autoridades y personal - B. Oposiciones y concursos
Departamento:
Ministerio de Administraciones Públicas
Referencia:
BOE-A-2003-9381

TEXTO ORIGINAL

En cumplimiento de lo dispuesto en los artículos 29 y 31 del Convenio Único para el personal laboral de la Administración del Estado, el Acuerdo de la CIVEA de 7 de noviembre de 2000, relativa a la cobertura de puestos en el ámbito del convenio único, y de conformidad con los artículos 13.7 de la Ley 6/1997, de 14 de abril, de Organización y Funcionamiento de la Administración General del Estado y 56 de la Ley 24/2001, de 27 de diciembre, de Medidas Fiscales, Administrativas y de Orden Social,

Este Ministerio, en uso de las competencias que le están atribuidas, ha resuelto:

Primero.

Convocar proceso selectivo para cubrir, por el turno de promoción interna, las plazas que figuran relacionadas en el anexo a la presente Orden.

Segundo.

Quienes deseen tomar parte en el proceso selectivo podrán efectuar la solicitud en el plazo de veinte días naturales, contados a partir del siguiente al de la publicación en el «Boletín Oficial del Estado» de la presente Orden en impreso ajustado al modelo oficial de solicitud de admisión a pruebas selectivas en la Administración Pública y liquidación de derechos de examen (modelo 790) y que les será facilitado en el Ministerio de Defensa, el Centro de Información Administrativa del Ministerio de Administraciones Públicas, la Dirección General de la Función Pública, las Delegaciones y Subdelegaciones del Gobierno y en las representaciones consulares o diplomáticas y en la página de Internet www.map.es/seap/dgfp/dgfp.htm.

Tercero.

Las bases de la convocatoria se harán públicas, al menos, en los tablones de anuncios del Ministerio de Defensa, en las Delegaciones y Subdelegaciones del Gobierno; en la Dirección General de la Función Pública y Centro de Información Administrativa del Ministerio de Administraciones Públicas, así como en la página de internet del Ministerio de Defensa (www.mde.es).

Madrid, 22 de abril de 2003.‒P. D. [Orden APU/3363/2002 de 27 de diciembre (BOE del 3 de enero de 2003)], el Secretario de Estado para la Administración Pública, Julio Gómez-Pomar Rodríguez.

Ilmos. Sres. Directora General de la Función Pública, Subsecretario del Ministerio de Defensa y Presidente del órgano de selección.

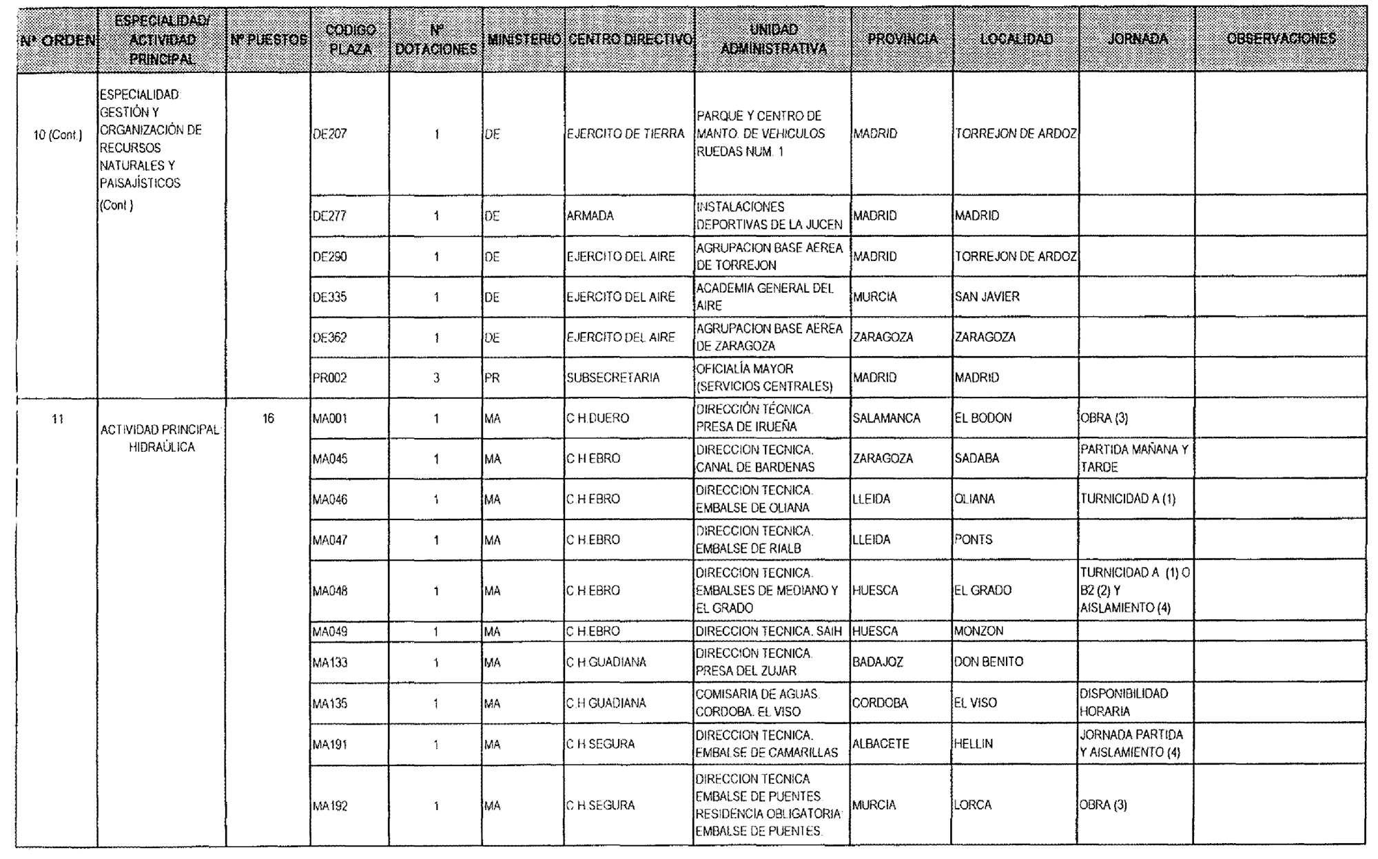
ANEXO I
Categoría profesional. Técnico de Actividades Técnicas, Mantenimiento y Oficios

Grupo profesional: 4

Área funcional: 2

Imagen: /datos/imagenes/disp/2003/110/09381_16893376_image1.png

Imagen: /datos/imagenes/disp/2003/110/09381_16893376_image2.png

Imagen: /datos/imagenes/disp/2003/110/09381_16893376_image3.png

Imagen: /datos/imagenes/disp/2003/110/09381_16893376_image4.png

Imagen: /datos/imagenes/disp/2003/110/09381_16893376_image5.png

Imagen: /datos/imagenes/disp/2003/110/09381_16893376_image6.png

Imagen: /datos/imagenes/disp/2003/110/09381_16893376_image7.png

Imagen: /datos/imagenes/disp/2003/110/09381_16893376_image8.png

Imagen: /datos/imagenes/disp/2003/110/09381_16893376_image9.png

Imagen: /datos/imagenes/disp/2003/110/09381_16893376_image10.png

Imagen: /datos/imagenes/disp/2003/110/09381_16893376_image11.png

Imagen: /datos/imagenes/disp/2003/110/09381_16893376_image12.png

Imagen: /datos/imagenes/disp/2003/110/09381_16893376_image13.png

Imagen: /datos/imagenes/disp/2003/110/09381_16893376_image14.png

Imagen: /datos/imagenes/disp/2003/110/09381_16893376_image15.png

Imagen: /datos/imagenes/disp/2003/110/09381_16893376_image16.png

subir

Agencia Estatal Boletín Oficial del Estado

Avda. de Manoteras, 54 - 28050 Madrid