Contingut no disponible en valencià

Us trobeu en

Documento BOE-A-2003-2411

Orden ECD/175/2003, de 20 enero, por la que a propuesta de la Consejería de Cultura y Educación de la Generalidad Valenciana, se nombran funcionarios de carrera de los Cuerpos de Profesores de Enseñanza Secundaria, Profesores Técnicos de Formación Profesional y Profesores de Escuelas Oficiales de Idiomas, a los aspirantes seleccionados en los procedimientos selectivos convocados por Orden de 9 de abril de 2001.

Publicado en:
«BOE» núm. 32, de 6 de febrero de 2003, páginas 4919 a 4939 (21 págs.)
Sección:
II. Autoridades y personal - A. Nombramientos, situaciones e incidencias
Departamento:
Ministerio de Educación, Cultura y Deporte
Referencia:
BOE-A-2003-2411

TEXTO ORIGINAL

El Real Decreto 850/1993, de 4 de junio («Boletín Oficial del Estado» del 30), por el que se regula el ingreso y la adquisición de especialidades en los Cuerpos de Funcionarios Docentes a que se refiere la Ley Orgánica 1/1990, de 3 de octubre, de Ordenación General del Sistema Educativo, en su artículo 38.1 dispone: «Concluida la fase del prácticas y comprobado que todos los aspirantes declarados aptos en la misma reúnen los requisitos generales y específicos de participación establecidos en la convocatoria, los órganos convocantes aprobarán los expedientes del proceso selectivo que harán públicos en la misma forma que se hizo pública la convocatoria y remitirán las listas de ingresados en los diferentes cuerpos al Ministerio de Educación y Ciencia, a efectos de la expedición de los correspondientes títulos de funcionarios de carrera».

Aprobado por Resolución de 15 de julio de 2002 («Diario Oficial de la Generalidad Valenciana» de 9 de agosto), de la Dirección General de Personal de la Consejería de Cultura y Educación de la Generalidad Valenciana, el expediente de los procedimientos selectivos de ingreso y acceso a los Cuerpos de Profesores de Enseñanza Secundaria, Profesores Técnicos de Formación Profesional y Profesores de Escuelas Oficiales de Idiomas, convocados por Orden de 9 de abril de 2001.

De conformidad con lo establecido en el citado artículo 38.1 del Real Decreto 850/1993, de 4 de junio, en el artículo 17 de la Ley Articulada de Funcionarios Civiles del Estado y en el Real Decreto 2169/1984, de 28 de noviembre, de atribuciones de competencias en materia de personal.

Este Ministerio, a propuesta de la Consejería de Cultura y Educación de la Generalidad Valenciana, ha dispuesto:

Primero.

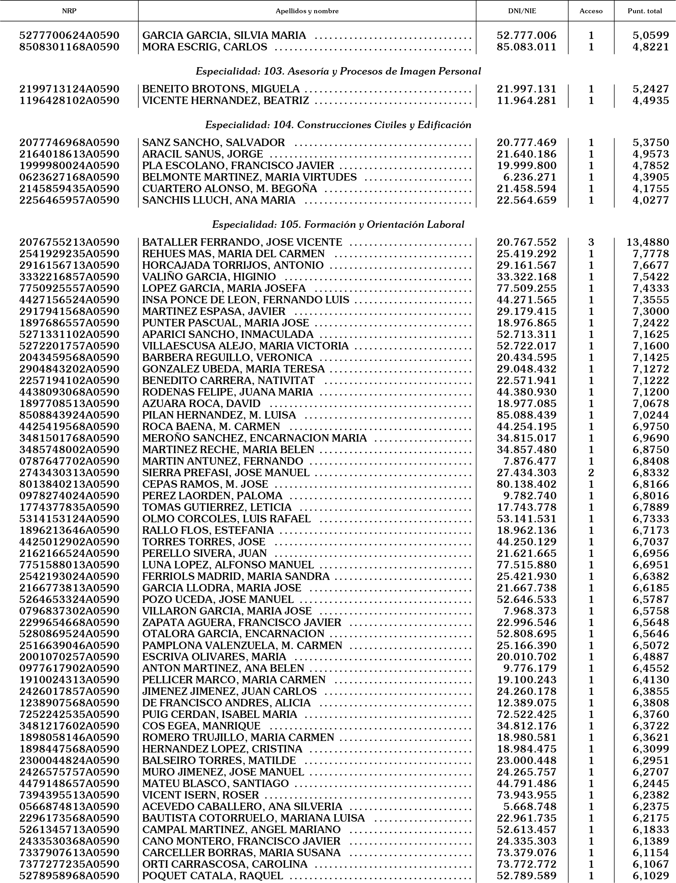
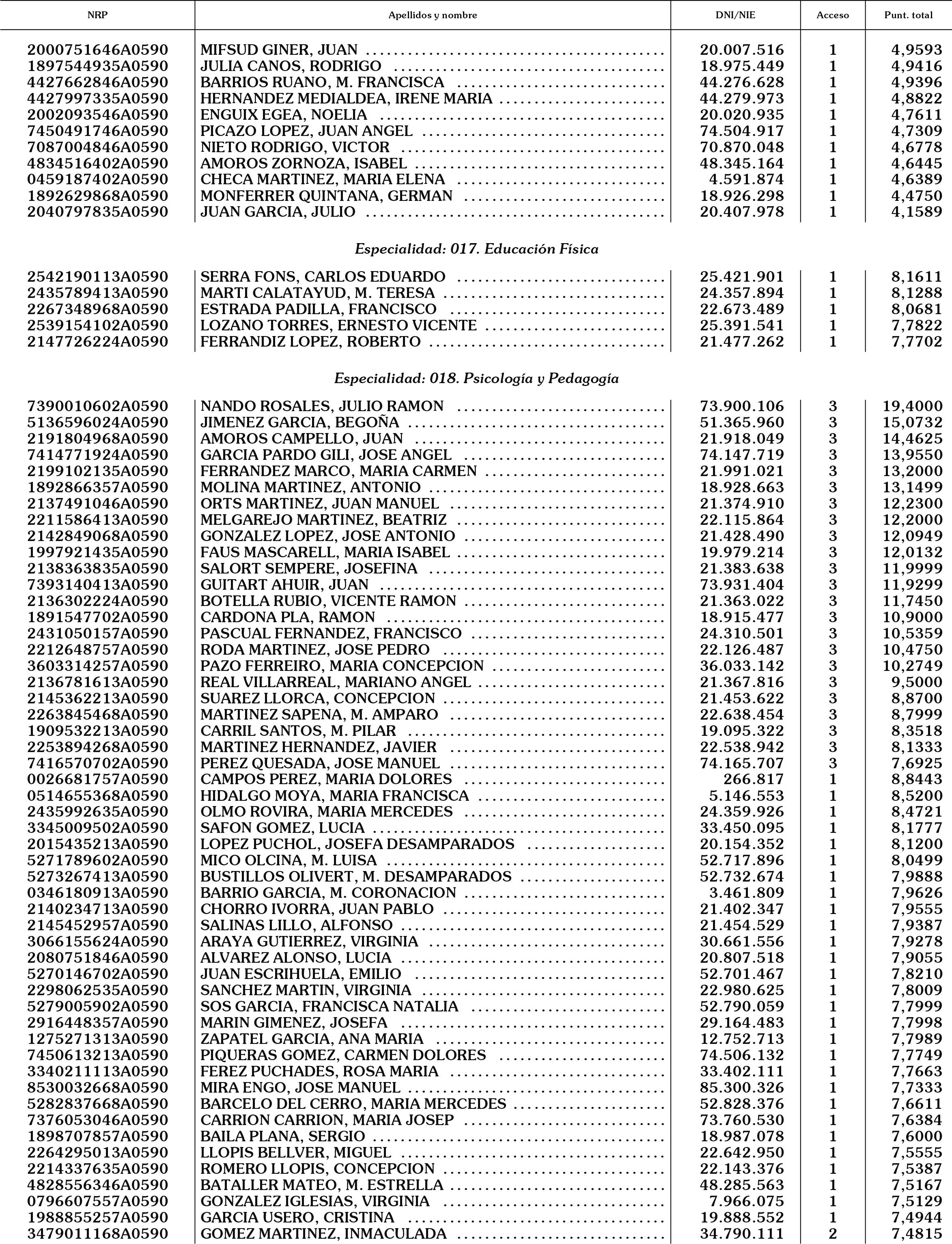
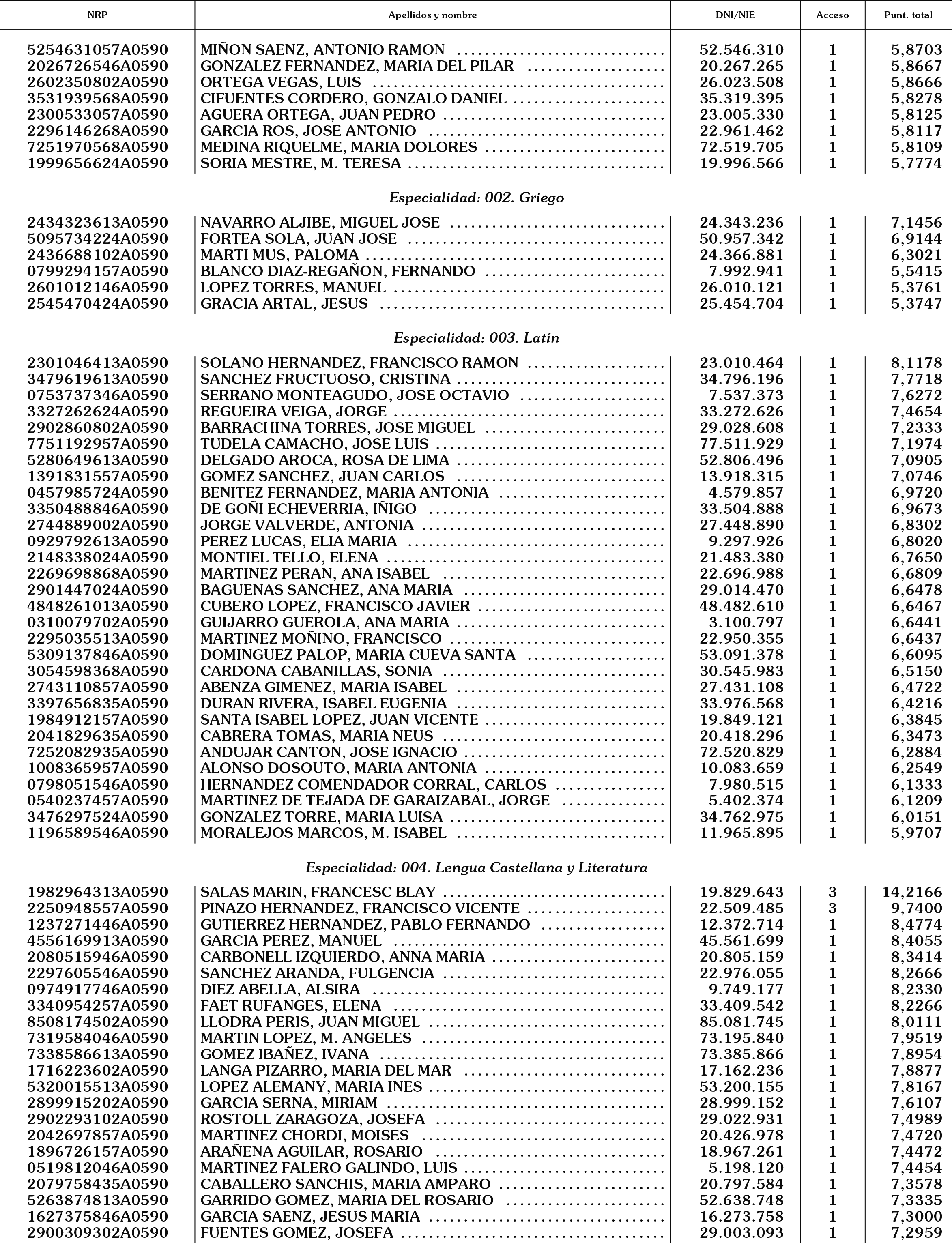
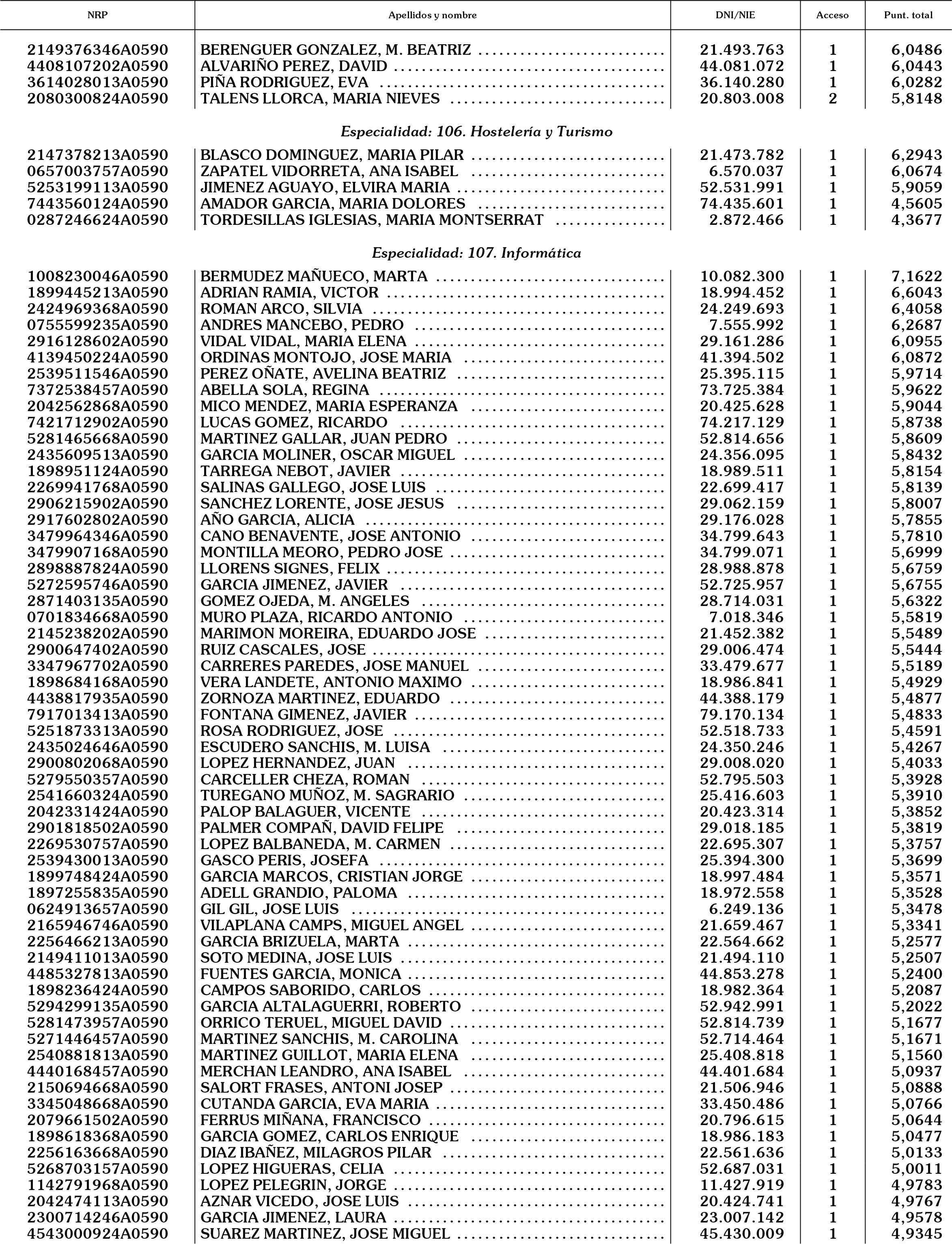
Nombrar funcionarios de carrera de los Cuerpos de Profesores de Enseñanza Secundaria, Profesores Técnicos de Formación Profesional y Profesores de Escuelas Oficiales de Idiomas, a los aspirantes seleccionados en los procedimientos selectivos convocados por Orden de 9 de abril de 2001, que aparecen relacionados en el anexo a la presente Orden, con indicación del número de registro de personal que les corresponde.

Segundo.

Los nombrados a través de la presente Orden se considerarán ingresados como funcionarios de carrera del Cuerpo de la Administración del Estado por el que han superado el procedimiento selectivo, con efectos de 1 de septiembre de 2002.

Tercero.

Contra esta Orden, que es definitiva en la vía administrativa, cabe interponer recurso contencioso-administrativo, ante la Sala de lo Contencioso-Administrativo de la Audiencia Nacional, conforme a lo establecido en el artículo 11.1 de la Ley 29/1998, de 13 de julio, reguladora de la Jurisdicción Contencioso-Administrativa, y artículo 66 de la Ley Orgánica 6/1985, de 1 de julio, del Poder Judicial, en la redacción dada por la Ley Orgánica 6/1998, de 13 de julio, en el plazo de dos meses, a contar desde el día siguiente a la fecha de su publicación, de acuerdo con lo dispuesto en el artículo 46.1 de la citada Ley 29/1998.

Asimismo, la presente Orden podrá ser recurrida potestativamente en reposición, en el plazo de un mes y ante el mismo órgano que la ha dictado, de acuerdo con lo dispuesto en los artículos 116 y 117 de la Ley 30/1992, de 26 de noviembre, de Régimen Jurídico de las Administraciones Públicas y del Procedimiento Administrativo Común, en la redacción dada por la Ley 4/1999, de 13 de enero.

Madrid, 20 de enero de 2003.‒La Ministra, P. D. (Orden de 1 de febrero de 2001, «Boletín Oficial del Estado» del 9), la Directora general de Programación Económica, Personal y Servicios, Engracia Hidalgo Tena.

Ilma. Sra. Directora general de Programación Económica, Personal y Servicios.

ANEXO

Imagen: /datos/imagenes/disp/2003/32/02411_16060834_image1.png

Imagen: /datos/imagenes/disp/2003/32/02411_16060834_image2.png

Imagen: /datos/imagenes/disp/2003/32/02411_16060834_image3.png

Imagen: /datos/imagenes/disp/2003/32/02411_16060834_image4.png

Imagen: /datos/imagenes/disp/2003/32/02411_16060834_image5.png

Imagen: /datos/imagenes/disp/2003/32/02411_16060834_image6.png

Imagen: /datos/imagenes/disp/2003/32/02411_16060834_image7.png

Imagen: /datos/imagenes/disp/2003/32/02411_16060834_image8.png

Imagen: /datos/imagenes/disp/2003/32/02411_16060834_image9.png

Imagen: /datos/imagenes/disp/2003/32/02411_16060834_image10.png

Imagen: /datos/imagenes/disp/2003/32/02411_16060834_image11.png

Imagen: /datos/imagenes/disp/2003/32/02411_16060834_image12.png

Imagen: /datos/imagenes/disp/2003/32/02411_16060834_image13.png

Imagen: /datos/imagenes/disp/2003/32/02411_16060834_image14.png

Imagen: /datos/imagenes/disp/2003/32/02411_16060834_image15.png

Imagen: /datos/imagenes/disp/2003/32/02411_16060834_image16.png

Imagen: /datos/imagenes/disp/2003/32/02411_16060834_image17.png

Imagen: /datos/imagenes/disp/2003/32/02411_16060834_image18.png

Imagen: /datos/imagenes/disp/2003/32/02411_16060834_image19.png

Imagen: /datos/imagenes/disp/2003/32/02411_16060834_image20.png

Imagen: /datos/imagenes/disp/2003/32/02411_16060834_image21.png

subir

Agència Estatal Butlletí Oficial de l'Estat

Avda. de Manoteras, 54 - 28050 Madrid