Está Vd. en

Documento BOE-A-1982-3367

Real Decreto 3490/1981, de 29 de diciembre, por el que se transfieren competencias en materia de agricultura y pesca a la Junta de Andalucía.

Publicado en:
«BOE» núm. 35, de 10 de febrero de 1982, páginas 3287 a 3342 (56 págs.)
Sección:
I. Disposiciones generales
Departamento:
Presidencia del Gobierno
Referencia:
BOE-A-1982-3367
Permalink ELI:
https://www.boe.es/eli/es/rd/1981/12/29/3490

TEXTO ORIGINAL

El Real Decreto-ley once/mil novecientos setenta y ocho, de veintisiete de abril, por el que se estableció el régimen preautonómico para Andalucía, prevé la transferencia de funciones y servicios de la Administración del Estado a la Junta de Andalucía. En este sentido, la Junta de Andalucía recibió competencias en materia de agricultura por los Reales Decretos seiscientos noventa y ocho/mil novecientos setenta y nueve, de trece de febrero, y dos mil novecientos diecisiete/mil novecientos setenta y nueve, de siete de diciembre, y en concreto, entre otras, sobre extensión y capacitación agraria y sanidad vegetal.

Por otra parte, los Reales Decretos dos mil novecientos sesenta y ocho/mil novecientos ochenta, de doce de diciembre, y dos mil trescientos cincuenta y uno/mil novecientos ochenta y uno, de dieciocho de septiembre, modificaron la composición y funcionamiento de las Comisiones Mixtas de Transferencias de funciones, actividades y servicios del Estado a los Entes Preautonómicos, sustituyéndolas por Comisiones Mixtas especializadas por materias. Ello permitirá una mayor coherencia, celeridad y eficacia en la elaboración de las propuestas de traspasos con el fin de igualar las competencias asumibles en la fase preautonómica. Por su parte, el Real Decreto dos mil novecientos setenta/mil novecientos ochenta, de doce de diciembre, determina el contenido de dichas propuestas en cuanto se refiere a los medios puestos a disposición de los Entes Preautonómicos para el eficaz ejercicio de las competencias transferidas.

De conformidad con lo dispuesto en el Real Decreto dos mil novecientos sesenta y ocho/mil novecientos ochenta, de doce de diciembre, la Comisión Mixta de Transferencias de Agricultura y Pesca, creada por Orden de veinticinco de marzo de mil novecientos ochenta y uno, teniendo en cuenta la conveniencia de generalizar los traspasos a todos los Entes Preautonómicos y de homogeneizar y precisar las transferencias, completando las ya realizadas y ampliándolas a nuevas materias, ha adoptado el oportuno Acuerdo de traspasos en su reunión del día catorce de diciembre de mil novecientos ochenta y uno.

En su virtud, haciendo uso de la autorización contenida en los artículos octavo, c), y doce del Real Decreto-ley once/ mil novecientos setenta y ocho, de veintisiete de abril, previa aceptación de la Junta de Andalucía, a propuesta de los Ministros de Agricultura, Pesca y Alimentación y de Administración Territorial y previa deliberación del Consejo de Ministros en su reunión del día veintinueve de diciembre de mil novecientos ochenta y uno,

DISPONGO:

Artículo 1.

Se aprueban los Acuerdos de la Comisión Mixta de Transferencias de Agricultura y Pesca, por los que se determinan la distribución de funciones y competencias y se concretan los Servicios e Instituciones y medios personales, presupuestarios y patrimoniales que deben ser objeto de traspasos a la Junta de Andalucía en materia de capacitación y extensión agraria, reforma y desarrollo agrario, producción vegetal, producción animal, sanidad animal, oferta agraria, desarrollo ganadero industrias agrarias y pesca en aguas interiores, marisqueo y acuicultura, adoptados por el Pleno de dicha Comisión en su sesión del día catorce de diciembre de mil novecientos ochenta y uno y que se transcriben como anexo I del presente Real Decreto.

Artículo 2.

Uno. En consecuencia, quedan traspasados al Ente Preautonómico de Andalucía las competencias y funciones, así como los Servicios e Instituciones que se relacionan en los referidos Acuerdos de la Comisión Mixta, en los términos y en las condiciones allí especificidados, y los bienes, personal y créditos presupuestarios que resultan del texto de los Acuerdos y de las relaciones adjuntas correspondientes.

Dos. En el anexo II de este Real Decreto se recogen las disposiciones legales afectadas por las presentes transferencias.

Artículo 3.

Estos traspasos serán efectivos a partir de la fecha señalada en los citados Acuerdos de la Comisión Mixta de Transferencias.

Disposición final primera.

Uno. Cuando para el ejercicio de alguna de las competencias transferidas al Ente Preautonómico de Andalucía por el presente Real Decreto sea preceptivo el dictamen del Consejo de Estado, la petición del mismo será acordada por el Ente Preautonómico, solicitándola a través del Ministerio específicamente competente en la materia de que se trate, quien requerirá al Consejo de Estado para su emisión.

Igual procedimiento se seguirá cuando el Ente Preautonómico acuerde oír voluntariamente al Consejo de Estado en algún expediente.

Dos. Salvo en los casos previstos en el presente Real Decreto, los demás informes que la legislación vigente exija de otros órganos, distintos del Consejo de Estado, se mantendrán con el propio carácter que tengan establecido, y su emisión corresponderá a los órganos equivalentes que existan o se creen dentro del Ente Preautonómico.

Disposición final segunda.

Uno. Sin perjuicio de la aplicación de la legislación reguladora de la materia objeto de transferencia por el presente Real Decreto, el régimen jurídico de los actos del Ente Preautonómico se acomodará a lo dispuesto en la Ley treinta y dos/mil novecientos ochenta y uno, de diez de julio; en la Ley de Régimen Jurídico de la Administración del Estado y en la de Procedimiento Administrativo.

Dos. Contra las resoluciones y actos del Ente Preautonómico cabrá el recurso de reposición, previo al contencioso-administrativo, salvo que por otra disposición legal se exigiera la interposición de recurso de alzada, que se sustanciará ante la propia Junta. El régimen jurídico de estos recursos será el establecido en las Leyes de Procedimiento Administrativo y de la Jurisdicción Contencioso-Administrativa.

Disposición final tercera.

La entrada de la documentación y expedientes de los servicios traspasados, así como la resolución de los expedientes en tramitación y la de los recursos administrativos contra actos de la Administración del Estado, se realizará de conformidad con lo previsto en el artículo segundo del Real Decreto dos mil novecientos setenta/mil novecientos ochenta, de doce de diciembre.

Disposición final cuarta.

El ejercicio de las competencias transferidas a la Junta de Andalucía en el presente Real Decreto podrá ser delegado, en su caso, por ésta a las Diputaciones Provinciales comprendidas en su ámbito territorial, las cuales deberán cumplir, en el ejercicio de dichas competencias, las directrices y previsiones contenidas en las normas de delegación.

Los acuerdos de delegación, que deberán ser publicados en el «Boletín Oficial del Estado» y en el del Ente Preautonómico, tendrán efectividad a partir del día siguiente de su publicación en aquél.

Disposición final quinta.

El Ente Preautonómico organizará los servicios precisos y distribuirá entre los órganos correspondientes las competencias que se le transfieren por el presente Real Decreto, publicándose los correspondientes Acuerdos en el «Boletín Oficial del Estado» y en el del Ente Preautonómico.

Disposición final sexta.

Por Orden de la Presidencia del Gobierno, a propuesta de los Ministerios de Agricultura, Pesca y Alimentación y de Administración Territorial, oído el Ente Preautonómico, en su caso, se dictarán las disposiciones precisas para el desarrollo y ejecución del presente Real Decreto.

Disposición final séptima.

El presente Real Decreto entrará en vigor el mismo día de su publicación en el «Boletín Oficial del Estado».

Disposición derogatoria.

Quedan derogados los artículos cuarto, quinto y sexto del Real Decreto seiscientos noventa y ocho/mil novecientos setenta y nueve, de trece de febrero, y primero del Real Decreto dos mil novecientos diecisiete/mil novecientos setenta y nueve, de siete de diciembre.

Dado en Baqueira Beret a veintinueve de diciembre de mil novecientos ochenta y uno.

JUAN CARLOS R.

El Ministro de la Presidencia

MATIAS RODRIGUEZ INCIARTE

ANEXO I

Don José Elías Díaz García, Secretario de la Comisión Mixta de Transferencias de Agricultura y Pesca,

CERTIFICA:

Que en el Pleno de la Comisión, celebrado el día 14 de diciembre de 1981, se acordó la transferencia a los Entes Preautonómicos de competencias y funciones de los servicios de extensión y capacitación agrarias, en los términos que se reproducen a continuación:

A) Normas legales de referencia.

La Constitución, en el artículo 148, establece que las Comunidades Autónomas podrán asumir competencias en materia de agricultura y ganadería de acuerdo con la ordenación general de la economía y, en su artículo 149, que el Estado tiene competencia exclusiva sobre la regulación de las condiciones de obtención, expedición y homologación de títulos académicos y profesionales y normas básicas para el desarrollo del artículo 27 de la Constitución, a fin de garantizar el cumplimiento de las obligaciones de los poderes públicos en esta materia, en particular en lo referente a la programación general de la enseñanza y a la inspección y homologación del sistema educativo.

El Decreto 837/1972, de 23 de marzo, y disposiciones complementarias, atribuyen al Servicio de Extensión Agraria competencias con el fin de promover y guiar la acción de los agricultores y sus familias para que utilicen sus recursos de la mejor manera posible, actuando permanentemente dentro de las comunidades rurales para desarrollar en ellas cambios favorables de actitud, mejorar su entorno social y difundir los conocimientos y técnicas que puedan contribuir al mejor cumplimiento de esta misión.

Asimismo, el Decreto 2684/1971, de 5 de noviembre, atribuye a la Subdirección General de Capacitación Agraria funciones en materia de enseñanza profesional y capacitación de agricultores mediante la recogida de datos y material con destino a la enseñanza; la preparación, utilización y ejecución de los planes y programas de capacitación, así como la elaboración de las propuestas de creación, transformación y supresión de Centros de Capacitación Profesional Agraria, de acuerdo con las competencias que en esta materia tenga atribuidas el Ministerio de Agricultura, Pesca y Alimentación.

B) Distribución de funciones y competencias.

1. De las competencias actualmente atribuidas a la Dirección General de Investigación y Capacitación Agrarias se transfieren a los Entes Preautonómicos, para su ejecución por cada uno de ellos, en sus respectivos ámbitos territoriales y en los términos del presente Real Decreto, las siguientes funciones y competencias:

En materia de extensión agraria:

a) La dirección y gestión de las unidades periféricas que se transfieren.

b) La aprobación y dirección de los programas de trabajo regionales para orientar la labor de las Agencias Comarcales, encaminadas a capacitar a los agricultores promoviendo y guiando sus acciones para mejorar las explotaciones agrarias y el entorno familiar y comunitario.

c) El desarrollo, ejecución y seguimiento, en lo que afecta a su territorio, de los programas de extensión de interés general actualmente establecidos y los que elaborados con la participación de los Entes Preautonómicos sean aprobados por el Ministerio de Agricultura, Pesca y Alimentación.

d) La ejecución de las actividades de divulgación agraria que consideren necesarias para la mejora tecnológica de la agricultura en su ámbito territorial y, en todo caso, las de difusión e información a los agricultores de aquellas medidas derivadas de la ordenación y regulación de la producción agraria nacional.

e) La preparación, elaboración y edición de publicaciones y medios audiovisuales de divulgación agraria de interés regional.

f) La coordinación con la formación profesional, y las relaciones con unidades de investigación.

g) El desarrollo de cursos de perfeccionamiento para el personal adscrito a los Entes Preautonómicos, sin perjuicio de las colaboraciones que puedan establecerse de acuerdo con el apartado B, 3, c de este Acuerdo.

En materia de enseñanza profesional y capacitación de agricultores:

a) La dirección y gestión de los Centros de Formación Profesional y Capacitación Agraria que se transfieren.

b) La preparación, actualización y ejecución de los planes y programas de capacitación, respetando tanto la ordenación general del sistema educativo como las enseñanzas mínimas, cuya fijación a efectos de cumplir las condiciones de obtención, expedición y homologación de títulos académicos y profesionales corresponde al Estado.

c) El Ente Preautonómico podrá desarrollar los cursos de capacitación de agricultores de carácter específico, así como los de perfeccionamiento que estime oportunos para el mejor desarrollo de sus programas.

2. Corresponden al Ministerio de Agricultura, Pesca y Alimentación las competencias y tenciones siguientes:

a) La ordenación y planificación general de las enseñanzas de capacitación agraria por medio del establecimiento de las normas básicas sobre estas materias.

b) El establecimiento de las condiciones de obtención, expedición y homologación de los títulos profesionales de carácter agrario.

c) El ejercicio de la alta inspección, en los términos que legalmente se determine

d) La dirección y gestión de los Centros de Formación Profesional y Capacitación Agrarias que, por su especialidad o naturaleza, tengan ámbito nacional.

e) La aprobación, coordinación y evaluación de los programas a que se refiere el apartado c) del punto 1, así como la tramitación de los fondos destinados a ayudas económicas y, en su caso, la asignación de recursos presupuestarios relativos a dichos programas.

f) La difusión de las medidas coyunturales derivadas de la planificación general de la actividad agraria, sin perjuicio de la que desarrollen los Entes territoriales.

g) Las relaciones internacionales en materia de formación profesional de extensión agraria. Los Entes territoriales podrán asistir y participar, dentro de la delegación española, en aquellas reuniones técnicas de carácter internacional cuando sean requeridos para ello.

h) Formalización de conciertos con Entidades públicas o privadas para impartir enseñanzas de capacitación agraria que conlleven subvenciones destinadas a inversiones o gastos de funcionamiento.

3. Entre el Ministerio de Agricultura, Pesca y Alimentación y los Entes Preautonómicos se desarrollarán coordinadamente, con arreglo a los mecanismos que se señalan, las siguientes funciones y competencias:

a) Para la evaluación por el Ministerio de Agricultura, Pesca y Alimentación de los programas de extensión de interés general los Entes Preautonómicos proporcionarán la información necesaria.

b) La coordinación de los planes de publicaciones y material de divulgación se hará a través de la Junta Coordinadora creada por Real Decreto 1843/1980, de 24 de julio, sin perjuicio de que su realización corresponda a los Entes Preautonómicos o al Ministerio de Agricultura, Pesca y Alimentación.

c) La coordinación de las actividades de formación y perfeccionamiento del personal adscrito a las funciones de extensión y capacitación se realizará a través del órgano señalado en el apartado anterior, sin perjuicio de que la, realización corresponda a los Entes territoriales o al Ministerio de Agricultura, Pesca y Alimentación.

d) La creación transformación o supresión de Centros de capacitación de, agricultores será realizada por el Ministerio de Agricultura, Pesca y Alimentación mediante la planificación de las inversiones, teniendo en cuenta las propuestas de los diferentes Entes territoriales.

e) La distribución y la asignación territorial de las ayudas económicas para facilitar el acceso de los agricultores a la enseñanza profesional, así como el establecimiento de los criterios generales de las convocatorias serán realizadas por el Ministerio de Agricultura, Pesca y Alimentación, teniendo en cuenta las propuestas formuladas por los Entes territoriales.

f) La regulación e instrumentación de los programas de formación y crédito supervisado para facilitar el acceso de los jóvenes a las explotaciones agrarias, reguladas por Orden del Ministerio de Hacienda de 13 de julio de 1968 y los Reales Decretos 1207/1977, de 2 de junio, y 3074/1978, de 1 de diciembre, se hará mediante convenio entre el Ministerio de Agricultura, Pesca y Alimentación y cada Ente Preautonómico en el plazo máximo de tres meses, a partir de la entrada en vigor de los presentes Acuerdos y en el que se precisarán las obligaciones que, de conformidad con el presente Acuerdo, corresponden a cada parte en la promoción, tramitación, ejecución y seguimiento de los programas.

g) El Ministerio de Agricultura, Pesca y Alimentación facilitará a los Entes Preautonómicos que lo requieran los servicios de orientación didáctica de las enseñanzas profesionales y la utilización de la información técnica disponible en el fondo documental e informático y prestará, en la medida de sus posibilidades, el apoyo preciso para el desarrollo de sus actividades en las materias transferidas.

C) Servicios e Instituciones que se traspasan:

Para la realización de las funciones transferidas, se traspasan a los Entes Preautonómicos los Centros de Formación Profesional y Capacitación Agraria, salvo aquellos a que se hace referencia en el punto B 2.d, los Centros Regionales, las Agencias Provinciales y Comarcales del Servicio de Extensión Agraria, ubicado en su ámbito territorial con los medios personales, materiales y presupuestarios que más adelante se relacionan.

Los Centros Regionales del Servicio de Extensión Agraria que en la actualidad están prestando apoyo a las Agencias ubicadas en otro Ente territorial seguirán prestándolo, en tanto dicho Ente no cree uno propio o renuncie a dicho apoyo En las regiones donde no existe Centro Regional podrá crearse de acuerdo con sus necesidades y las posibilidades presupuestarias, tanto del Estado come de Ente.

d) Bienes, derechos, y obligaciones del Estado que se traspasan:

Se traspasan los bienes, derechos y obligaciones que se recogen en la relación adjunta número 1, en los términos y con sujeción a las formalidades previstas en la Ley 32/1981, de 10 de julio, y artículo 1.º del Real Decreto 2970/1980, de 12 de diciembre.

E) Personal adscrito a los servicios e instituciones que se traspasan.

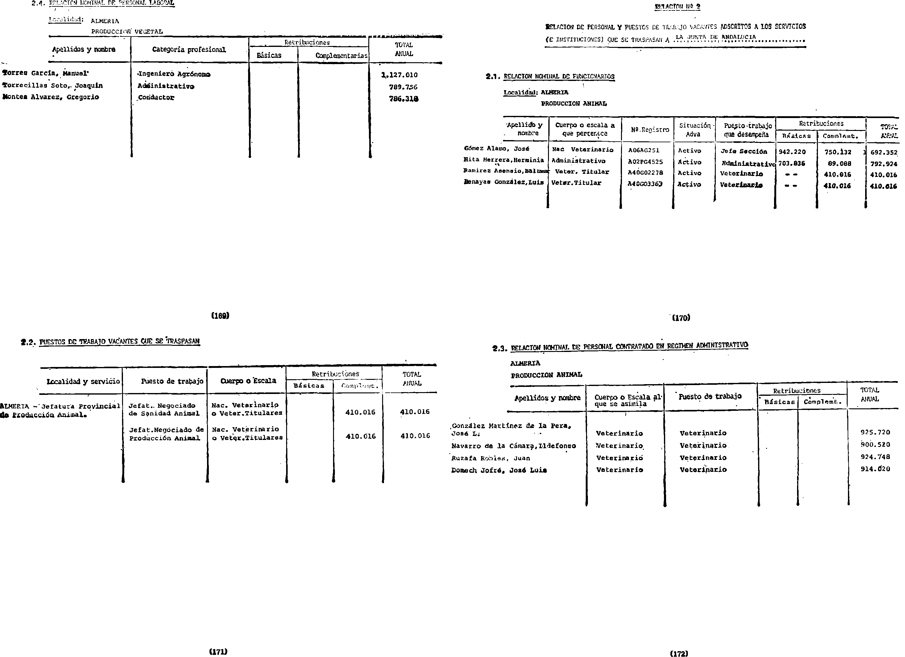
El personal adscrito a los referidos servicios que pasan a depender del Ente Preautonómico, en las condiciones señaladas en la legislación vigente, se recogen en la relación número 2, establecida para su perfecta identificación y determinación de sus derechos.

Por la Subsecretaría del Ministerio de Agricultura, Pesca y Alimentación y demás órganos competemos en materia de personal, se notificará a los interesados el traspaso. Asimismo, se remitirá a los órganos competentes del Ente Preautonómico una copia de todos los expedientes de este personal transferido.

F) Puestos de trabajo vacantes que se traspasan:

Los puestos de trabajo vacantes que se traspasan figuran en la relación número 2 adjunta.

G) Créditos presupuestarios que se traspasan:

Los créditos presupuestarios del ejercicio corriente que constituyen la dotación de los servicios traspasados se recogen en la relación adjunta número 3.

La Comisión Mixta aprobará la valoración del coste efectivo de los servicios y funciones transferidos, así como las modificaciones que, en su caso, deban operarse en los Presupuestos del Estado o de los Organismos Autónomos correspondientes, conforme a las instrucciones que a tal efecto dicte el Ministerio de Hacienda.

Por el Ministerio de Hacienda se adoptarán las medidas precisas para la efectiva transferencia al Ente Preautonómico de las dotaciones indicadas, de conformidad con lo previsto en la Ley General Presupuestaria, Ley de los Presupuestos Generales del Estado y demás disposiciones complementarias.

H) Efectividad de las transferencias:

Las transferencias de competencias y funciones y el traspaso de los medios, objeto de este acuerdo, tendrán efectividad a partir del día 1 de enero de 1982.

Y para que conste, expido la presente certificación en Madrid a 14 de diciembre de 1981‒El Secretario de la Comisión Mixta de Agricultura y Pesca, José Elías Díaz García.

CERTIFICA:

Que en el Pleno de la Comisión, celebrado el día 14 de diciembre de 1981, se acordó efectuar transferencias, en una primera fase, a los Entes Preautonómicos en materia de reforma y desarrollo agrario.

A) La determinación de dichas transferencias se basa en que a los Entes Preautonómicos corresponde gestionar y administrar las funciones y servicios que les transfiere la Administración del Estado, pero tiene en cuenta las competencias que podrán asumir en su día las Comunidades Autónomas, con arreglo a lo establecido al efecto en la Constitución.

B) Distribución de funciones y competencias:

A los Entes Preautonómicos se transfieren, dentro del campo de las que corresponden al Instituto Nacional de Reforma y Desarrollo Agrario (IRYDA), Organismo Autónomo adscrito al Ministerio de Agricultura, Pesca y Alimentación, las competencias que a continuación se indican, que consisten fundamentalmente, en esta primera fase, en la toma de decisiones y fijación de criterios para determinar las actuaciones a realizar por el IRYDA y la programación de las inversiones correspondientes, siendo por ello, reducidos los medios personales y materiales precisos y que se traspasan. En la segunda fase, que está previsto llevar a cabo en un plazo máximo de un año, se completarán las transferencias, en particular en lo referente a funciones de ejecución, y se efectuará el traspaso de los medios personales y materiales precisos para el eficaz ejercicio de las competencias asumidas por cada Ente Territorial, ya sea en régimen de preautonomía, ya, en su caso, de Comunidad Autónoma.

1. Elección de zonas de actuación:

1.1. Proponer, señalando orden de actuación, las zonas en las que proceda realizar la concentración parcelaria o la ordenación de explotaciones.

Con arreglo a dichas propuestas, el IRYDA realizará los estudios, informes y planificación de medios necesarios para la promulgación de los correspondientes Reales Decretos u Ordenes ministeriales.

1.2. Conocer e informar las propuestas de actuación del Instituto en zonas de interés nacional que afecten al Ente Preautonómico, expropiación de tierras por causa de interés social o comarcas y fincas mejorables.

Las propuestas del IRYDA al Ministerio de Agricultura, Pesca y Alimentación deberán ser informadas previamente por el Ente territorial.

2. Asignaciones presupuestarias:

Participar con el Instituto en, las propuestas de asignaciones presupuestarias en cada ejercicio para las acciones de reforma y desarrollo agrario a llevar a efecto en su territorio y aprobar, dentro del ámbito de sus competencias, la distribución del presupuesto disponible entre las distintas provincias que lo constituyen.

3. Selección de las inversiones del IRYDA en obras y mejoras territoriales:

3.1. Proponer, señalando el orden de actuación, las obras a realizar en las zonas de ordenación de explotaciones y de concentración parcelaria.

Las propuestas del Instituto al Ministerio de Agricultura, Pesca y Alimentación sobre planes de obras en dichas zonas deberán ser previamente aprobadas por los Entes territoriales.

3.2. Establecer el orden de prioridad a tener en cuenta para las obras que puedan integrar los programas básicos de inversión anual a realizar por el Instituto de acuerdo con dichos planes, sin perjuicio de los condicionamientos que vengan exigidos por razones técnicas, presupuestarias o de adecuado desarrollo de los trabajos en cada zona. Será de especial interés la selección de inversiones cuando las obras y mejoras que puedan ser incluidas en el programa superen las posibilidades presupuestarias del ejercicio correspondiente.

3.3. Conocer e informar las propuestas de los planes de obras del IRYDA en zonas de interés nacional.

4. Auxilios económicos y técnicos a las explotaciones agrarias.

4.1. Proponer la concesión de auxilios específicos para finalidades que sean de excepcional interés en su ámbito territorial, de acuerdo con la ordenación general de la economía.

Con arreglo a dichas propuestas, el IRYDA realizará los estudios e informes necesarios para la promulgación, en su caso, de la correspondiente disposición.

4.2. Establecer el orden de prioridad con que deban atenderse las distintas finalidades auxiliables en su ámbito territorial, de acuerdo con las preferencias establecidas con carácter general y teniendo en cuenta las disponibilidades presupuestarias en cada ejercicio.

5. Actuaciones en explotaciones agrarias ejemplares y calificadas:

Dictaminar sobre las propuestas que formule el IRYDA en orden a la concesión de títulos de explotaciones agrarias ejemplares y calificadas, en su ámbito territorial. Sólo podrán elevarse al Ministro de Agricultura, Pesca y Alimentación para su resolución aquellos expedientes dictaminados favorablemente por el Ente territorial.

6. Actuaciones de carácter general:

6.1. Formular cuantas propuestas considere de interés en relación con las funciones y competencias del Instituto.

6.2. Informar sobre las propuestas que el IRYDA someta a su consideración, especialmente las relativas a la adquisición y redistribución de tierras.

6.3. El Instituto proporcionará información técnica o económica en materia de reforma y desarrollo agrario y especialmente sobre la evaluación de sus actuaciones.

7. Coordinación de actuaciones.

7.1. Para intercambiar y coordinar todas las informaciones y propuestas precisas y conocer el resultado de las actuaciones programadas, se constituirá una Comisión Coordinadora Mixta de Trabajo Paritaria Ente Territorial-IRYDA, que se reunirá cuantas veces sea necesario, con un mínimo en todo caso, de una reunión trimestral.

7.2. Sin perjuicio de lo dispuesto en el apartado anterior, los Inspectores Regionales del IRYDA tendrán una relación directa de coordinación con las Consejerías de Agricultura de los respectivos Entes territoriales.

Los Jefes provinciales del Instituto tendrán igualmente una relación directa de coordinación con las Consejerías de Agricultura y organizarán las actuaciones de las unidades a su cargo, con arreglo, por lo que se refiere a las materias de competencia de los Entes Preautonómicos, a las directrices o criterios que señalen dichas Consejerías, sin perjuicio de su dependencia jerárquica y funcional de la Presidencia del IRYDA.

7.3. En todo caso, el Ente territorial y el Instituto se prestarán mutuamente el máximo apoyo de medios personales, materiales y de asistencia técnica para facilitar tanto el ejercicio de las competencias transferidas a aquél como la actuación del Organismo.

Cuando convenga que, en esta fase de transferencia los funcionarios que se traspasan sigan realizando alguno de los trabajos encomendados a su actual equipo en el Instituto, a fin de evitar soluciones de continuidad y lograr su más eficaz terminación, se considerará que, con carácter transitorio, los funcionarios afectados realizan tales trabajos manteniendo las atribuciones que al efecto tienen en la actualidad.

7.4. El Ente territorial formará parte de la Junta Coordinadora u Organo análogo que se creará con el fin de coordinar, a nivel nacional, los programas de las distintas unidades territoriales en materia de reforma y desarrollo agrario.

C) Servicios e Instituciones que se traspasan:

Ninguno.

D) Bienes, derechos y obligaciones del Estado que se traspasan:

Ninguno.

E) Personal adscrito a los Servicios e Instituciones que se traspasan.

El personal que pasa a depender del Ente Preautonómico en las condiciones señaladas en la legislación vigente se recogen en la relación número 2, establecida para su perfecta identificación y determinación de sus derechos.

Por la Subsecretaría del Ministro de Agricultura, Pesca y Alimentación y demás órganos competentes en materia de personal se notificará a los interesados el traspaso. Asimismo, se remitirá a los órganos competentes del Ente Prautonómico una copia de todos los expedientes de este personal transferido.

F) Puestos de trabajo vacantes que se traspasan:

Ninguno.

G) Créditos presupuestarios que se traspasan:

Los créditos presupuestarios del ejercicio corriente que se traspasan se recogen en la relación adjunta número 3.

Por el Ministerio de Hacienda se adoptarán las medidas precisas para la efectiva transferencia al Ente Preautonómico de las dotaciones indicadas, de conformidad con lo previsto en la Ley General Presupuestaria, Ley de los Presupuestos Generales del Estado y demás disposiciones complementarias.

H) Efectividad de las transferencias:

Las transferencias de competencias y funciones y el traspaso de los medios, objeto de este acuerdo, tendrán efectividad a partir del día 1 de enero de 1982.

Y para que conste, expido la presente certificación en Madrid a 14 de diciembre de 1981.‒El Secretario de la Comisión Mixta de Agricultura y Pesca, José Elías Díaz García.

CERTIFICA:

Que en el Pleno de la Comisión, celebrado el día 14 de diciembre de 1981 se acordó la transferencia a los Entes Preautonómicos de los servicios de producción vegetal, en los términos que se reproducen a continuación:

A) Normas legales de referencia.

La Constitución, en el artículo 148, establece que las Comunidades Autónomas podrán asumir competencias en materia de agricultura y ganadería, de acuerdo con la ordenación general de la economía, así como en materia de montes y aprovechamientos forestales. Por otra parte, en su artículo 149, atribuye al Estado competencia exclusiva en el establecimiento de las «bases y coordinación de la planificación general de la actividad económica» (149.1.13.ª) y la «legislación básica sobre montes y, aprovechamientos forestales» (149.1.23.ª).

Los Decretos 2684/1971, de 5 de noviembre; 2180/1973, de 17 de agosto; 2918/1974, de 11 de octubre; 2390/1976, de 18 de octubre, y demás disposiciones concordantes, establecen las funciones, en materia de producción vegetal, que competen a la Dirección General de la Producción Agraria, a través de la Subdirección General de Produción Vegetal.

B) Distribución de competencias y funciones.

1. De las competencias y funciones actualmente atribuidas a la Subdirección General de la Producción Vegetal se transfieren, a los Entes Preautonómicos, para su ejercicio en su respectivo ámbito territorial, y en los términos que el presente Real Decreto establece, las siguientes:

a) El análisis y caracterización técnico-económica de los sistemas de producción agrícola y forestal, en su ámbito territorial, ajustándose a la normativa establecida por la Administración del Estado.

b) La planificación ‒oída la Administración del Estado‒, ejecución, seguimiento y evaluación de programas de carácter regional en materia de ordenación y fomento de las producciones agrícolas y forestales y de los medios de producción, en el marco de los programas y de las disposiciones legales que, en relación con la ordenación y el fomento de las mencionadas producciones y sus medios, estén establecidos o establezca la Administración del Estado.

c) La ejecución, seguimiento y evaluación, en su ámbito territorial, de los programas y actuaciones de interés general que, en relación con la ordenación y fomento de las producciones agrícolas y forestales y sus medios de producción, tenga establecida o establezca la Administración del Estado.

d) La ejecución de las actividades técnicas derivadas de la ordenación y fomento de las producciones agrícolas y forestales y, en particular, las encaminadas al desarrollo tecnológico y mejora de la productividad de las mismas de acuerdo con la normativa vigente.

e) La ejecución de las actividades técnicas derivadas de la ordenación y fomento de los medios de producción y, en particular, las encaminadas al empleo más racional de los mismos.

f) El ejercicio de las funciones, en su ámbito territorial, de los registros de cultivos y plantaciones.

g) El ejercicio de las funciones, en su ámbito territorial, de acuerdo con la normativa vigente, de los registros necesarios para la ordenación del mercado de maquinaria, fertilizantes y otros medios de producción.

h) La vigilancia del cumplimiento y, en su caso, la denuncia, ante la Administración del Estado, de las infracciones cometidas contra la legislación vigente en materia de ordenación y fomento de las producciones agrícolas y forestales y de los medios de producción.

i) La tramitación administrativa para la concesión de las ayudas derivadas de la ordenación y el fomento de las producciones agrícolas y forestales y de los medios de producción.

2. Corresponden al Ministerio de Agricultura, Pesca y Alimentación las siguientes competencias y funciones:

a) El establecimiento de las bases de planificación general de la política de ordenación y fomento de las producciones agrícolas y forestales y de los medios de producción, constituidas por el conjunto de disposiciones legales vigentes en materia de producción vegetal o por la normativa que al efecto pueda promulgarse, dentro de la planificación general de la actividad económica.

b) El análisis y caracterización técnico-económica de los sistemas de producción agrícola y forestal, a nivel nacional, a partir de los datos suministrados por los Entes territoriales y los que obtenga directamente la Administración de Estado, según las normas que ésta dicte al efecto.

c) La planificación, oídos los Entes territoriales, promulgación, coordinación, seguimiento y evaluación de programas y actuaciones de interés general, en materia de ordenación y fomento de las producciones agrícolas y forestales y de los medios de producción.

d) La asignación de las inversiones y de las transferencias de capital que los Presupuestos Generales del Estado establezcan para la realización de los programas y actuaciones mencionados en el punto B.2.c).

e) El establecimiento de los registros de cultivos y plantaciones.

f) La homologación y registro de los medios de producción.

g) Las relaciones internacionales en materia de producción vegetal. Los Entes territoriales podrán asistir y participar, dentro de la delegación española, en aquellas reuniones técnicas de carácter internacional cuando sean requeridos para ello.

3. Entre el Ministerio de Agricultura, Pesca y Alimentación y los Entes Territoriales se desarrollarán, a través del órgano colegiado que sea reglamentariamente establecido por el Ministerio de Agricultura, Pesca y Alimentación y con participación de todos ellos, las siguientes funciones y competencias:

a) El establecimiento de la normativa precisa para:

‒ La realización del análisis y caracterización técnico-económico de los sistemas de producción agrícolas y forestales, así como para la gestión de los registros mencionados en los epígrafes anteriores.

‒ El desarrollo de los programas y actuaciones de interés general en materia de ordenación y fomento de las producciones agrícolas y forestales y de los medios de producción.

‒ La aplicación, en el ámbito de cada Ente territorial, de las inversiones y de las transferencias de capital establecidas para los mencionados programas y actuaciones.

b) El suministro de información sobre los objetivos perseguidos y alcanzados con el desarrollo de los programas y actuaciones que promuevan ambas Administraciones.

c) La coordinación de las actuaciones de las Administraciones Públicas, en materia de ordenación y fomento de las producciones agrícolas y forestales y de los medios de producción.

C) Servicios e instituciones que se traspasan:

Para la realización de las funciones transferidas y las que han de desarrollarse coordinadamente con el Ministerio de Agricultura, Pesca y Alimentación, se traspasan a. Ente Preautonómico la Jefatura Provincial de Producción Vegetal ubicada en su ámbito territorial, con los medios materiales, personales y presupuestarios que más adelante se relacionan.

D) Bienes, derechos y obligaciones del Estado que se traspasan:

Se traspasan los bienes, derechos y obligaciones que se recogen en la relación adjunta número 1, en los términos y con sujeción a las formalidades previstas en la Ley 32/1981, de 10 de julio, y artículo 1.º del Real Decreto 2970/1980, de 12 de diciembre.

E) Personal adscrito a los servicios e instituciones que se traspasan:

El personal adscrito a los referidos servicios que pasan a depender del Ente Preautonómico, en las condiciones señaladas en la legislación vigente, se recogen en la relación número 2, establecida para su perfecta identificación y determinación de sus derechos.

Por la Subsecretaría del Ministerio de Agricultura, Pesca y Alimentación y demás órganos competentes en materia de personal, se notificará a los interesados el traspaso. Asimismo, se remitirá a los órganos competentes del Ente Preautonómico una copia de todos los expedientes de este personal transferido.

F) Puestos de trabajo vacantes que se traspasan:

Los puestos de trabajo vacantes que se traspasan figuran en la relación número 2 adjunta.

G) Créditos presupuestarios que se traspasan:

Los créditos presupuestarios del ejercicio corriente que constituyen la dotación de los servicios traspasados se recogen en la relación adjunta número 3.

La Comisión Mixta aprobará la valoración del coste efectivo de los servicios y funciones transferidos, así como las modificaciones que, en su caso, deban operarse en los Presupuestos del Estado o de los Organismos Autónomos correspondientes conforme a las instrucciones que, a tal efecto, dicte el Ministerio de Hacienda.

Por el Ministerio de Hacienda se adoptarán las medidas precisas para la efectiva transferencia al Ente Preautonómico de las dotaciones indicadas, de conformidad con lo previsto en la Ley General Presupuestaria, Ley de los Presupuestos Generales del Estado y demás disposiciones complementarias.

H) Efectividad de las transferencias.

Las transferencias de competencias y funciones y el traspaso de los medios, objeto de este acuerdo, tendrán efectividad a partir del día 1 de enero de 1982.

Y para que conste, expido la presente certificación en Madrid, a 14 de diciembre de 1981.‒El Secretario de la Comisión Mixta de Agricultura y Pesca, José Elías Díaz García.

CERTIFICA:

Que en el Pleno de la Comisión, celebrado el día 14 de diciembre de 1981 se acordó la transferencia a los Entes Preautonómicos de los servicios de producción animal, en los términos que se reproducen a continuación:

A) Normas legales de referencia.

La Constitución en el artículo 148, establece que las Comunidades Autónomas podrán asumir competencias en materia de agricultura y ganadería de acuerdo con la ordenación general de la economía; y en su artículo 149, que el Estado tiene competencia exclusiva en las bases y coordinación de la planificación general de la actividad económica, comercio exterior y relaciones internacionales.

Los Decretos 2684/1971, de 5 de noviembre; 2918/1974, de 11 de octubre, y demás disposiciones concordantes, establecen las funciones que en materia de producción animal, competen a la Dirección General de la Producción Agraria, a través de la Subdirección General de la Producción Animal,

B) Distribución de las funciones y competencias.

1. De las competencias y funciones actualmente atribuidas a la Subdirección General de la Producción Animal, se transfieren a los Entes Preautonómicos, para su ejercicio en su respectivo ámbito territorial, y en los términos que el presente Real Decreto establece, las siguientes:

a) El análisis y caracterización técnico-económica de los sistemas de producción animal, y de racionalización de las explotaciones ganaderas en su ámbito territorial, ajustándose a la normativa establecida por la Administración Central del Estado.

b) La planificación ‒oída la Administración del Estado‒ ejecución, seguimiento y evaluación de los programas de carácter regional en materia de mejora ganadera y racionalización de los sistemas de explotación del ganado y demás actuaciones necesarias con tal finalidad, en el marco de los programas y de las disposiciones legales que, en relación con estas mejoras, estén establecidas o establezca la Administración del Estado.

c) El desarrollo de las acciones correspondientes a la ordenación de la estructura y organización productiva de los subsectores ganaderos, así como de mejora de la productividad, de acuerdo con la normativa vigente.

d) La ejecución, seguimiento y evaluación en su ámbito territorial de los programas de fomento y mejora de las producciones animales y de aprovechamiento de los recursos de utilización para la ganadería.

e) Las acciones relacionadas con el Reglamento de Ordenación de Pastos, Hierbas y Rastrojeras.

f) La dirección y ejecución de los Programas de Reproducción Ordenada, de acuerdo con las disposiciones vigentes.

g) La aprobación e instrumentación de concursos de ganado de carácter local, provincial y regional, así como la colaboración en el desarrolle de los concursos de ganado de carácter nacional y de las exposiciones-venta de reproductores selectos, que, a propuesta de las Asociaciones Nacionales de Criadores de Ganado Selecto se aprueben por la Administración del Estado para realizar en el ámbito de la región.

h) La vigilancia del cumplimiento y, en su caso, la denuncia, ante la Administración del Estado, de las infracciones cometidas contra la legislación vigente en materia de mejora y fomento de las producciones ganaderas y de los medios de producción.

i) La tramitación administrativa para la concesión de las ayudas derivadas de la mejora y el fomento de las producciones ganaderas y de los medios de producción.

2. Corresponden al Ministerio de Agricultura, Pesca y Alimentación, las siguientes competencias y funciones:

a) El establecimiento de las bases de planificación general de la política de ordenación y mejora de las producciones animales, constituidas por el conjunto de disposiciones legales vigentes en dicha materia o por la normativa que al efecto pueda promulgarse, dentro de la planificación general de la actividad económica.

b) La elaboración y establecimiento, oídos los Entes territoriales, de los programas de orientación y estructura de los censos Animales; de la estructura y organización productiva de los subsectores ganaderos; de la ordenación, fomento y mejora de las producciones animales; así como la consiguiente coordinación, seguimiento y evaluación de sus resultados a nivel nacional.

c) La reglamentación y desarrollo de los libros y Registros Genealógicos, del Control de Rendimientos y de Valoración de Reproductores inscritos en los mismos.

d) Los Centros Nacionales de Selección y Reproducción Animal y Depósitos de Reproductores Selectos dependientes, de los mismos.

e) La aprobación y función registral de las materias primas y fórmulas de pienso para la alimentación animal.

f) La aprobación y dirección técnica de los concursos de ganado de carácter nacional e internacional, y de las exposiciones-venta de reproductores selectos.

g) Las relaciones internacionales en materia de producción animal, así como las competencias relacionadas con el comercio exterior de reproductores selectos y de material genético animal. Los Entes territoriales podrán asistir y participar, dentro de la delegación española, y en aquellas reuniones técnicas de carácter internacional cuando sean requeridos para ello.

h) La asignación de las inversiones y de las transferencias de capital que los. Presupuestos Generales del Estado establezcan para la realización de los programas y actividades antes citadas.

3. Entre el Ministerio de Agricultura, Pesca y Alimentación y los Entes territoriales se desarrollarán, a través del órgano colegiado que sea reglamentariamente establecido por el Ministerio de Agricultura, Pesca y Alimentación y con participación de todos ellos, las siguientes funciones y competencias:

a) La armonización y coordinación del funcionamiento de las Administraciones Central y Autonómica, en materia de ordenación y mejora de las producciones animales.

b) La instrumentación del desarrollo, en el ámbito de los respectivos Entes Preautonómicos, de los programas y acciones señalados en el párrafo B.1., a efectos de a necesaria coordinación económica general, estableciendo la asignación de recursos presupuestarios aprobados para dichos programas y actuaciones.

c) La determinación de los métodos, procedimientos y datos precisos para facilitar la mutua información necesaria, tanto para la Administración Central del Estado, como para los Entes territoriales.

d) El suministro de la información que se determine para el seguimiento y evaluación a nivel nacional de los programas y acciones antes señalados, con la periodicidad y en la forma que se establezca para cada uno.

e) El estudio y, en su caso, aprobación de los programas de hibridación, así como los Centros concertados de inseminación artificial de ganado, con sujeción a lo establecido por la normativa general básica vigente sobre la materia.

f) El estudio, aprobación e instrumentación de programas de defensa, conservación o promoción de las razas autóctonas que se consideren de interés en cada Ente Preautonómico.

C) Servicios e instituciones que se traspasan.

Para la realización de las funciones transferidas, se traspasan al Ente Preautonómico la Jefatura Provincial de Producción Animal, así como las instalaciones, medios materiales, personales y presupuestarios, que más adelante se relacionan.

D) Bienes, derechos y obligaciones del Estado que se traspasan:

Se traspasan los bienes, derechos y obligaciones que se recogen en la relación adjunta número 1, en los términos y con sujeción a las formalidades previstas en la Ley 32/1981, de 10 de julio y artículo 1.º del Real Decreto 2970/1980, de 12 de diciembre.

E) Personal adscrito a los servicios e instituciones que se traspasan:

El personal adscrito a los referidos servicios que pasan a depender del Ente Preautonómico, en las condiciones señaladas en la legislación vigente, se recogen en la relación número 2, establecida para su perfecta identificación y determinación de sus derechos.

Por la Subsecretaría del Ministerio de Agricultura, Pesca y Alimentación y demás órganos competentes en materia de personal, se notificará a los interesados el traspaso. Asimismo, se remitirá a los órganos competentes del Ente Preautonómico una copia de todos los expedientes de este personal transferido.

F) Puestos de trabajo vacantes que se traspasan:

Los puestos de trabajo vacantes que se traspasan figuran en la relación número 2 adjunta.

G) Créditos presupuestarios que se traspasan:

Los créditos presupuestarios del ejercicio corriente que constituyen la dotación de los servicios traspasados se recogen en la relación adjunta número 3.

La Comisión Mixta aprobará la valoración del coste efectivo de los servicios y funciones transferidos, así como las modificaciones que, en su caso, deban operarse en los Presupuestos del Estado o de los Organismos Autónomos correspondientes, conforme a las instrucciones que, a tal efecto, dicte el Ministerio de Hacienda.

Por el Ministerio de Hacienda se adoptarán las medidas precisas para la efectiva transferencia al Ente Preautonómico de las dotaciones indicadas, de conformidad con lo previsto en la Ley General Presupuestaria, Ley de los Presupuestos Generales del Estado y demás disposiciones complementarias.

H) Efectividad de las transferencias.

Las transferencias de competencias y funciones y el traspaso de los medios, objeto de este acuerdo, tendrán efectividad a partir del día 1 de enero de 1982.

Y para que conste, expido la presente certificación en Madrid a 14 de diciembre, de 1981.‒El Secretario de la Comisión Mixta de Agricultura y Pesca, José Elías Díaz García.

CERTIFICA:

Que en el Pleno de la Comisión celebrado el día 14 de diciembre de 1981 se acordó la transferencia a los Entes Preautonómicos de los servicios de sanidad animal, en los términos que se reproducen a continuación:

A) Normas legales de referencia.

La Constitución, en su artículo 148, establece que las Comunidades Autónomas podrán asumir competencias en materia de agricultura y ganadería de acuerdo con la ordenación general de la economía y de sanidad e higiene y, en su artículo 140, establece como competencia exclusiva de la Administración del Estado la sanidad exterior, bases y coordinación general de la sanidad y de la planificación general de la actividad económica, legislación sobre productos farmacéuticos y el régimen aduanero y arancelario así como el comercio exterior.

El Decreto 2684/1971, de 5 de noviembre, señala que corresponde a la Subdirección General de Sanidad Animal, la prevención y lucha contra las enfermedades animales y zoonosis, el control de los medios de defensa sanitaria, la vigilancia sanitaria fronteriza, así como el cumplimiento de las disposiciones legales y reglamentarias sobre epizootias y convenios internacionales relacionados con esta materia.

B) Distribución de las funciones y competencias.

1. De las competencias y funciones actualmente atribuidas a la Subdirección General de Sanidad Animal, se transfieren a los Entes Preautonómicos para su ejercicio por cada uno de ellos, en su respectivo ámbito territorial y en los términos del presente Real Decreto, las siguientes:

a) Control y vigilancia de los animales y de sus explotaciones para la detección de epizootias y la adopción de las medidas sanitarias pertinentes en el caso de aparición de una de ellas.

b) La planificación, organización, dirección, ejecución y evaluación de las campañas de saneamiento ganadero no reguladas por las disposiciones de ámbito estatal.

c) La organización, dirección, ejecución y evaluación en su ámbito territorial, de las campañas de saneamiento ganadero, reguladas por disposiciones de ámbito estatal.

d) La recomendación de las medidas de lucha contra las enfermedades de los animales.

e) El fomento de las agrupaciones ganaderas de defensa sanitaria.

f) La adopción de las medidas zoosanitarias obligatorias, en relación con el movimiento y transporte de los animales y productos de ellos derivados.

g) La autorización y, en su caso, calificación y registro, así como el control zoosanitario de las concentraciones ganaderas y explotaciones animales.

h) La gestión, en su ámbito territorial, del registro de distribuidores de productos y material zoosanitario.

2. Corresponden al Ministerio de Agricultura, Pesca y Alimentación, las competencias y funciones siguientes:

a) La legislación básica, planificación general y coordinación en materia de sanidad animal.

b) La normativa precisa para la homogeneización en todo el ámbito nacional de la actividad en dicha materia, oídos los Entes territoriales.

c) La planificación, coordinación y evaluación de las campañas de saneamiento ganadero de ámbito estatal y de los programas de sanidad animal, con la participación de los Entes territoriales.

d) La gestión de las inversiones y de las transferencias de capital que los Presupuestos Generales del Estado asignen para la realización de los programas y las campañas de saneamiento ganadero.

e) El registro y control de la producción de los productos zoosanitarios, así como la homologación sanitaria de las industrias relacionadas con los mismos.

f) La autorización, certificación y control zoosanitarios de los animales y productos de ellos derivados y con ellos relacionados, con destino al comercio exterior, tanto en origen como en Aduanas.

g) La alta inspección en materia de sanidad animal.

h) Las relaciones internacionales en materia de sanidad animal. Los Entes territoriales podrán asistir y participar, dentro de la delegación española, en aquellas reuniones técnicas de carácter internacional cuando sean requeridos para ello.

3. Entre el Ministerio de Agricultura, Pesca y Alimentación y los Entes territoriales se desarrollarán, a través del Organo colegiado que reglamentariamente sea establecido por el Ministerio de Agricultura, Pesca y Alimentación y con participación de todos ellos, las siguientes funciones y competencias.

a) La declaración oficial obligatoria de la existencia de una enfermedad se realizará por el Ente Preautonómico, dentro de su ámbito territorial, a iniciativa propia o a instancias de la Administración del Estado. En el primer caso, el Ente Preautonómico procederá a la previa comunicación a la Administración del Estado para la ratificación, en su caso, por ésta de tal declaración. En el segundo, el Ente deberá realizar la declaración instada. En todo caso, la ratificación por la Administración del Estado supondrá la declaración oficial a los efectos de su validez en todo el ámbito nacional y de su comunicación a nivel internacional.

b) La declaración oficial de áreas libres de enfermedad se realizará por el Ente Preautonómico, dando conocimiento a la Administración del Estado que la ratificará, en su caso, a efectos de sanidad interior y exterior.

c) Los Entes territoriales participarán, a través del Organo colegiado y en la forma que reglamentariamente se determine por el Ministerio de Agricultura, Pesca y Alimentación, en la elaboración e instrumentación de las campañas de, saneamiento ganadero y de los programas de Sanidad Animal establecidos por la Administración del Estado, a quien facilitará la información necesaria para la evaluación de las mismas.

d) Los Entes Preautonómicos informarán de manera inmediata a la Administración del Estado de la incidencia, localización y desarrollo de las epizootias que se presenten en su ámbito territorial. Asimismo, informarán de las actuaciones que se realicen en esta materia.

e) El Ministerio de Agricultura, Pesca y Alimentación y los Entes Preautonómicos establecerán un convenio por el que se asegure a éstos, a través de los laboratorios que dependan de la Administración del Estado, el apoyo para el pleno ejercicio de las competencias asumidas en materia de Sanidad Animal.

f) El Ministerio de Agricultura, Pesca y Alimentación, en la medida de sus posibilidades, prestará apoyo técnico y material a aquellos Entes Preautonómicos para el desarrollo de sus actividades en las materias transferidas.

C) Servicios e Instituciones que se traspasan:

Para la realización de las funciones transferidas, se traspasan al Ente Autonómico la Jefatura Provincial de Producción Animal, ubicada en su respectivo ámbito territorial, con los medios materiales, personales y presupuestarios, que más adelante se relacionan.

D) Bienes, derechos y obligaciones del Estado que se traspasan:

Se traspasan los bienes, derechos y obligaciones, que se recogen en la relación, adjunta número 1, en los términos y con sujeción a las formalidades previstas en la Ley 32/1981, de 10 de junio, y artículo 1.º del Real Decreto 2970/1980, de 12 de diciembre.

E) Personal adscrito a los Servicios e Instituciones que se traspasan:

El personal adscrito a los referidos servicios que pasan a depender del Ente Preautonómico en las condiciones señaladas en la legislación vigente, se recogen en la relación número 2, establecida para su perfecta identificación y determinación de sus derechos.

Por la Subsecretaría del Ministerio de Agricultura, Pesca y Alimentación y demás Organos competentes en materia de personal, se notificará a los interesados el traspaso. Asimismo, se remitirá a los Organos competentes del Ente Preautonómico una copia de todos los expedientes de este personal transferido.

F) Puestos de trabajo vacantes que se traspasan:

Los puestos de trabajo vacantes que se traspasan, figuran en la relación número 2 adjunta.

G) Créditos presupuestarios que se traspasan:

Los créditos presupuestarios del ejercicio corriente que constituyen la dotación de los servicios traspasados se recogen en la relación adjunta número 3.

La Comisión Mixta aprobará la valoración del coste efectivo de los servicios y funciones transferidos, así como las modificaciones que, en su caso, deban operarse en los Presupuestos del Estado o de los Organismos Autónomos correspondientes, conforme a las instrucciones que a tal efecto dicte el Ministerio de Hacienda.

Con el Ministerio de Hacienda se adoptarán las medidas precisas para la efectiva transferencia al Ente Preautonómico de las dotaciones indicadas, de conformidad con lo previsto en la Ley General Presupuestaria, Ley de Presupuestos Generales del Estado, y demás disposiciones complementarias.

H) Efectividad de las transferencias.

Las transferencias de competencias y funcionas y el traspaso de los medios, objeto de este acuerdo, tendrán efectividad a partir del día 1 de enero de 1982.

Y para que conste, expido la presente certificación en Madrid a 14 de diciembre de 1981‒El Secretario de la Comisión Mixta de Agricultura y Pesca, José Elías Díaz García.

CERTIFICA:

Que en el Pleno de la Comisión, celebrado el día 14 de diciembre de 1981 se acordó la transferencia a los Entes Preautonómicos de los Servicios de ordenación de la oferta, en los términos que se reproduce a continuación:

A) Normas legales de referencia.

La Constitución, en el artículo 148, establece que las Comunidades Autónomas podrán asumir competencias en materia de Agricultura y Ganadería de acuerdo con la ordenación general de la economía y en ferias interiores y, en su artículo 149, que el Estado tiene competencia exclusiva en bases y coordinación de la planificación general de la actividad económica, comercio exterior, legislación mercantil y relaciones internacionales.

El Real Decreto 844/1981, de 8 de mayo, y disposiciones complementarias atribuyen a la Subdirección General de Ordenación de la Oferta las funciones de comercialización, normalización y tipificación en origen de productos agrarios, así como las acciones relativas a estudio, registro promoción, información y vigilancia de los mercados de origen de productos agrarios y los de promoción, tramitación, calificación registro, vigilancia e inspección de las agrupaciones de productores agrarios, asignados a la Dirección General de Producción Agraria.

B) Distribución de las funciones y competencias.

1. De las competencias y funciones actualmente atribuidas a la Subdirección General de Ordenación de la Oferta se transfieren a los Entes Preautonómicos para su ejercicio en su ámbito territorial, y en los términos que el presente Real Decreto establece, las siguientes:

a) Las acciones relativas a la difusión y análisis de la aplicación de las normas de calidad de productos agrarios, en origen.

b) Las acciones relativas al estudio, promoción, tramitación, información, vigilancia y aprobación de los estatutos y reglamentos de los Centros de Contratación de Productos Agrarios en Origen, en concordancia con la programación nacional de tales Centros y con la legislación vigente.

c) Las acciones relativas a la promoción, tramitación, asesoramiento técnico, vigilancia e inspección de las Agrupaciones de Productores Agrarios, así como la calificación previa que se elevará al Ministerio de Agricultura, Pesca y Alimentación, para su conocimiento y ratificación, lo que éste hará, siempre que cumplan la normativa vigente.

d) Propuestas de calendarios de celebraciones de los Centros de Contratación de Productos Agrarios en origen, que así lo requieran, y sus modificaciones en el tiempo.

e) La vigilancia del cumplimiento y, en su caso, la denuncia, ante la Administración del Estado de las infracciones cometidas contra la legislación vigente en materia de ordenación de la oferta.

f) La tramitación administrativa para la concesión de las ayudas derivadas de la ordenación de la oferta.

2. Corresponden al Ministerio de Agricultura, Pesca y Alimentación las competencias y funciones siguientes:

a) La legislación básica, planificación general y coordinación en materia de ordenación de la oferta.

b) La elaboración y promulgación de normas de calidad de los productos agrarios en origen y de sus Reglamentos de Aplicación, así como de la legislación por la que han de regirse los CCPA y las Agrupaciones de Productos Agrarios (APA).

c) La elaboración y aprobación de los programas sobre Agrupaciones de Productores Agrarios, Centros de Contratación de Productos Agrarios en Origen y del calendario de celebraciones, oído el Organo colegiado correspondiente.

d) Ratificación de la calificación de APA, para la obtención de los beneficios y ayudas que la legislación determine, así como el registro especial de APA.

e) El registro de inscripción de los Centros de Contratación de Productos Agrarios.

f) La asignación de las inversiones y transferencias de capital que los Presupuestos Generales del Estado establezcan anual o plurianualmente, para la financiación de los programas de APA y de CCPA.

3. Entre el Ministerio de Agricultura Pesca y Alimentación y los Entes territoriales, se desarrollarán a través del Organo colegiado que sea reglamentariamente establecido por el Ministerio de Agricultura. Pesca y Alimentación, las siguientes funciones y competencias:

a) La instrumentación y posterior desarrollo de las acciones de seguimiento y evaluación de los programas establecidos por la Administración del Estado, así como la coordinación y aplicación de criterios de funcionamiento homogéneo, en todo el territorio nacional.

b) La realización de estudios con el fin de racionalizar la oferta y mejorar la comercialización de las producciones mediante la creación de nuevos Centros de Contratación y la mejora de los existentes.

c) El asesoramiento técnico a Centros y Entidades acogidos a los programas de Centros de Contratación de Productos Agrarios y de APAS.

d) La divulgación de la actividad de los Centros y Entidades surgidos por la aplicación de los programas antes mencionados.

e) El análisis de las decisiones a adoptar sobre los programas de Centros de Contratación y APAS.

f) La formación de personal para el desarrollo de los programas antes mencionados.

g) El establecimiento de la normativa para la aplicación de las inversiones y de las transferencias de capital asignadas a los programas establecidos por la Administración del Estado, en, el ámbito territorial del Ente Preautonómico.

C) Servicios e Instituciones que se traspasan:

Para la realización de las funciones transferidas y que han de desarrollarse coordinadamente con el Ministerio de Agricultura, Pesca y Alimentación, se traspasan al Ente Preautonómico la Jefatura Provincial de Industrialización y Comercialización Agraria, ubicada en su ámbito territorial con los medios materiales, personales y presupuestarios que más adelante se relacionan.

D) Bienes, derechos y obligaciones del Estado que se traspasan:

Se traspasan los bienes, derechos y obligaciones que se recogen en la relación adjunta número 1, en los términos y con sujeción a las formalidades previstas en la Ley 32/1981, de 10 de julio, y artículo 1.° del Real Decreto 2979/1980, de 12 de diciembre.

E) Personal adscrito a los servicios e instituciones que se traspasan:

El personal adscrito a los referidos servicios que pasan a depender del Ente Preautonómico, en las condiciones señaladas en la legislación vigente, se recogen en la relación número 2, establecida para su perfecta identificación y determinación de sus derechos.

Por la Subsecretaría del Ministerio de Agricultura, Pesca y Alimentación y demás Organos competentes en materia de personal, se notificará a los interesados el traspaso. Asimismo, se remitirá a los Organos competentes del Ente Preautonómico una copia de todos los expedientes de este personal transferido.

F) Puestos de trabajo vacantes que se traspasan.

Los puestos de trabajo vacantes que se traspasan figuran en la relación número 2 adjunta.

G) Créditos presupuestarios que se traspasan.

Los créditos presupuestarios del ejercicio corriente que constituyen la dotación de los servicios traspasados se recogen en la relación adjunta número 3.

La Comisión Mixta aprobará la valoración del coste efectivo de los servicios y funciones transferidos, así como las modificaciones que, en su caso, deban operarse en los Presupuestos del Estado o de los Organismos Autónomos correspondientes, conforme a las instrucciones que a tal efecto, dicte el Ministerio de Hacienda.

Por el Ministerio de Hacienda se adoptarán las medidas precisas para la efectiva transferencia al Ente Preautonómico de las dotaciones indicadas, de conformidad con lo previsto en la Ley General Presupuestaria, Ley de los Presupuestos Generales del Estado y demás disposiciones complementarias.

H) Efectividad de las transferencias.

Las transferencias de competencias y funciones y el traspaso de los medios, objeto de este acuerdo, tendrán efectividad a partir del día 1 de enero de 1982.

Y para que conste, expido la presente certificación en Madrid a 14 de diciembre de 1981.‒El Secretario de la Comisión Mixta de Agricultura y Pesca, José Elías Díaz García.

CERTIFICA:

Que en el Pleno de la Comisión, celebrado el día 14 de diciembre de 1981 se acordó la transferencia a los Entes Preautonómicos de los servicios de desarrollo ganadero, en los términos que se reproducen a continuación:

A) Normas legales de referencia.

La Constitución en el artículo 146 establece que las Comunidades Autónomas, podrán asumir competencias en materia de agricultura y ganadería, de acuerdo con la ordenación general de la economía y, en su artículo 149, que el Estado tiene competencia exclusiva en materia de relaciones internacionales, bases y coordinación de la planificación general de la actividad económica y a estadística para fines estatales.

Los Decretos-ley 14/1969 y 6/1975, autorizan los dos Convenios establecidos por España con el Banco Internacional de Reconstrucción y Fomento, en 17 de julio de 1969 y 16 de julio de 1975, que atribuyen a la Agencia de Desarrollo Ganadero competencias de selección y supervisión de créditos de desarrollo, así como la asistencia técnica a los ganaderos participantes en sus programas dirigidos al incremento productivo de ganado extensivo de producción nacional, reducción de importaciones y elevación de las rentas agrarias de las áreas afectadas.

El Real Decreto 419/1979, de 13 de febrero y disposiciones concordantes extienden a la totalidad del territorio nacional las competencias y actuación de la Agencia en materia de desarrollo ganadero y gestión de créditos supervisados; estableciendo asimismo el Real Decreto 464/1979, de 2 de febrero y disposiciones concordantes, la concesión de crédito oficial y otros estímulos y ayudas a los titulares de explotaciones que se acojan a los proyectos que realice la Agencia de Desarrollo Ganadero.

B) Distribución de funciones y competencias.

1. De las competencias y funciones actualmente atribuidas a la Agencia de Desarrollo Ganadero se transfieren a los Entes Preautonómicos, para su ejercicio en su ámbito territorial y en los términos que el presente Real Decreto establece, las siguientes:

a) La selección, estudio y redacción de los planes de mejora ganadera rara aquellos empresarios que soliciten acogerse a las líneas de crédito ganadero supervisado.

b) Las propuestas de concesión de los, préstamos de desarrollo ganadero ante las Entidades de Crédito pertinentes.

c) La asistencia técnica a los empresarios acogidos o que puedan acogerse a los programas de desarrollo ganadero.

d) La supervisión del empleo de los préstamos concedidos a los empresarios ganaderos, de la distribución según sus distintos fines y de su calendario.

e) La supervisión y vigilancia de las mejoras y de la transformación de las Empresas acogidas.

f) La gestión de la utilización de las líneas privadas de crédito establecidas por la Agencia de Desarrollo Ganadero con Cajas de Ahorro Cajas Rurales y Diputaciones u otras Entidades, previa formalización de los oportunos convenios entre éstas y los Entes Preautonómicos.

2. Corresponden al Ministerio de Agricultura, Pesca y Alimentación, las competencias y, funciones siguientes:

a) La orientación productiva, control y coordinación de los créditos oficiales supervisados que se concedan para planes de desarrollo ganadero.

b) La gestión de los fondos oficiales destinados o que puedan destinarse a créditos y subvenciones a los proyectos de desarrollo ganadero y asignación de recursos presupuestarios al efecto.

c) Las relaciones internacionales en materia de desarrollo ganadero que le asignan los Convenios establecidos con el Banco Mundial y otras que puedan establecerse. Los Entes territoriales podrán asistir y participar, dentro de la delegación española, en aquellas reuniones técnicas de carácter internacional, cuando sean requeridos para ello.

d) La estadística y evaluación general de las acciones de desarrollo ganadero realizadas en base a créditos supervisados.

3. Entre el Ministerio de Agricultura, Pesca y Alimentación y los Entes territoriales se desarrollarán, a través del órgano colegiado que reglamentariamente sea establecido por el Ministerio de Agricultura, Pesca y Alimentación y con participación de todos ellos, las siguientes funciones y competencias.

a) Las normas de regulación de las actuaciones en relación con la gestión de líneas de crédito y otros auxilios a los ganaderos.

b) El intercambio de información que permita el estudio y evaluación de las acciones de desarrollo ganadero y la emisión de informes y recomendaciones.

C) Servicios e Instituciones que se traspasan:

Para la realización de las funciones transferidas, se traspasan a los Entes Preautonómicos los Servicios Periféricos de la Agencia de Desarrollo Ganadero ubicados o que ejerzan sus funciones en su respectivo ámbito territorial, con los medios materiales, personales y presupuestarios, que más adelante se relacionan.

D) Bienes, derechos y obligaciones del Estado que se traspasan:

Se traspasan los bienes, derechos y obligaciones que se recogen en la relación adjunta número 1, en los términos y con sujeción a las formalidades previstas en la Ley 31/1981, de 10 de julio, y artículo 1.º del Real Decreto 2970/1980, de 12 de diciembre.

E) Personal adscrito a los servicios e instituciones que se traspasan:

El personal adscrito a los referidos servicios que pasan a depender de los Entes territoriales, en las condiciones señaladas en la legislación vigente, se recogen en la relación número 2, establecida para su perfecta identificación y determinación de sus derechos.

Por la Subsecretaría del Ministerio de Agricultura, Pesca y Alimentación y demás órganos competentes en materia de personal, se notificará a los interesados el traspaso. Asimismo, se remitirá a los órganos competentes del Ente Preautonómico una copia de todos los expedientes de este personal transferido.

F) Puestos de trabajo vacantes que se traspasan:

Los puestos de trabajo vacantes que se traspasan figuran en la relación número 2 adjunta.

G) Créditos presupuestarios que se traspasan:

Los créditos presupuestarios del ejercicio corriente que constituyen la dotación de los servicios traspasados se recogen en la relación adjunte número 3.

La Comisión Mixta aprobará la valoración del coste efectivo de los servicios y funciones transferidos, así como las modificaciones que, en su caso, deban operarse en los presupuestos del Estado o de los Organismos autónomos correspondientes conforme a las instrucciones que a tal efecto dicte el Ministerio de Hacienda.

Por el Ministerio de Hacienda se adoptarán las medidas precisas para la efectiva transferencia al Ente Preautonómico de las dotaciones indicadas, de conformidad con lo previsto en la Ley General Presupuestaria, Ley de los Presupuestos Generales del Estado y demás disposiciones complementarias.

H) Efectividad de las transferencias.

Las transferencias de competencias y funciones y el traspaso de los medios, objeto de este acuerdo, tendrán efectividad a partir del día 1 de enero de 1982.

Y para que conste, expido la presente certificación en Madrid a 14 de diciembre de 1981.‒El Secretario de la Comisión Mixta de Agricultura y Pesca, José Elías Díaz García.

CERTIFICA:

Que en el Pleno de la Comisión, celebrado el día 14 de diciembre de 1981, se acordó la transferencia a los Entes Preautonómicos de los servicios de industrias agrarias en los términos que se reproducen a continuación:

A) Normas legales de referencia.

La Constitución, en su artículo 148, establece que las Comunidades Autónomas podrán asumir competencias en materia de agricultura y ganadería, de acuerdo con la ordenación general de la economía y de montes y aprovechamientos forestales; y, en su artículo 149, que el Estado tiene competencia exclusiva sobre las bases y coordinación de la planificación general de la actividad. económica.

El Decreto 1716/1976, de 23 de julio, atribuye a la Dirección General de Industrias Agrarias, competencias en materia de ordenación, fomento y técnica de las industrias agrarias que corresponden al Ministerio de Agricultura, Pesca y Alimentación, en virtud de lo establecido en el Decreto-ley de 1 de mayo de 1952 y el Decreto 508/1973, de 15 de marzo y disposiciones complementarias.

B) Distribución de funciones y competencias.

1. De las competencias, actualmente atribuidas a la Dirección General de Industrias Agrarias, se transfieren a los Entes Preautonómicos para su ejecución por cada uno de ellos, en sus respectivos ámbitos territoriales y en los términos del presente Real Decreto, las siguientes funciones y competencias:

a) La información previa a la declaración, por el Ministerio de Agricultura, Pesca y Alimentación, de sectores industriales de interés preferente, de zonas de preferente localización industrial agraria y a la modificación del régimen vigente de exceptuación, así como al establecimiento de los requisitos mínimos que se fijen para dicho régimen.

b) La proposición al Ministerio de Agricultura, Pesca y Alimentación, de la declaración de sectores industriales de interés preferente y de zonas de preferente localización industrial agraria.

c) La tramitación y autorización para la instalación o modificación de industrias agrarias liberalizadas y su inscripción en el registro provincial.

d) La legalización de las industrias agrarias que tengan la consideración de liberalizadas.

e) La tramitación de los expedientes de instalación o modificación de industrias agrarias exceptuadas hasta concluir la información pública, la redacción de los informes correspondientes y la elevación de los mismos, con sus propuestas, al Ministerio de Agricultura, Pesca y Alimentación, para su resolución.

La inspección final y el elevamiento del acta de comprobación y la posterior inscripción en el registro provincial.

f) La tramitación de los expedientes de instalación o modificación de industrias que se acojan a sectores industriales agrarios de interés preferente o a zonas de preferente localización industrial agraria, la redacción de los informes correspondientes y la elevación de los mismos, con su propuesta al Ministerio de Agricultura, Pesca y Alimentación para su resolución.

La inspección y comprobación de las obras y la posterior inscripción en el registro provincial. En los casos de existir subvención, la comprobación de los justificantes de gastos y certificaciones de las inversiones realizadas.

La redacción de los informes que sean preceptivos del Ministerio de Agricultura, Pesca y Alimentación, en materia de industrias agrarias cuando sean solicitados por órganos provinciales o regionales de la Administración del Estado.

g) La expedición del documento de calificación empresarial en los sectores en que ya está implantado o en los que pueda implantarse en lo sucesivo por la Administración del Estado con participación de los Entes territoriales, de acuerdo con la legislación vigente.

h) La inspección y comprobación del cumplimiento de la legislación vigente en las instalaciones de industrias agrarias.

i) La instrucción de los expedientes sancionadores incoados con motivo de las infracciones observadas en dichas inspecciones y su resolución en el caso de industrias liberalizadas, asumiendo en este campo las competencias reconocidas a la Dirección General de Industrias Agrarias por la legislación vigente. En el caso de industrias exceptuadas, elevación de la propuesta de resolución al Ministerio de Agricultura, Pesca y Alimentación.

2. Corresponden al Ministerio de Agricultura y Pesca las competencias y funciones siguientes:

a) La ordenación y fomento de las industrias agrarias dentro de la planificación genera de las actividades económicas, oído el órgano colegiado competente.

b) La declaración, previo informe, de los Entes territoriales, de sectores industriales de interés preferente y de zonas de preferente localización industrial agraria.

c) La declaración del régimen de exceptuación y la fijación de requisitos mínimos que se establezcan para las industrias sometidas a dicho régimen.

La inclusión en régimen de exceptuación de aquellos sectores industriales agrarios que sean sometidos a un proceso de reestructuración o reconversión industrial.

En esta materia deberá ser oído el órgano colegiado competente.

d) La resolución de los expedientes de instalación o modificación de las industrias agrarias exceptuadas a la vista de los informes y propuestas emitidos por los Entes territoriales.

e) La resolución de los expedientes de instalación o modificación de las industrias acogidas a sectores industriales agrarios de interés preferente o a zonas de preferente localización industrial agraria, a la vista de los informes y propuestas emitidos por los Entes territoriales.

La concesión, en su caso, de los beneficiéis de tipo económico y fiscal que estos regímenes especiales llevan consigo, dando cuenta al Ente territorial.

f) La implantación del documento de calificación empresarial en los sectores que lo soliciten, de acuerdo con la legislación vigente.

g) La participación en las Comisiones Interministeriales donde el informe del Ministerio de Agricultura, Pesca y Alimentación sea preceptivo.

h) Las relaciones internacionales en materia de industrias agrarias. Los Entes territoriales podrán asistir y participar dentro de la delegación española, en aquellas reuniones técnicas de carácter internacional cuando sean requeridos para ello.

i) La facultad discrecional de inspección de los establecimientos de industrias agrarias cuando se aprecien anomalías en algún sector que afecten o puedan afectar a más de un Ente territorial.

j) Resolución de los expedientes sancionadores incoados e instruidos por los Entes territoriales a las industrias agrarias exceptuadas.

3. Entre el Ministerio de Agricultura, Pesca y Alimentación y los Entes Preautonómicos, se desarrollarán, coordinadamente, a través del órgano colegiado que sea reglamentariamente establecido por el Ministerio de Agricultura, Pesca y Alimentación y con arreglo a los mecanismos que se señalan, las siguientes funciones y competencias:

a) Para mantener la debida homogeneidad en materia de registro de industrias agrarias, los Entes territoriales se ajustarán a las norma generales vigentes o a las que se establezcan con la participación de los mismos. En todo caso, los Entes territoriales facilitarán al Ministerio de Agricultura, Pesca y Alimentación, copia de todas las inscripciones o modificaciones practicadas en sus respectivos registros industriales agrarios, quien pondrá a disposición de todos los Entes territoriales la información que posea.

b) Para la gestión de las exacciones parafiscales y recaudación de las multas, así como su distribución, se estará a lo dispuesto en la legislación vigente.

c) La armonización entre los diferentes Entes territoriales de las materias transferidas.

d) El Ministerio de Agricultura, Pesca y Alimentación, en la medida de sus posibilidades, prestará apoyo técnico y material a aquellos Entes Preautonómicos que o soliciten para el desarrollo de sus actividades en las materias transferidas.

C) Servicios e Instituciones que se traspasan.

Para la realización de las funciones transferidas y las que han de desarrollarse coordinadamente con el Ministerio de Agricultura, Pesca y Alimentación, se traspasan al Ente Preautonómica, la Jefatura Provincial de Industrialización y Comercialización Agraria, ubicada en su ámbito territorial, con los medios materiales, personales y presupuestarios que más adelante se relacionan.

D) Bienes, derechos y obligaciones del Estado que se traspasan.

Se traspasan los bienes, derechos y obligaciones que se recogen en la relación adjunta número 1, en os términos y con sujeción a las formalidades previstas en la Ley 32/1981, de 10 de julio y artículo 1.º del Real Decreto 2970/1980, de 12 de diciembre.

E) Personal adscrito a los Servicios e instituciones que se traspasan.

El personal adscrito a los referidos servicios que pasan a depender del Ente Preautonómico, en las condiciones señaladas en la legislación vigente, se recogen en la relación número 2, establecida para su perfecta identificación y determinación de sus derechos.

Por la Subsecretaría del Ministerio de Agricultura y Pesca y demás órganos competentes en materia de personal, se notificará a los interesados el traspase Asimismo, se remitirá a los órganos competentes del Ente Preautonómico, una copia de todos los expedientes de este personal transferido.

F) Puestos de trabajo vacantes que se traspasan.

Los puestos de trabajo vacantes que se traspasan figuran en la relación número 2 adjunta.

G) Créditos presupuestarios que se traspasan.

Los créditos presupuestarios del ejercicio corriente que constituyen la dotación de los servicios traspasados se recogen en la relación adjunta número 3.

La Comisión Mixta aprobará la valoración del coste efectivo de los servicios y funciones transferidos, así como las modificaciones que, en su caso, deban operarse en os presupuestos del Estado o de los Organismos autónomos correspondientes, conforme a las instrucciones que a tal efecto dicte el Ministerio de Hacienda.

Por el Ministerio de Hacienda se adoptarán las medidas preciasas para la efectiva transferencia al Ente Preautonómico de las dotaciones indicadas, de conformidad con lo previsto en la Ley General Presupuestaria, Ley de los Presupuestos Generales del Estado y demás disposiciones complementarias.

H) Efectividad de las transferencias.

Las transferencias de competencias y funciones y el traspaso de los medios, objeto de este acuerdo, tendrán efectividad a partir del día 1 de enero de 1982.

Y para que conste, expido la presente certificación en Madrid a 14 de diciembre de 1981.‒El Secretario de la Comisión Mixta de Agricultura y Pesca, José Elías Díaz García.

CERTIFICA:

Que en el Pleno de la Comisión, celebrado el día 14 de diciembre de 1981 se acordó la transferencia a los Entes Preautonómicos litorales de los servicios de pesca en aguas interiores, marisqueo y acuicultura en los términos que se reproducen a continuación:

A) Normas legales de referencia.

La Constitución, en su artículo 148, establece que las Comunidades Autónomas podrán asumir competencias en materia de pesca en aguas interiores, marisqueo y acuicultura; y, en su artículo 149, que el Estado tiene competencia exclusiva sobre pesca marítima, sin perjuicio de las competencias que en la ordenación del sector se atribuyan a las Comunidades Autónomas y la legislación básica sobre contratos y concesiones administrativas.

El Real Decreto 845/1981, de 8 de mayo, por el que se modifica la estructura orgánica de la Subsecretaría de Pesca, atribuye a la Dirección General de Ordenación Pesquera las funciones de fomento, control y regulación de las actividades relacionadas con la pesca marítima, la acuicultura y los cultivos marinos, así como, su expansión, protección y renovación.

B) Distribución de funciones y competencias.

1. De las competencias y funciones atribuidas a la Dirección General de Ordenación Pesquera, se transfieren a los Entes Preautonómicos litorales para su ejecución en aguas interiores que corresponden a su ámbito territorial para las tres actividades que se desarrollan a continuación: Pesca en aguas interiores, marisqueo y acuicultura y actividades recreativas y en los términos del presente Real Decreto, las siguientes funciones y competencias:

En materia de pesca en aguas interiores, consideradas como tales las situadas en el interior de las líneas de base rectas del mar territorial, establecidas en el Real Decreto 2510/1977, de 5 de agosto:

a) Otorgar la autorización para el ejercicio de la actividad pesquera.

b) Reglamentar los artes, aparejos, instrumentos y equipos de pesca.

c) Acotar las zonas de pesca, elaborando para cada zona los reglamentos específicos.

d) Fijar los períodos de veda, así como, el horario de actividad pesquera diaria, los días de actividad y el tiempo de calamento continuado de las artes, cuando proceda.

e) Establecer las especies autorizadas y fijar los tamaños mínimos.

f) Dictar las normas correspondientes para regular la inspección y sanción sin perjuicio de las competencias que, con respecto a la vigilancia en aguas interiores, le corresponden a la Armada.

g) Establecer un registro oficial de actividades, medios y personas, tanto físicas como jurídicas, dedicadas al ejercicio de la pesca.

En materia de acuicultura y marisqueo:

a) Otorgar concesiones de acuerdo con la legislación básica del Estado y autorizaciones para:

‒ La explotación de algas, moluscos y crustáceos, establecimientos marisqueros y de cultivos marinos;

‒ La instalación de parqués, viveros flotantes, cetáreas, instalaciones depuradoras de moluscos y demás establecimientos marisqueros y de cultivos marinos;

‒ El ejercicio de la actividad extractiva en general.

b) Establecer la parcelación de determinadas playas y bancos naturales y fijación de las cantidades, veda y horarios.

c) Establecer las especies autorizadas y reglamentación de los diferentes tipos de explotación.

d) Declaración de zonas de interés marisquero y de cultivos marinos.

e) Dictar las normas correspondientes para regular la inspección y sanción sin perjuicio de las competencias que, con respecto a la vigilancia en aguas interiores, le corresponden a la Armada.

f) La gestión del Plan de Explotación Marisquera de Andalucía establecido por Decreto 2595/1974, de 9 de agosto, a cuyo efecto los órganos rectores del plan dependerán de la Junta de Andalucía.

g) La Junta de Andalucía, en tanto no se establezca otra cosa por el Estatuto de Autonomía, remitirá anualmente al Gobierno los presupuestos de financiación del Plan de Explotación Marisquera para su aprobación e inclusión, en su caso, en los presupuestos generales del Estado.

h) Se hará entrega a la Junta de Andalucía de los bienes e instalaciones afectados o incorporados a la gestión del Plan Marisquero de Andalucía, con asunción plena por parte de la Junta de Andalucía de las obligaciones laborales respecto al personal afecto al servicio del plan, cuyas retribuciones se percibirán con cargo a los créditos de financiación del mismo.

En actividades recreativas:

Regular las actividades de carácter recreativo reconociendo los permisos de pesca recreativa emitidos por la Administración del Estado y otros Entes territoriales.

2. Corresponden al Ministerio de Agricultura, Pesca y Alimentación las competencias y funciones siguientes:

a) La aprobación de las normas generales de coordinación de las actuaciones que puedan afectar a la debida explotación de las especies piscícolas y otros recursos naturales fuera de las aguas interiores.

b) Las relaciones internacionales en materia de pesca en aguas interiores, marisqueo y acuicultura. Los Entes territoriales podrán asistir y participar, dentro de la delegación española, en aquellas reuniones técnicas de carácter internacional cuando sean requeridos para ello.

c) Establecer una adecuada coordinación con los Entes Preautonómicos en materia de pesca, acuicultura y marisqueo, para proporcionar a la Armada la información necesaria que le permita realizar eficazmente sus misiones de vigilancia y control.

3. Entre el Ministerio de Agricultura, Pesca y Alimentación y los Entes Preautonómicos se desarrollarán, a través del órgano colegiado que sea reglamentariamente establecido por el Ministerio de Agricultura, Pesca y Alimentación y con participación de todos ellos, las siguientes funciones y competencias:

a) Para la gestión de las exacciones parafiscales y recaudación de las multas, así como, su distribución, se estará a lo dispuesto en la legislación vigente.

b) La coordinación en las materias transferidas y la asignación de los créditos presupuestarios correspondientes.

c) Los Entes territoriales informarán sobre las actuaciones que realicen en el ejercicio de sus competencias en estas materias al Ministerio de Agricultura, Pesca y Alimentación, quien pondrá a disposición de todos los Entes territoriales la información que posea.

d) El Ministerio de Agricultura, Pesca y Alimentación, en la medida de sus posibilidades, prestará apoyo técnico y material a aquellos Entes territoriales que lo soliciten, para el desarrollo de sus actividades en las materias transferidas.

C) Servicios e Instituciones que se traspasan.

La gestión del Plan de Explotación Marisquera de Andalucía (PEMARES).

D) Bienes, derechos y obligaciones del Estado que se traspasan.

Los bienes e instalaciones afectados o incorporados a PEMARES.

E) Personal adscrito a los Servicios e Instituciones que se traspasan.

El personal laboral afecto al servicio de PEMARES.

F) Puestos de trabajo vacantes que se traspasan.

No hay.

G) Créditos presupuestarios que se traspasan.

Los créditos presupuestarios del ejercicio que constituyen la dotación de los servicios traspasados, se recogen en la relación adjunta número 3.

La Comisión Mixta aprobará la valoración del coste efectivo de los servicios y funciones transferidos, así como, las modificaciones que, en su caso deban operarse en los presupuestos del Estado o de los Organismos Autónomos correspondientes, conforme a las instrucciones que a tal efecto dicte el Ministerio de Hacienda.

Por el Ministerio de Hacienda, se adoptarán las medidas precisas para la efectiva transferencia al Ente Preautonómico de las dotaciones indicadas, de conformidad con lo previsto en la Ley General Presupuestaria, Ley de los Presupuestos Generales del Estado y además disposiciones complementarias.

H) Efectividad de las transferencias.

Las transferencias de competencias y funciones y el traspaso de medios, objeto de este acuerdo, tendrán efectividad a partir del día 1 de enero de 1982.

Y para que conste, expido la presente certificación en Madrid a 14 de diciembre de 1981.‒El Secretario de la Comisión Mixta de Agricultura y Pesca, José Elías Díaz García.

ANEXO II
Relación de disposiciones legales afectadas por la transferencia
Materia o competencia Disposición afectada
Extensión y capacitación agraria.

Decreto 837/1972, de 23 de marzo.

Artículo 15 del Decreto 2684/1971, de 5 de noviembre y demás concordantes.

Producción vegetal. Artículos 18, 1 y 20 del Decreto 2684/1971, de 5 de noviembre, y demás concordantes.
Producción animal. Artículos 19 y 21, uno, del Decreto 2684/1971, de 5 de noviembre, y demás concordantes.
Sanidad animal. Articulo 22 del Decreto 2684/1971, de 5 de noviembre, y demás concordantes.
Ordenación de la oferta. Articulo 1 del Real Decreto 844/1981, de 8 de mayo, y disposiciones complementarias.
Desarrollo ganadero. Decreto-ley 14/1969, de 11 de julio; Real Decreto 419/1979, de 13 de febrero, y disposiciones concordantes.
Industrias agrarias. Artículo 24 del Decreto 2684/1971, de 5 de noviembre, y disposiciones concordantes.
Pesca en aguas interiores, marisqueo y acuicultura. Articulo 3 del Real Decreto 845/1981, de 8 de mayo, y disposiciones concordantes.

Imagen: /datos/imagenes/disp/1982/35/03367_16875014_image1.png

Imagen: /datos/imagenes/disp/1982/35/03367_16875014_image2.png

Imagen: /datos/imagenes/disp/1982/35/03367_16875014_image3.png

Imagen: /datos/imagenes/disp/1982/35/03367_16875014_image4.png

Imagen: /datos/imagenes/disp/1982/35/03367_16875014_image5.png

Imagen: /datos/imagenes/disp/1982/35/03367_16875014_image6.png

Imagen: /datos/imagenes/disp/1982/35/03367_16875014_image7.png

Imagen: /datos/imagenes/disp/1982/35/03367_16875014_image8.png

Imagen: /datos/imagenes/disp/1982/35/03367_16875014_image9.png

Imagen: /datos/imagenes/disp/1982/35/03367_16875014_image10.png

Imagen: /datos/imagenes/disp/1982/35/03367_16875014_image11.png

Imagen: /datos/imagenes/disp/1982/35/03367_16875014_image12.png

Imagen: /datos/imagenes/disp/1982/35/03367_16875014_image13.png

Imagen: /datos/imagenes/disp/1982/35/03367_16875014_image14.png

Imagen: /datos/imagenes/disp/1982/35/03367_16875014_image15.png

Imagen: /datos/imagenes/disp/1982/35/03367_16875014_image16.png

Imagen: /datos/imagenes/disp/1982/35/03367_16875014_image17.png

Imagen: /datos/imagenes/disp/1982/35/03367_16875014_image18.png

Imagen: /datos/imagenes/disp/1982/35/03367_16875014_image19.png

Imagen: /datos/imagenes/disp/1982/35/03367_16875014_image20.png

Imagen: /datos/imagenes/disp/1982/35/03367_16875014_image21.png

Imagen: /datos/imagenes/disp/1982/35/03367_16875014_image22.png

Imagen: /datos/imagenes/disp/1982/35/03367_16875014_image23.png

Imagen: /datos/imagenes/disp/1982/35/03367_16875014_image24.png

Imagen: /datos/imagenes/disp/1982/35/03367_16875014_image25.png

Imagen: /datos/imagenes/disp/1982/35/03367_16875014_image26.png

Imagen: /datos/imagenes/disp/1982/35/03367_16875014_image27.png

Imagen: /datos/imagenes/disp/1982/35/03367_16875014_image28.png

Imagen: /datos/imagenes/disp/1982/35/03367_16875014_image29.png

Imagen: /datos/imagenes/disp/1982/35/03367_16875014_image30.png

Imagen: /datos/imagenes/disp/1982/35/03367_16875014_image31.png

Imagen: /datos/imagenes/disp/1982/35/03367_16875014_image32.png

Imagen: /datos/imagenes/disp/1982/35/03367_16875014_image33.png

Imagen: /datos/imagenes/disp/1982/35/03367_16875014_image34.png

Imagen: /datos/imagenes/disp/1982/35/03367_16875014_image35.png

Imagen: /datos/imagenes/disp/1982/35/03367_16875014_image36.png

Imagen: /datos/imagenes/disp/1982/35/03367_16875014_image37.png

Imagen: /datos/imagenes/disp/1982/35/03367_16875014_image38.png

Imagen: /datos/imagenes/disp/1982/35/03367_16875014_image39.png

Imagen: /datos/imagenes/disp/1982/35/03367_16875014_image40.png

Imagen: /datos/imagenes/disp/1982/35/03367_16875014_image41.png

Imagen: /datos/imagenes/disp/1982/35/03367_16875014_image42.png

Imagen: /datos/imagenes/disp/1982/35/03367_16875014_image43.png

Imagen: /datos/imagenes/disp/1982/35/03367_16875014_image44.png

Imagen: /datos/imagenes/disp/1982/35/03367_16875014_image45.png

ANÁLISIS

  • Rango: Real Decreto
  • Fecha de disposición: 29/12/1981
  • Fecha de publicación: 10/02/1982
  • Fecha de entrada en vigor: 10/02/1982
Referencias posteriores

Criterio de ordenación:

  • SE AMPLÍA:
    • medios traspasados a la Junta de Andalucía, por Real Decreto 1403/1995, de 4 de agosto (Ref. BOE-A-1995-20693).
    • medios traspasados a la Junta de Andalucía, por Real Decreto 1401/1995, de 4 de agosto (Ref. BOE-A-1995-20691).
    • los traspasos efectuados, por Real Decreto 1551/1984, de 20 de junio (Ref. BOE-A-1984-19774).
    • los traspasos efectuados, por Real Decreto 3506/1983, de 28 de diciembre (Ref. BOE-A-1984-4640).
Referencias anteriores
  • DEROGA:
    • art. 1 del Real Decreto 2917/1979, de 7 de diciembre (Ref. BOE-A-1980-285).
    • arts. 4.5 y 6 del Real Decreto 698/1979, de 13 de febrero (Ref. BOE-A-1979-9335).
  • DE CONFORMIDAD con el Real Decreto-ley 11/1978, de 27 de abril (Ref. BOE-A-1978-11313).
  • CITA:
    • Ley 32/1981, de 10 de julio (Ref. BOE-A-1981-16218).
    • Real Decreto 2970/1980, de 12 de diciembre (Ref. BOE-A-1981-1302).
    • Real Decreto 2968/1980, de 12 de diciembre (Ref. BOE-A-1981-1300).
    • Ley 11/1977, de 4 de enero (Ref. BOE-A-1977-466).
    • Decreto 837/1972, de 23 de marzo (Ref. BOE-A-1972-545).
    • Ley sobre procedimiento administrativo, de 17 de julio de 1958 (Gazeta) (Ref. BOE-A-1958-11341).
    • Ley de Régimen Jurídico de la Administración del Estado, de 26 de julio de 1957 (Gazeta) (Ref. BOE-A-1957-10111).
    • Ley de la Jurisdicción Contencioso-Administrativa, de 27 de diciembre de 1956 (Gazeta) (Ref. BOE-A-1956-17970).
Materias
  • Acuicultura
  • Agencia de Desarrollo Ganadero
  • Agricultura
  • Agrupaciones de productores agrarios
  • Algas
  • Andalucía
  • Concentración Parcelaria
  • Dirección General de Industrias Agrarias y Alimentarias
  • Dirección General de Investigación y Capacitación Agrarias
  • Dirección General de la Producción Agraria
  • Dirección General de Ordenación Pesquera
  • Enseñanza de Formación Profesional
  • Expropiación forzosa
  • Frutos y productos hortícolas
  • Ganadería
  • Industria agraria
  • Instituto Nacional de Reforma y Desarrollo Agrario
  • Mariscos
  • Ministerio de Agricultura Pesca y Alimentación
  • Montes
  • Pesca fluvial
  • Pesca marítima
  • Piscicultura
  • Reforma y desarrollo agrario
  • Regímenes preautonómicos
  • Sanidad veterinaria
  • Servicio de Extensión Agraria

subir

Agencia Estatal Boletín Oficial del Estado

Avda. de Manoteras, 54 - 28050 Madrid