Contido non dispoñible en galego

Está Vd. en

Documento BOE-A-1979-20786

Resolución de la Dirección General de Trabajo por la que se homologa el Convenio Colectivo de ámbito interprovincial de la Empresa «Hispánica de Petróleos, S. A.» (HISPANOIL).

Publicado en:
«BOE» núm. 203, de 24 de agosto de 1979, páginas 19889 a 19895 (7 págs.)
Sección:
III. Otras disposiciones
Departamento:
Ministerio de Trabajo
Referencia:
BOE-A-1979-20786

TEXTO ORIGINAL

Visto el expediente de Convenio Colectivo de ámbito interprovincial de la Empresa «Hispánica de Petróleos, S. A.» (HISPANOIL), y sus trabajadores y,

Resultando que con fecha 11 de mayo de 1979 tuvo entrada en esta Dirección General el expediente correspondiente al citado Convenio con su texto, pero sin la documentación económica pertinente, suscrito por las partes el día 27 de junio de 1079, previas las negociaciones llevadas a cabo por la Comisión Deliberadora designada al efecto y al objeto de proceder, en su caso, a la homologación del mismo;

Resultando que solicitada nueva documentación económica, que tuvo entrada en este Centro directivo el 25 de junio de 1979, y previos los correspondientes estudios económicos, por tratarse de una Empresa comprendida en la norma primera del artículo 1° del Real Decreto 217/1079, de 10 de enero, con suspensión del plazo para su homologación, fue sometido a la consideración de la Comisión Delegada del Gobierno para Asuntos Económicos, la que en su sesión del día 2 de julio de 1979 autorizó su homologación;

Resultando que en la tramitación de este expediente se han observado las normas legales y reglamentarias;

Considerando que la competencia para conocer del expediente le viene atribuida a esta Dirección General por el artículo 14 de la Ley 38/1973, de 19 de diciembre, sobre Convenios Colectivos, y el artículo 12 de la Orden de 21 de enero de 1974, en cuanto a homologar lo acordado por las partes en el Convenio Colectivo objeto de esta Resolución, por ser de ámbito interprovincial, y disponer su inscripción en el Registro de la misma, así como acordar su publicación en el «Boletín Oficial del Estado»;

Considerando que el texto del Convenio se ajusta a los preceptos contenidos en el Real Decreto-ley 49/1978, de 26 de diciembre, ha sido autorizado por la Comisión Delegada del Gobierno para Asuntos Económicos en su sesión de 2 de julio de 1979, y que, examinadas sus estipulaciones, el pacto no contiene contravenciones a normas de derecho necesario, por todas cuyas razones procede su homologación.

Vistos los preceptos legales citados y demás de general y pertinente aplicación,

Esta Dirección General acuerda:

Primero.

Homologar el Convenio Colectivo suscrito por la representación de los trabajadores y de la Empresa «Hispánica de Petróleos, S. A.» (HISPANOIL), el día 24 de junio de 1979.

Segundo.

Hacer la advertencia a las partes de que esta homologación se entiende sin perjuicio de los efectos prevenidos en el artículo 5.°, 2, y en el artículo 7.° del Real Decreto-ley 43/1977, de 25 de noviembre, vigentes, conforme ordena el articulo 5.º del Real Decreto-ley 49/1978, de 20 de diciembre.

Tercero.

Notificar esta Resolución a los representantes de los trabajadores y de la Empresa en la Comisión Deliberadora, haciéndoles saber que, de acuerdo con lo dispuesto en el artículo 14 de la Ley 38/1973, de 19 de diciembre, no cabe recurso, contra la misma en vía administrativa por tratarse de Resolución homologatoria.

Cuarto.

Disponer su publicación en el «Boletín Oficial del Estado» y su inscripción en el Registro correspondiente de esta Dirección General.

Madrid, 16 de julio de 1979.–El Director general, José Miguel Prados Terriente.

CONVENIO COLECTIVO INTERPROVINCIAL DE LA EMPRESA «HISPANICA DE PETROLEOS, S. A.» (HISPANOIL)
CAPÍTULO I
Ámbito de aplicación
Artículo 1. Ambito territorial.

Las normas del presente Convenio Colectivo se aplicarán en los centros de trabajo de Madrid y Tarragona, asi como en cualquier otro centro de trabajo que durante la vigencia del presente Convenio pueda establecerse.

Artículo 2. Ámbito temporal.

El presente Convenio entrará en vigor el mismo día de su publicación en el «Boletín' Oficial del Estado,» pero surtirá efectos desde el 1 de enero de 1979.

La duración será de dos años, contados desde el 1 de enero de 1979, siendo prorrogable tácitamente de año en año, siempre que no se denuncie debida y reglamentariamente su vigencia por cualquiera de las partes con tres meses de antelación a la fecha de su vencimiento inicial o a la de cualquiera de sus prórrogas.

No obstante, aquellas materias que tengan un contenido económico serán negociadas de nuevo al término del primer año de vigencia del Convenio, aplicándose las revisiones que se acuerden desde el 1 de enero de 1980.

Artículo 3. Ámbito personal.

Las normas del presente Convenio Colectivo serán de aplicación a todos los empleados que presten sus servicios en la Empresa, con excepción de los Directores y del personal eventual e interino.

CAPÍTULO II
Retribuciones
Artículo 4. Política salarial.

Constituyen principios básicos:

– Pagar salarios no inferiores a la media de los pagados por las Empresas españolas de investigación y explotación de hidrocarburos.

– Mantener una congruencia y equidad en la retribución, fijándose el principio básico de que «a igualdad en capacidad técnica, idéntica remuneración».

– Establecer un ritmo constante de subidas en los niveles profesionales en función de los méritos del empleado.

– Publicar todas las modificaciones que sobre política salarial, sistemas de retribución y niveles profesionales se produzcan a partir de la entrada en vigor del presente Convenio.

Artículo 5. Número de pagas.

El sueldo bruto anual de cada empleado será distribuido en quince (15) pagas, tres de las cuales tendrán carácter de extraordinarias, las cuales serán percibidas, en la primera quincena de los meses de julio, octubre y diciembre, respectivamente.

Artículo 6. Componentes del salario.

El salario del empleado se desglosa según los componentes siguientes:

a) Sueldo base: Se mantienen los sueldos bases siguientes al 31 de diciembre de 1978 para cada una de las categorías profesionales, excepto aquellos que sean equivalentes al mínimo legal, a fin de no producir incrementos de antigüedad que repercutan sobre la masa salarial que no sean los derivados del cumplimiento de nuevos bienios.

b) Antigüedad: La permanencia de un empleado en la Empresa será premiada por ésta por medio de una prima especial establecida al efecto.

Cada empleado percibirá por este concepto un 5 por 100 del salario base correspondiente a su categoría laboral por cada dos años de servicie en la Empresa. La fecha desde la cual se puede tener derecho a esta prima es la de l de enero o 1 de julio, según que el bienio de permanencia en la Empresa se cumpla dentro del primer o segundo semestre del año.

c) Complemento personal: Es el resultante de restar al sueldo bruto, señalado para cada empleado, el sueldo base correspondiente a la categoría laboral del mismo. Este complemento es revisable en función de los aumentos que por los diversos conceptos se efectúen al empleado y también compensable con los incrementos que oficialmente se establezcan en los sueldos bases.

d) Prima de mando y responsabilidad: Tienen derecho a esta prima aquellos empleados que en la actualidad la vienen percibiendo, y aquellos que en el futuro sean promovidos ala categoría de Jefe de Sección, Jefe de Departamento y categorías o puestos asimilados. En caso de que el empleado dejé de ocupar el puesto que dio lugar al pago de la prima, dejará de percibirla.

El importe de la prima de mando es el siguiente:

– Jefe de Sección: El 4 por 100 del salario base más complemento personal.

– Jefe de Departamento: El 6 por 100 del salario base más complementó personal.

e) Prima de peligrosidad: La Comisión Paritaria (ver capítulo IX) efectuará los trámites pertinentes para que, tras el oportuno expediente, se declaren por la Delegación de Trabajo aquellos puestos que, por reunir las condiciones necesarias, deban ser compensados con una prima de peligrosidad. Dicha prima se aplicará desde el momento en que oficialmente se efectúe la declaración.

Artículo 7. Tabla salarial.

A partir de la entrada en vigor del presente Convenio, las retribuciones brutas anuales mínimas para las diversas categorías profesionales son las que se indican en la tabla adjunta (anexo 1).

La tabla salarial (anexo II) que se estableció en el desarrollo del anterior Convenio se considera inaplicable, dado el Real Decreto-ley 49/1978, de 20 de diciembre, y dada su difícil ejecución práctica, por lo que la Comisión Paritaria la revisará para hacerla aplicable cuando no existan limitaciones legales, a partir de cuyo momento se anulará automáticamente la tabla de mínimos salariales.

En ningún caso será contratado personal por debajo de los mínimos salariales establecidos en este Convenio.

Artículo 8. Pago de salarios y anticipos.

El pago de los sueldos de los empleados se efectuará por medio de transferencia bancaria a la cuenta corriente que cada empleado indique.

Se podrán solicitar anticipos sobre el sueldo por un importe máximo de una mensualidad líquida. Hasta el día 13 de cada mes el anticipo sólo se podrá solicitar a cuenta del mes de que se trate. A partir de ese día, se podrá solicitar exclusivamente a cuenta de la remuneración del mes siguiente. También se podrán solicitar anticipos sobre las pagas extraordinarias por un importe máximo equivalente a la cantidad ya devengada.

Artículo 9. Revisión salarial por coste de vida.

Ambas partes acuerdan que, cuando no existan disposiciones legales que limiten el crecimiento de los salarios, será aplicable el principio contenido en el articulo 8 del Convenio Colectivo de «Hispanoil» de 12 de octubre de 1978.

Para el año 1979, a la vista del real Decreto-ley 49/1978, de 26 de diciembre, se establece el siguiente sistema de revisión salarial:

MASA SALARIAL

Componentes:

– Remuneraciones brutas.

– Antigüedad.

– Horas extras.

Incremento:

– 12 por 100 sobre masa salarial remuneraciones brutas, destinado a incremento de sueldo con carácter general, de acuerdo a la siguiente distribución:

• 80 por 100 proporcional.

• 20 por 100 lineal.

• 0,75 por 100 sobre la masa salarial remuneraciones brutas, destinado a promociones.

• 12 por 100 del importe masa salarial antigüedad y horas extras, destinado a cubrir los incrementos de antigüedad derivados de:

a) Cumplimiento de nuevos bienios;

b) Aumentos de salarios base equivalentes al mínimo legal.

En caso de quedar un excedente por este concepto a final de año, será repartido linealmente entre todos los empleados.

El incremento de la masa salarial indicado se acuerda en base al compromiso, tanto por parte de la Dirección de la Empresa como por parte de los trabajadores, de reducir el absentismo e incrementar la productividad mediante el sistema de horario y control de la jornada laboral que se establece en el capítulo III.

Artículo 10. Revisión salarial por promoción.

En caso de promoción a una categoría laboral superior, el empleado percibirá el sueldo mínimo correspondiente a su nueva categoría laboral, según la tabla salarial adjunta (anexo I), si su sueldo fuese inferior.

En caso de que su sueldo fuese superior a dicho mínimo, el cambio de categoría no implicará aumento de sueldo siempre y cuando no represente mayor responsabilidad y/o conocimientos, en cuyo caso se deberá producir un incremento del sueldo, una vez superado favorablemente un período de prueba en el puesto de seis (8) meses de duración.

Artículo 11. Retribuciones durante la incapacidad laboral transitoria.

Durante la situación de incapacidad laboral transitoria, la Empresa completará la aportación a cargo de la Seguridad Social hasta el 100 por 100 del sueldo líquido del empleado, para lo cual, si la enfermedad se prolonga más de quince días, el empleado deberá solicitar el parte de baja de ia Seguridad Social, a fin de que la Empresa pueda recuperar la cantidad correspondiente de la Seguridad Social. En caso contrario, el empleado recibirá solamente la aportación de la Empresa.

Artículo 12. Horas extraordinarias.

a) Concepto: Tienen esta consideración aquellas que excedan de cuarenta horas semanales durante la jornada de invierno, o de treinta y cinco durante el, verano, así como las que excepcionalmente se realicen en domingos y días festivos, cualquiera que sea el número de horas semanales de trabajo, o durante la noche.

Las horas de trabajo realizadas en sábado sólo tendrán la consideración de extraordinarias cuando el total de la semana exceda de cuarenta horas en invierno y de treinta y cinco durante la jornada de verano.

Importe: Las horas extraordinarias efectuadas por el personal que preste sus servicios en oficinas, con excepción del personal que más adelante se cita, se abonarán con los siguientes recargos:

– Horas extraordinarias efectuadas en día laborable (tanto durante el día como, excepcionalmente, durante la noche), 50 por 100 de recargo sobre el valor hora normal.

– Horas extraordinarias efectuadas en sábado (excepto para el personal con horario especial de trabajo, mientras no sobrepase las cuarenta horas semanales), 100 por 100 de recargo sobre el valor hora normal.

– Horas extraordinarias efectuadas en domingos o festivos, 150 por 100 de recargo sobre el valor hora normal.

– Horas trabajadas en días considerados por la Empresa como no laborables, 100 por 100 de recargo sobre el valor hora normal.

El módulo para el cálculo del valor de las horas extraordinarias será el establecido por las disposiciones legales vigentes en cada momento.

Personal excluido: Queda excluido del régimen señalado anteriormente sobre horas extraordinarias el personal con categoría laboral de Ingeniero, Licenciado, Jefe administrativo de primera y cualquier empleado que esté devengando dietas de viaje y/o bonos de campo.

Durante el año 1979 no se superará el importe abonado en 1978 por el concepto de horas extras, para lo cual se reducirá su número a efectuar en el año en el porcentaje que sea preciso. En el supuesto de que en la práctica se observe la imposibilidad de llevar a cabo esta limitación, se estudiará la necesidad de contratación de nuevo personal.

CAPÍTULO III
Jornada laboral

Con la finalidad de conseguir una reducción del absentismo y que el empleado tenga una mayor facilidad en el cumplimiento de su jornada laboral, haciéndola compatible con el trabajo normal de oficina, se establece un sistema de horario flexible con arreglo a los siguientes principios:

Artículo 13. Invierno.

La jornada laboral para los empleados que presten sus servicios en régimen de trabajo normal de oficina durante el período comprendido entre el 18 de septiembre y el 30 de junio de cada año es de cuarenta horas semanales, distribuidas de lunes a viernes conforme al siguiente horario flexible:

– Período cerrado: 9,30-13,30 y 15,00-17,00.

– Período abierto: 8,00-9,30 y 17,00-19,30.

– Saldo semanal: Cuarenta horas.

– A efectos dé cómputo no se contabilizarán más de diez y media horas diarias.

– El horario de comida será de trece treinta a quince horas, con utilización de una hora. Dentro del intervalo trece treinta quince horas, los empleados dispondrán a su libre elección de una hora para comer. La media hora sobrante será de obligada permanencia en la Empresa y se contabilizará como de trabajo.

Artículo 14. Verano.

Se considera como jornada de verano la Comprendida entre el 1 de julio y el 15 de septiembre de cada año. Durante ella, la jornada laboral es de treinta y cinco horas semanales, distribuidas de lunes a viernes conforme al siguiente horario flexible;

– Período cerrado: 9,00-14,45.

– Período abierto: 7,45-9,00. 14,45-15,00 y 15,30-18,00.

– Saldo semanal: Treinta y cinco horas.

– El período de quince a quince treinta horas se destinará a comida, no pudiendo computarse en ningún caso como de trabajo.

– A efectos de cómputo no se contabilizarán más de nueve horas y cuarenta y cinco minutos diarios.

Estará sujeto al sistema de horario flexible todo el personal cubierto por el ámbito del Convenio en régimen de trabajo de oficina, con las excepciones que se indican en el artículo 15.

Para la debida puesta en práctica del horario flexible, se establecerá un sistema de control horario, cuya aprobación corresponde a la Comisión Paritaria establecida en el capítulo IX.

A la implantación del horario flexible, dicho control de horario se limitará exclusivamente a la entrada y salida de la jornada laboral y entrada y salida de la comida.

Se establece un período de prueba del régimen de horario flexible, cuya forma y denuncia se sujetará al procedimiento acordado por la Comisión Deliberadora del presente Convenio. (Acta de 4 de abril de 1979.)

Intervención del Comité de Empresa en el control de horario: En el caso de que un empleado vaya a ser sancionado por la Empresa por faltas de puntualidad en la asistencia al trabajo o por incumplimiento de la jornada laboral establecida, la Dirección lo pondrá en conocimiento del Comité con dos días laborables de antelación, exponiendo los motivos y tipo de sanción a aplicar y asegurando que éste o estos empleados han sido los únicos merecedores de esta sanción. Si el Comité lo considera necesario, podrá pedir a la Dirección una ampliación de lo indicado anteriormente, solicitando las justificaciones que estime conveniente.

Artículo 15. Jornada especial.

Las necesidades del servicio obligan a establecer un horario especial para determinados puestos de trabajo, sin sobrepasar el límite de cuarenta horas semanales. En consecuencia, quedan excluidos del sistema de horario flexible los siguientes puestos de trabajo:

– Portero Mayor.

– Conserje de Presidencia.

– Conductor asignado a Presidencia.

– Conductor asignado a Dirección General.

– Conserje principal de mañana.

– Conserje principal de tarde.

Los cuatro primero puestos citados serán compensados con una prima por no poder disfrutar del horario flexible.

El horario del Conserje principal (tumo mañana) se mantiene de siete treinta a catorce horas; para el turno de tarde, de catorce a veintiuna horas.

El horario del sábado para estos puestos es de llueve a trece treinta horas.

Los puestos de Botones, Telefonistas (excepto los que tienen horario especial) y Teletipistas podrán tener flexibilidad en el horario siempre que el servicio quede cubierto, para lo cual se establecerán turnos y condiciones de conformidad con los interesados.,

A fin de que, los correspondientes servicios estén atendidos en todo momento, se establecen los siguientes turno especiales de Telefonistas y Operador de telex:

– Telefonista (turno mañana):

Invierno: Lunes a viernes, ocho treinta a catorce horas.

Verano: Lunes a viernes, ocho a trece horas.

– Telefonista (turno tarde):

Invierno: Lunes a viernes, catorce a diecinueve treinta horas.

Verano: Lunes a viernes, trece treinta a diecinueve horas.

Los ocupantes de estos puestos deberán trabajar alternativamente los sábados, de nueve a trece treinta horas.

– Operador de telex (turno tarde): De lunes a viernes, quince a veintiuna horas. Sábados, nueve a trece treinta horas.

La Empresa se reserva la facultad de establecer nuevos_ turnos de trabajo especiales cuando las necesidades del trabajo, en el futuro así lo aconsejen.

CAPÍTULO IV
Condiciones laborales
Artículo 16. Vacaciones.

Duración y cómputo: Todo el personal de «Hispanoil» tiene derecho a una vacación anual retribuida de treinta días naturales.

Solamente se tendrá derecho a vacaciones completas transcurrido un año de servicio en la Empresa. En caso contrario, se disfrutará la parte proporcional que corresponda, calculada a razón de dos días y medio por mes de servicio.

El plazo para tener derecho a vacaciones se computará del 1 de julio al 30 de junio del siguiente año, siendo esta última la fecha tepe antes de la cual podrán tener derecho a vacaciones proporcionales los nuevos empleados.

Fecha de disfrute: Las vacaciones se disfrutarán, siempre que las necesidades del trabajo lo permitan, en cualquier época del año, preferentemente en verano, fijándose la fecha de su disfrute de mutuo acuerdo cada empleado con el Jefe de su Departamento, habida cuenta de las necesidades de la Empresa.

Para la determinación de la fecha de disfrute de vacaciones, caso de que dos o más empleados pretendan disfrutarlas en la misma fecha y ello no sea posible por razones de servicio, se atenderá a diversos factores tales como antigüedad, situación familiar, etc.

No se podrán acumular todo o parte de las vacaciones de un año con las del siguiente, ni tampoco, en principio, se podrán repartir en más de dos periodos, y siempre con el consentimiento del Jefe del Departamento correspondiente.

Los empleado elegirán antes del mes de mayo las fechas de vacaciones que deseen.

Además del período reglamentario de vacaciones, los empleados disfrutarán de una semana de vacaciones en Navidad, que será o la semana que incluye el día de Navidad o la que incluye el día de Año Nuevo; el criterio de elección se hará en base a las necesidades del servicio.

Asimismo, se consideran como fiestas no recuperables el Jueves Santo y la festividad dé Santa Bárbara, y medias fiestas el Miércoles Santo, 24 de diciembre y 31 de diciembre.

Artículo 17. Permisos.

a) Permisos retribuidos: El empleado tendrá derecho a permisos retribuidos por los motivos y en la cuantía siguientes:

a.1. Por un tiempo de quince días ininterrumpidos por contraer matrimonio.

a.2. Durante dos días, que podrán ampliarse hasta tres más, cuando el trabajador necesite realizar un desplazamiento al efecto en los casos de alumbramiento de esposa o de enfermedad grave o fallecimiento de cónyuge, hijo, padre o madre de uno y otro cónyuge, nietos, abuelos o hermanos.

a.3. Durante dos días por acontecimiento familiar grave o importante, y a discreción de la Empresa.

b) Permisos sin retribución: Los empleados que lleven como mínimo un año en la Empresa tendrán derecho a disfrutar permiso sin sueldo por un plazo que no exceda de veinte días naturales por año.

La petición de licencia deberá presentarse con diez días de anticipación al comienzo de la fecha en que se desee disfrutar, y deberá concederse si las necesidades del servicio lo permiten.

c) Permiso por maternidad: En caso de alumbramiento, las empleadas podrán disfrutar de un permiso voluntario de seis semanas antes de la fecha prevista por el Médico para el parto y de otro obligatorio de ocho semanas después del parto, teniendo la empleada opción a acumular dichos periodos después del nacimiento. En ambos periodos la empleada percibirá el 100 por 100 de su último sueldo bruto mensual, excluida la ayuda de comida en aquellos casos en que la empleada la viniera percibiendo.

Artículo 18. Excedencias.

a) Servicio militar: La Empresa se obliga a cumplir todas las disposiciones legales o reglamentarias vigentes para el personal que se encuentre cumpliendo el servicio militar: Reserva de plaza, Seguridad Social, antigüedad, etc.

Además se establece para el personal que se encuentre en esta situación el siguiente régimen:

– Si el empleado es soltero y sin hijos percibirá el 75 por 100 de su sueldo bruto mensual o el salario base si éste fuera mayor. Si acudiera a la Empresa a trabajar cobrará el 100 por 100 de su sueldo siempre que realice un mínimo de cuarenta horas mensuales.

– En los demás casos percibirá el 100 por 100 de su sueldo bruto mensual.

Si el empleado hubiese sido sustituido por otro durante la prestación de su servicio militar y acudiese a la Empresa a trabajar, podrá ser destinado por ésta a otro trabajo de igual categoría, si no fuesen necesarios sus servicios en el puesto que’ desempeñaba anteriormente. Finalizado el servicio militar, se reincorporará a su antiguo puesto.

Durante el servicio militar, el empleado conservará los mismos derechos que el resto de los empleados, respecto de las mejoras sociales establecida s por la Empresa: Servicio Médico, Economato, pólizas de seguro, etc.

El personal que sustituya al que se halla en el servicio militar percibirá la remuneración correspondiente a su nuevo puesto, si fuese de mayor categoría, volviendo a su antiguo puesto y remuneración al incorporarse el empleado a quien hubiese sutituido, y cesará en la Empresa si hubiese sido contratado con carácter interino para esta finalidad.

b) Excedencia voluntaria: El personal de plantilla que lleve prestando sus servicios de manera permanente dos años, como mínimo, podrá pasar a la situación de excedencia voluntaria por un tiempo no inferior a tres meses ni superior a cinco 'años.

c) Excedencias especiales: El empleado que lleve prestando sus servicios de manera permanente más de un año podrá solicitar la excedencia por un período de uno a tres meses por:

1. Razones personales de cualquier índole, en cuyo caso la Empresa deberá concedérsela, salvo que muy importantes razones de trabajo lo impidan.

2. Razones de ampliación de estudios o exigencias familiares de carácter ineludible, en cuyo caso, la Empresa deberá resolver favorablemente.

d) Excedencia forzosa: La concesión de la excedencia será obligatoria cuando se haga a petición de autoridad competente para el desempeño de un cargo público, en cuyo caso el tiempo de duración de la excedencia se extenderá a todo el tiempo que el trabajador desempeñe el cargo de que se trate y quince días más.

En todos los casos de excedencia, la Empresa mantendrá a favor del empleado los seguros que, referentes a su persona, tuviera suscritos en el momento de producirse ésta, pudiendo cargar el costo de dichos seguros al empleado.

Artículo 19. Incapacidad laboral transitoria.

En caso de baja por incapacidad laboral transitoria, el empleado deberá aportar el correspondiente parte de la Seguridad Social siempre que la baja se prolongue más de quince días, si bien la Empresa se reserva el derecho de exigir los justificantes que estime pertinentes en cualquier momento.

Artículo 20. Comida.

Todos los empleados que trabajen en la Oficina Central de Madrid podrán efectuar su comida en el comedor de la Empresa. El importe de la misma será a cargo de la Empresa, excepto durante la jornada de verano.

Se mantendrá la ayuda económica en la forma y condiciones señaladas en el artículo 22 del anterior Convenio para los empleados que no trabajen en la Oficina Central de Madrid, siempre que no dispongan de comedor y de un margen de más de una hora para comer.

Artículo 21. Seguridad Social.

Será de cuenta de la Empresa la cotización íntegra de la Seguridad de cada empleado.

CAPÍTULO V
Beneficios sociales
Artículo 22. Seguros.

Se mantienen los seguros que actualmente tiene la Empresa concertados con la Mutualidad de Seguros del INI, correspondientes a viudedad, orfandad, invalidez, fallecimiento, jubilación y accidentes, con las siguientes mejoras:

a) Viudedad y orfandad: La pensión de orfandad será vitalicia para los hijos inválidos o subnormales. Si fallece el beneficiario de la pensión de viudedad, ésta pasará a ser vitalicia para estos hijos.

b) Invalidez: Siempre que sea total, absoluta y permanente ésta situación se equiparará a la de jubilación.

c) Jubilación: Se mantendrá al jubilado en el seguro de vida.

d) Seguro de accidentes: Todo el personal de «Hispanoil» queda asegurado permanentemente por un importe máximo de 10.000.000 de pesetas, en la forma y condiciones, establecidas en la correspondiente póliza suscrita con la Mutualidad de Seguros del INI.

Artículo 23. Servicio Médico.

El Servicio Médico de Empresa constará de la atención médico-sanitaria de un Médico y un A. T. S. El A. T. S. permanecerá en el botiquín que será instalado al efecto en el edificio de «Hispanoil» Central, en régimen de media jomada durante la mañana.

Todos los empleados de «Hispanoil» y los familiares que a continuación se indican tendrán derecho a estar afiliados al Servicio de Asistencia Sanitaria del INI (SAS) o a «Sanitas» la opción del empleado).

Los límites y alcance de este servicio médico serán los establecidos por los respectivos reglamentos de SAS o «Sanitas», según la opción que el empleado haya tomado. Como excepción a este principio, la Empresa abonará a los empleados afiliados a «Sanitas» el 20 por 100 del coste de los medicamentos recetados por Médicos de dicha Sociedad. Si dicho porcentaje fuera variado por el SAS, se aplicará el nuevo automáticamente para los afiliados a «Sanitas».

Los familiares que tienen derecho a este servicio son aquellos en quienes concurran los tres requisitos siguientes:

a) Grado de parentesco:

– Cónyuge.

– Hijos menores de veinticinco años.

– Ascendientes consanguíneos o afines, mayores de sesenta j cinco años.

– La viuda, madre del titular o de su cónyuge, sin límite de edad.

– Hermanos menores de dieciocho años, del titular o del cónyuge, huérfanos de padre y madre.

Los familiares indicados podrán ser beneficiarios cualquiera que sea su edad, siempre que se encuentren incapacitados de una manera total y permanente para el trabajo.

b) Convivencia en el domiclio del titular.

c) Dependencia económica del titular, excepto en el caso del cónyuge. En el caso de que el titular y su cónyuge trabajen, se entenderá a estos efectos que los hijos dependen económicamente del titular:

Corresponderá al empleado la prueba de que los familiares indicados reúnen las condiciones necesarias.

El importe de las cuotas de afiliación al SAS o «Sanitas» corre por entero a cargo de «Hispanoil», con excepción de las cuotas de agregados del SAS, que serán a cargo del empleado Excepcionalmente, las empleadas que en la fecha de entrada en vigor del presente Convenio se encuentren afiliadas al SAS y, que por trabajar el cónyuge, éste y sus hijos no sean admitidos como beneficiarios, sino como agregados, en dicho servicio, podrán continuar, en el mismo, siendo a cargo de la Empresa además de la cuota del titular las de agregados de dos hijos como máximo, siendo a cargo de la empleada la del cónyuge y la del resto dedos hijos.

En los demás casos, el empleado deberá optar entre seguir en el SAS con todas las cuotas de agregados a su cargo o darse de alta en «Sanitas».

Los empleados jubilados continuarán afiliados al Servicio de Asistencia Sanitaria del SAS o «Sanitas,» siendo a cargo de la Empresa la cuota de afiliación que señale dicho servicio.

Artículo 24. Préstamos.

a) Préstamos de vivienda:. Se mantiene en todos sus puntos lo establecido en el anterior Convenio para este tipo de préstamos, con un fondo, por tanto, de 14.000.000 de pesetas, en la forma y condiciones actualmente vigentes. El fondo se dotará permanentemente con la recuperación de las amortizaciones.

b) Asimismo se establece un fondo especial por un importe de 3.000.000 de pesetas, que se regulará en base a los siguientes principios:

– Dotación fondo: No recuperable.

– Tipo de interés: Tres puntos por debajo del interés oficial del Banco de España.

– Plazo de amortización de los préstamos: Diez años.

c) Préstamos sobre sueldo: Se mantienen las condiciones señaladas en el Convenio anterior para este tipo de préstamos:

– Fondo: 5.000.000 de pesetas.

d) «Hispanoil» concertará con Entidades bancarias la creación de un fondo para préstamos de 50.000.000 de pesetas, al coste que en cada momento suponga el dinero, a «Hispanoil», en función de su actividad y del contexto de sus relaciones con la Banca que se deriven de la misma.

Condiciones:

– Dotación fondo: Mediante recuperación de las amortizaciones.

– Intereses y gastos: A cargo del empleado.

– Plazo de amortización: Cinco años.

Artículo 25. Economato.

Los empleados y jubilados de «Hispanoil» son beneficiarios del Economato Laboral Colectivo del INI, siendo a cargo de la Empresa el coste de este servicio.

Artículo 20. Becas de estudio.

a) Para empleados: La Empresa concederá becas a sus empleados por un importe equivalente al 80 por 100 de los gastos de estudio de los mismos, siempre que dichos estudios sean aprobados por la Dirección de la Empresa y sujeta su concesión a la obtención de buenos resultados académicos.

b) Para hijos de empleados o familiares que dependan económicamente del mismo.

Aportación: 3.000.000 de pesetas por año natural. De este importe Se reservará específicamente una cantidad para ayuda de estudios de hijos o familiares subnormales.

El régimen de concesión y manejo de la aportación se regulará posteriormente por el Comité de Empresa.

Artículo 27. Grupo de Empresa.

La Empresa facilitará, en la medida de lo posible, Cualquier necesidad que se derive de su§ funciones, tales como lugar donde poder celebrar sus reuniones, archivos para su documentación, etc.

La subvención para el funcionamiento del Grupo de Empresa se mantiene en 3.000 pesetas por empleado y año, incrementándose anualmente en el índice del coste de vida.

Artículo 28. Aparcamiento.

Todos los empleados podrán utilizar el aparcamiento instalado en la Oficina Central de Madrid, contribuyendo con la cantidad de 300 pesetas por mes a los gastos de mantenimiento de dicho servicio.

CAPÍTULO VI
Contratación, formación y promoción del personal
Artículo 29. Contratación.

El personal fijo y eventual de la Empresa tendrá prioridad para cubrir las vacantes que se produzcan, siempre que algún empleado reúna los requisitos necesarios para desempeñar el puesto de que se trate, o cuando la urgencia del casó lo permita, facilitándole la formación complementaria necesaria.

Cuando exista una vacante, se anunciará en los tablones de la Empresa indicando las características que han de concurrir en los candidatos. Cualquier empleado al que le interese el puesto a cubrir y crea reunir las condiciones necesarias presentará su candidatura al Departamento de Personal. La selección y decisión final sobre la contratación es de exclusiva responsabilidad de la Dirección, la cuál, antes de hacer pública y oficial su decisión, lo comunicará al Comité de Empresa, quien podrá exponer a la Dirección las consideraciones que estime pertinentes sobre la misma,

En el caso de que el personal contratado para un trabajo determinado continuara en la Empresa, al finalizar éste adquirá automáticamente la condición de fijo.

Artículo 30. Formación.

La Empresa se preocupará de la formación y reciclaje de sus empleados, organizando cursos y ciclos de conferencias dentro de la Empresa que abarquen todos los niveles y categorías, y enviando a su personal a cursos organizados por otras Entidades, tanto en España como en el extranjero.

Por el ámbito internacional en el que se realiza la gestión de «Hispanoil», se dará gran importancia a la enseñanza y perfeccionamiento de idiomas, en cursos intensivos de duración limitada, con métodos modernos que serán extensivos a todo el personal.

La Empresa comunicará al Comité el importe destinado anualmente a la formación de los empleados.

Artículo 31. Promoción.

Los méritos y progresos que realiza el empleado a xlo largo de su vida profesional son reconocidos por la Empresa mediante la promoción de sus empleados.

La mecánica de la promoción se rige en base a los siguientes puntos:

– Valoración anual del trabajo desempeñado por cada empleado, efectuada por parte del Director correspondiente y Jefe inmediato, con intervención del interesado.

– Un empleado no podrá estar más de cinco años sin ser promocionado.

– En caso de que un empleado fuese amonestado por falta grave, la Empresa puede no promocionar a dicho empleado.

– Comunicación personal por escrito al interesado con indicación de su nuevo nivel salarial.

CAPÍTULO VII
La información en la Empresa
Artículo 32.

La información al personal sobre la marcha y desarrollo de las actividades técnicas de carácter general de la Empresa, así como, de aquellos otros temas de interés general, se considera fundamental para la identificación y plena integración entre Empresa y empleados.

Para facilitar dicha información y lograr una mayor comunicación entre los distintos estamentos de la Empresa, además de las publicaciones de carácter diario o semanal, se publicará trimestralmente un boletín de información general sobre temas de interés petrolífero, sobre las actividades de la Empresa y sobre temas de interés laboral y profesional.

CAPÍTULO VIII
Derechos sindicales y de reunión
Artículo 33. Garantías sindicales.

El ejercicio de los derechos sindicales de los empleados, así como las garantías de los representantes de los mismos en el Comité de Empresa, se ajustará plenamente en cada momento a lo que marquen las disposiciones legales en vigor.

Artículo 34. Secciones sindicales

La actuación de las secciones sindicales constituidas por los afiliados a un Sindicato legalmente establecido se reconocerá y facilitará en la forma y condiciones que determinen las disposiciones legales vigentes en cada momento

Artículo 35. Asamblea de empleados.

El derecho de reunión de los empleados en locales de la Empresa se ajustará en su ejercicio a lo que determinen las normas vigentes en cada momento.

CAPÍTULO IX
Comisión Paritaria
Artículo 38. Finalidad.

Se acuerda la creación de una Comisión Paritaria cuya finalidad será la elaboración y desarrollo de los siguientes temas:

– Normas de procedimiento de Central.

– Normas de viajes y misiones.

– Tabla salarial.

– Procedimiento de faltas y sanciones.

– Aprobación de la implantación técnica del horario flexible.

– Y cualquier otro tema que ambas partes acuerden.

Artículo 37. Composición.

La Comisión Paritaria estará compuesta por:

– Dos representantes de la Dirección.

– Dos representantes del Comité de Empresa.

Además se podrán nombrar los Asesores que se consideren oportunos para cada uno de los temas objeto de estudio por la Comisión Paritaria.

Artículo 38. Principios de actuación.

La Comisión Paritaria tendrá como criterio de actuación la actualización y perfeccionamiento, desde un punto de visto técnico, de las normas vigentes sobre los temas indicados en el articulo 36, con la finalidad de analizar aquellos puntos que se estimen susceptibles de ser perfeccionados, racionalizando y homogeneizando las versas situaciones, no aplicando en su actuación criterios reivindicativos.

DISPOSICIONES FINALES

Artículo 39. Unicidad del Convenio.

El presente Convenio Colectivo constituye un todo unitario; en el caso de que alguna de sus cláusulas no fuese aprobada o dejada en suspenso en el trámite de su homologación, las partes negociadoras deberán reconsiderar si, cabe su modificación, manteniendo la vigencia del resto del articulado del Convenio, o si, por el contrario, deberá revisarse la totalidad del Convenio.

Artículo 40. Comisión Mixta.

Para la resolución de cuantas dudas y divergencias puedan surgir entre las partes negociadoras del presente Convenio, así como para su interpretación, cumplimiento y consecuencias, se crea una Comisión Mixta que estará compuesta por cuatro Vocales titulares y cuatro suplentes, sociales y económicos, designados respectivamente por el Comité y por la Dirección de la Empresa.

ANEXO I
Tabla de salarios mínimos
Categoría laboral

Salario mínimo bruto

Pesetas

Botones (15-16 años). 255.000
Botones (16-18 años). 285.000
Auxiliares administrativos, Ayudantes técnicos, Ordenanzas y Limpiadoras. 360.000
Telefonistas. 429.000
Calcadores. 480.000
Administrativos 2.ª y Especialistas. 554.000
Delineantes 2.ª 569.000
Titulados de grado medio. 588.000
Delineantes 1.ª y Oficiales 1.ª 621.000
Ingenieros y Licenciados. 750.000
Delineantes proyectistas y Jefes administrativos 2.ª 789.000
Jefes administrativos de 1.ª 875.000
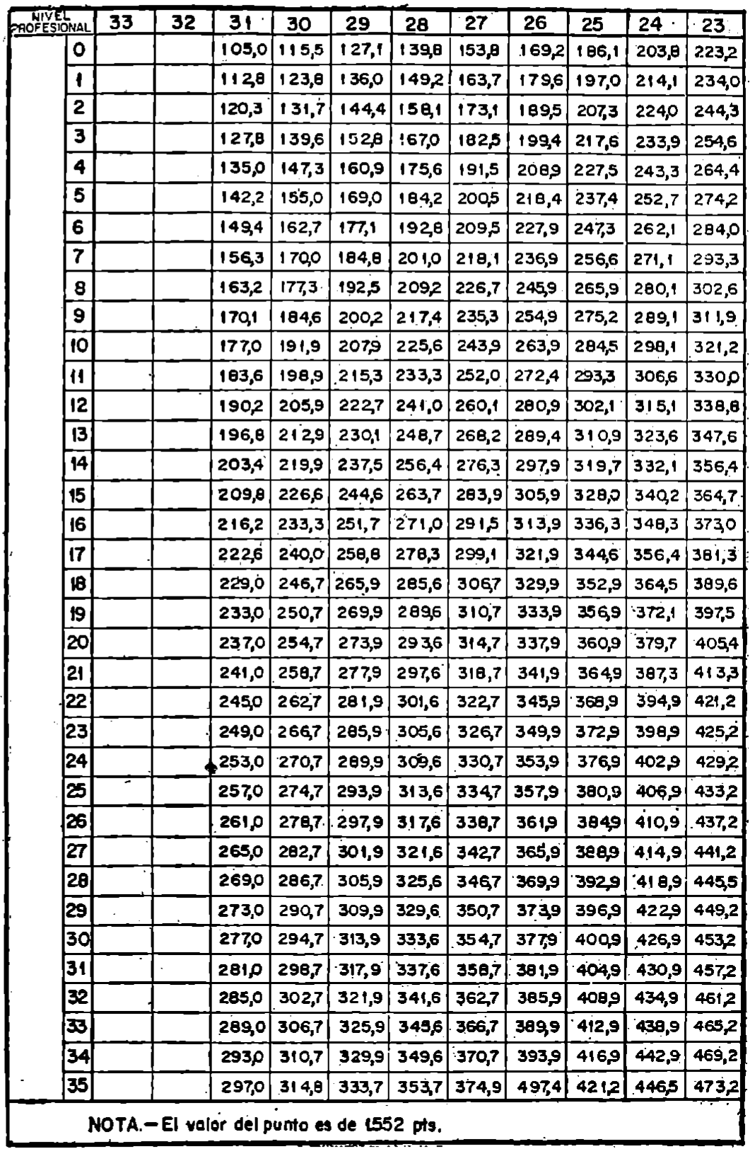
ANEXO II
Tabla salarial

I. INTRODUCCIÓN

Se parte de la base de que el sistema actual de salarios no sigue ningún sistema proporcional conocido.

El sistema que se explica a continuación corresponde a unos principios que se determinan en el apartado II.

De estas dos premisas se desprende la imposibilidad de qué el sistema salarial de la Empresa, en este momento, pueda ajustarse de una forma exacta al sistema aquí propuesto. Ante esta evidencia y teniendo en cuenta que la aplicación de la presente tabla salarial no representa reivindicaciones salariales, «su objeto a corto plazo es el de conseguir el encaje de la mayor parte posible del personal, utilizando unos criterios de relativa flexibilidad que más tarde se determinarán; «su objeto a largo plazo» se subdivide en dos grupos, uno, en los casos que ya han encajado la tabla, representa una seguridad que viene determinada por el conocimiento de cuál será la situación mínima del empleado en el futuro de la Empresa, así como su conocimiento de las posibilidades de promoción por méritos; el otro grupo lo forman los casos que no han encajado exacta-: mente en la tabla; en estos casos, la tabla de una parte fija por similitud su posición, de la misma forma que lo hace para los que ya están encajados, y por otra parte ha de servir como pauta a la Dirección de la. Empresa para que, de una forma adecuada, trate de conseguir el exacto ajuste de estos casos, de forma que, en el más breve período de tiempo posible.

cada empleado se encuentre encajado exactamente en el nivel profesional que corresponde a la antigüedad que le ha sido reconocida.

II. FUNCIONAMIENTO GENERAL DE LA TABLA

Los números de la tabla representan una cantidad invariable con el transcurso de los años, que multiplicada por un valor variable (en función del coste de la vida) fija el salario de cada empleado más su antigüedad legal.

Este número dentro de la tabla está definido por dos coordenadas.

Una: El «nivel profesional», que representa, de forma subjetiva para la Empresa, la valoración que ésta ha dado al empleado dentro de su categoría profesional.

Dos: La «antigüedad dentro de la categoría profesional» de celda empleado y que la Empresa fija en el caso de cambio de categoría y en el caso de personas que ingresen en la Empresa con antigüedad conseguida en otra Empresa. Por tanto no puede equipararse a la antigüedad real nada más que en el caso del empleado que inició su vida profesional en la Empresa y durante ella no ha cambiado de categoría profesional.

Una vez determinado el nivel profesional y la antigüedad del empleado, éste se desplazará anualmente en dos posibles direcciones:

Una: Verticalmente, por su nivel profesional, anualmente y de forma automática.

Dos: Horizontalmente, de la forma y con la-intensidad que la Empresa considere en, base a la obtención de méritos por el empleado. En todo caso no deberán pasar más de cinco años consecutivos sin que el empleado sea desplazado a un nivel profesional superior.

III. VALORACIÓN

El valor por el que se ha de multiplicar el punto variará anualmente en función del incremento del coste de vida.

El 31 de diciembre de 1970 el valor del punto será el de pesetas 1.552, que será aumentado el 1 de enero de 1978 en lo que el coste de vida aumente durante el año 1977 y que se convertirá en tres valores distintos del punto en función de los niveles salariales establecidos; igual sistema se utilizará en los periodos anuales sucesivos.

IV. ENTRADA EN LA TABLA

A) Para el personal actualmente en plantilla.

Como primer paso se determinará cuál es el número de puntos que le corresponden al empleado al 31 de diciembre de 1977.

Este cálculo se haría sumando su salario líquido, más, en su caso, la antigüedad liquida y dividiendo la cantidad resultante entre el valor del punto en 1977.

Una vez determinado el número de puntos correspondientes a cada empleado, será necesario situar dicha cantidad dentro de las diversas posibilidades existentes en la tabla. Para ello se seguirán los siguientes principios: Según el empleado tenga exclusivamente experiencia profesional en «Hispanoil» o si además ha tenido experiencia en otros Centros de trabajo.

a) Experiencia exclusiva en «Hispanoil»:

1. Se trazará una línea vertical a partir del nivel de entrada correspondiente del empleado, aumentado por los conceptos que imponen cambio automático de nivel.

2, Se trazará una línea horizonal correspondiente a la antigüedad del empleado en «Hispanoil». a 31 de diciembre de 1977; considerándose años completos, y, en caso de fracciones, éstos se considerarían como un año completo.

Una vez trazadas estas líneas, el empleado se situará en la casilla que corresponda exacta o más aproximadamente a su número de puntos, partiendo de la intersección entre las dos líneas trazadas y desplazándose hacia la derecha.

b) Experiencia en otros Centros de trabajo:

1. Se trazará una línea vertical a partir del nivel de entrada Correspondiente del empleado, aumentado por los conceptos que imponen cambio automático de nivel.

2. Se trazará una línea horizontal correspondiente a la antigüedad del empleado en «Hispanoil» a 31 de diciembre de 1977; considerándose años completos, y, en caso de fracciones, éstos se considerarían como año completo.

3. Se trazará una línea horizontal correspondiente a la antigüedad total del empleado, considerándose igualmente años completos.

Una vez trazadas estas líneas, el empleado se situará en la casilla que corresponda exacta o más aproximadamente a su número de puntos entre los existentes en el rectángulo que las mencionadas líneas han formado.

Dentro de las posibilidades existentes el empleado será situado en la que corresponda más aproximadamente a su realidad.

B) Para el personal que ingrese en el futuro.

Se clasifica en dos grupos, según tengan o no experiencia profesional.

a) Sin experiencia: Entrará en la línea 0 en el nivel profesional que le corresponda.

b) Con experiencia: Entrará en la línea de antigüedad que le reconozca la Empresa y en el nivel profesional que le corresponda.

V. CAMBIOS AUTOMÁTICOS DE NIVEL

El empleado será desplazado hacia un nivel profesional superior en los siguientes casos:

1.º Por conocimiento a nivel de perfeccionamiento del idioma inglés.

2.º Por conocimiento a nivel de perfeccionamiento del idioma francés.

3.º Por conocimiento a nivel de perfeccionamiento de dos idiomas que no sean francés o inglés.

4.º  Por haber realizado el Doctorado en curso no inferior a un año después de terminada la carrera.

5.º Por haber realizado cursos de perfeccionamiento relacionados directamente con su profesión de un mínimo de seis meses.

6.º Para cada dos años en misión en el extranjero. Los períodos pueden acumularse.

VI. FUNCIONAMIENTO EN AÑOS POSTERIORES

Como anteriormente se ha dicho, desde la casilla en que se encuentre, el empleado descenderá a la línea inmediatamente inferior de forma automática a 1 de enero de 1978.

En lo que se refiere a los desplazamientos por las columnas de nivel profesional, quedará a discreción de la Empresa el desplazamiento y la intensidad del mismo. La única limitación consiste en que en todo caso el empleado sería promocionado a un nivel más alto si durante cinco años no ha sido promocionado por méritos o de forma automática.

Imagen: /datos/imagenes/disp/1979/203/20786_14207234_image1.png

Imagen: /datos/imagenes/disp/1979/203/20786_14207234_image2.png

Imagen: /datos/imagenes/disp/1979/203/20786_14207234_image3.png

ENTRADA DE CATEGORÍAS PROFESIONALES EN LA TABLA SALARIAL

Botones (14-16).
Botones (16-10).
Auxiliar administrativo, Ayudante oficina, Recepcionista, Ordenanza, Limpiadora. 31
Telefonista. 29
Calcadores. 27
Oficial 2.«, Especialistas, Delineantes 2.ª 25
Titulado medio. 24
Titulado superior. Delineante de 1.ª, Oficial de 1.ª 23
Delineante proyectista. 20
Jefe administrativo de 2.ª 19
Jefe administrativo de 1.ª 17

subir

Axencia Estatal Boletín Oficial do Estado

Avda. de Manoteras, 54 - 28050 Madrid